1/59
Looks like no tags are added yet.
Name | Mastery | Learn | Test | Matching | Spaced | Call with Kai |
|---|
No analytics yet
Send a link to your students to track their progress
a+ar+ar²+…+ar^(n-1)
Geometric series, a(1-r^n)/1-r if r ≠1
a+ar+ar²+ar³+…
sum to infinity of a geometric sequence, equals a/1-r if |r|<1. diverges otherwise
a+(a+d)+(a+2d)+…+(a+(n-1)d)
arithmetic series sum n/2(2a+(n-1)d)
cos²(x)
1-sin²x
sin²(x)
1-cos²x

pythagoras a²+b²=c²
sin(90-x)
cosx
cos(90-x)
sinx
sin(-x)
-sinx
cos(-x)
cosx

1/2absinx

cosine rule c²=a²+b²-2abcosx

sine rule sinx/c = siny/b

y=m(x-x1)+y1

sqrt (x2-x1)² + (y2-y1)²
(x-a)²+(y-b)²=r²
circle with centre (a,b) and radius r
the lines y=m1x+c1 and y=m2x+c2 are perpendicular
m1m2=-1
the lines y=m1x+c1 and y=m2x+c2 are parallel
same gradient m1=m2




f(x+a)
translate by a units in the negative direction parallel to x axis
f(ax)
stretch by factor of 1/a parallel to the x axis
f(ax+b)
translation by b units in the negative direction parallel to x axis then stretch by factor of 1/a parallel to the x axis
(a^m)^n
a^(mn)
(a^m)(a^n)
a^(m+n)

b=a^c
y=x^a
dy/dx=?
ax^(a-1)
y=e^(kx)
dy/dx=?
ke^(kx)
tangent to y=f(x) at x=a

normal to y=f(x) at x=a




f(x) + c for some constant c
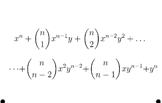
(x+y)^n

the number of ways to choose r from n things, order doesnt matter

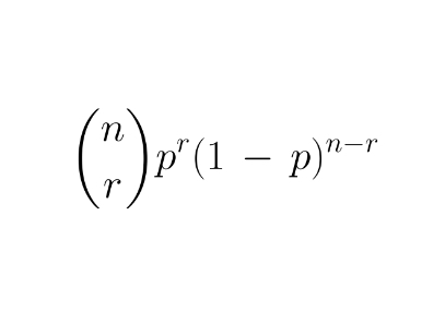
the number of ways to choose r things from n things, order matters

given n independent events, each with probability p of success, whats the probability of exactly r successes?

when does ax² + bx + c = 0 have exactly two real solutions”?
IFF b²-4ac>0
polynomial p(x) has a root at x=a
factor theorem, so p(x)=(x-a)q(x) for some polynomial q(x)
polynomial p(x) has a repeated root at x=a
therefore p(x) = (x-a)²q(x) for some polynomial q(x)
prime number, p
the only factors of p are 1 and p










another way to write ax² + bx + c

a² - b²
difference of two squares (a-b)(a+b)
(f(x))²
(f(x))² >= 0 for all x
turning point of f(x)

maximum of a function


the gradient of the line AB gets close to the gradient of C at A
solve f(x)=g(x)

cos(x+360)
cosx
sin(x+360)
sinx
tan(x+180)
tanx
cos(180-x)
-cosx
sin(180-x)
sinx
tan(90-x)
cotx
displacement vector from (x1,y1) to (x2, y2)

non-zero vectors a and b are parallel
a = kb for some real number k