Structures of electron carriers

0.0(0)
studied byStudied by 1 person
0.0(0)
full-widthCall with Kai
learnLearn
examPractice Test
spaced repetitionSpaced Repetition
heart puzzleMatch
flashcardsFlashcards
GameKnowt Play
Card Sorting

1/11

encourage image

There's no tags or description

Looks like no tags are added yet.

Study Analytics
Name
Mastery
Learn
Test
Matching
Spaced
Call with Kai

No study sessions yet.

12 Terms

1
New cards

ATP

<p></p>
2
New cards

ADP

knowt flashcard image
3
New cards

AMP

knowt flashcard image
4
New cards

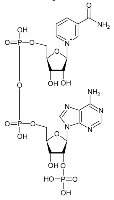
NAD+

knowt flashcard image
5
New cards

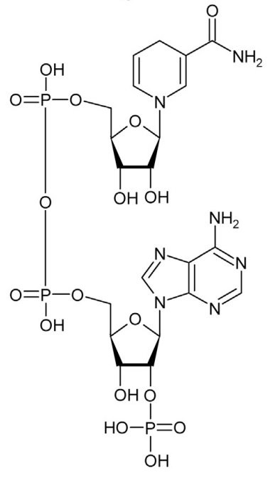
NADH

knowt flashcard image
6
New cards

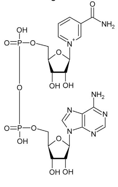
NADP+

knowt flashcard image
7
New cards

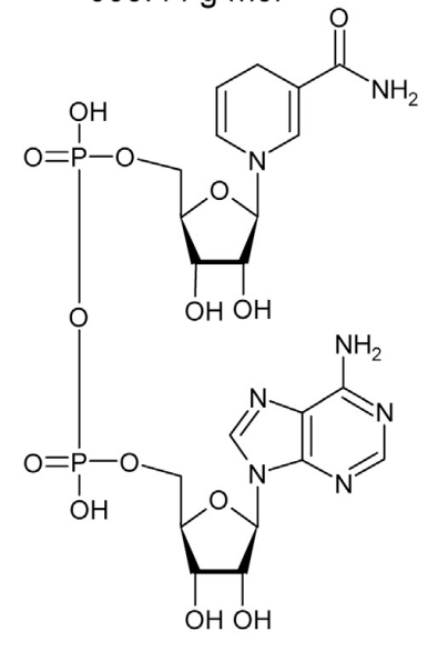
NADPH

knowt flashcard image
8
New cards

FAD

knowt flashcard image
9
New cards

FADH2

knowt flashcard image
10
New cards

CoA

knowt flashcard image
11
New cards

Coenzyme Q

knowt flashcard image
12
New cards

Cytochrome c

knowt flashcard image