1/99
Looks like no tags are added yet.
Name | Mastery | Learn | Test | Matching | Spaced | Call with Kai |
|---|
No analytics yet
Send a link to your students to track their progress
Formal definition of derivative
lim x→∞[f(x+h)-f(x)]/h
Alternate definition of derivative
lim x→a[f(x)-f(a)]/(x-a)
When f '(x) is positive, f(x) is
increasing
When f '(x) is negative, f(x) is
decreasing
When f '(x) changes from negative to positive, f(x) has a
relative minimum
When f '(x) changes from positive to negative, f(x) has a
relative maximum
When f '(x) is increasing, f(x) is
concave up
When f '(x) is decreasing, f(x) is
concave down
When f '(x) changes from increasing to decreasing or decreasing to increasing, f(x) has a
point of inflection
When is a function not differentiable
corner, cusp, vertical tangent, discontinuity
Chain Rule
f '(g(x)) g'(x)
Particle is moving to the right/up
velocity is positive
Particle is moving to the left/down
velocity is negative
absolute value of velocity
speed
y = sin⁻¹(x), y' =
y' = 1/√(1 - x²)
y = cos⁻¹(x), y' =
y' = -1/√(1 - x²)
y = tan⁻¹(x), y' =
y' = 1/(1 + x²)
y = cot⁻¹(x), y' =
y' = -1/(1 + x²)
y = a^x, y' =
y' = a^x ln(a)
y = ln(x), y' =
y' = 1/x
y = log (base a) x, y' =
y' = 1/(x lna)
To find absolute maximum on closed interval [a, b], you must consider...
critical points and endpoints
mean value theorem
if f(x) is continuous and differentiable, slope of tangent line equals slope of secant line at least once in the interval (a, b)
f '(c) = [f(b) - f(a)]/(b - a)
If f '(x) = 0 and f"(x) > 0,
f(x) has a relative minimum
If f '(x) = 0 and f"(x) < 0,
f(x) has a relative maximum
area of trapezoid
[(h1 - h2)/2]*base
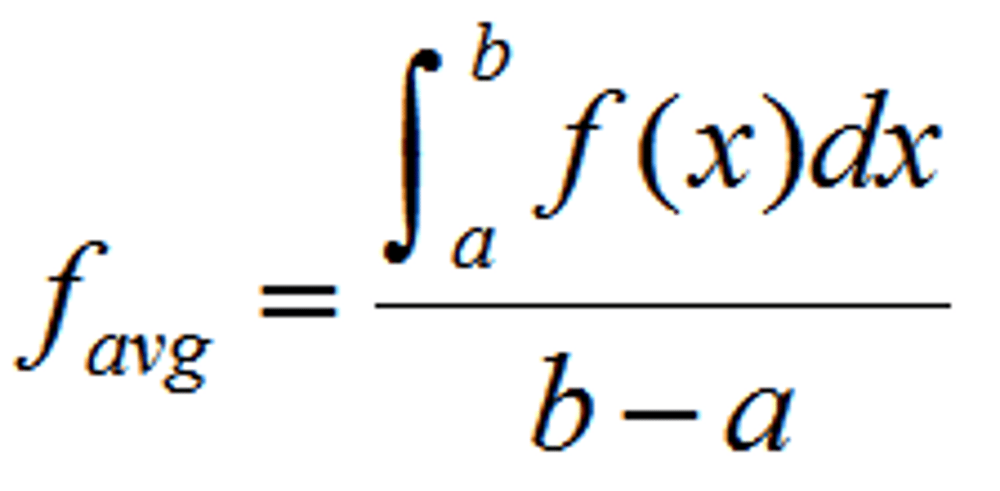
average value of f(x)
= 1/(b-a) ∫ f(x) dx on interval a to b
If g(x) = ∫ f(t) dt on interval 2 to x, then g'(x) =
g'(x) = f(x)
Fundamental Theorem of Calculus
∫ f(x) dx on interval a to b = F(b) - F(a)
To find particular solution to differential equation, dy/dx = x/y
separate variables, integrate + C, use initial condition to find C, solve for y
To draw a slope field,
plug (x,y) coordinates into differential equation, draw short segments representing slope at each point
methods of integration
substitution, parts, partial fractions
use integration by parts when
two different types of functions are multiplied
∫ u dv =
uv - ∫ v du
use partial fractions to integrate when
integrand is a rational function with a factorable denominator
dP/dt = kP(M - P)
logistic differential equation, M = carrying capacity
P = M / (1 + Ae^(-Mkt))
logistic growth equation
given rate equation, R(t) and inital condition when
t = a, R(t) = y₁ find final value when t = b
y₁ + Δy = y
Δy = ∫ R(t) over interval a to b
given v(t) and initial position t = a, find final position when t = b
s₁+ Δs = s
Δs = ∫ v(t) over interval a to b
given v(t) find displacement
∫ v(t) over interval a to b
given v(t) find total distance travelled
∫ abs[v(t)] over interval a to b
area between two curves
∫ f(x) - g(x) over interval a to b, where f(x) is top function and g(x) is bottom function
volume of solid with base in the plane and given cross-section
∫ A(x) dx over interval a to b, where A(x) is the area of the given cross-section in terms of x
volume of solid of revolution - no washer
π ∫ r² dx over interval a to b, where r = distance from curve to axis of revolution
volume of solid of revolution - washer
π ∫ R² - r² dx over interval a to b, where R = distance from outside curve to axis of revolution, r = distance from inside curve to axis of revolution
length of curve
∫ √(1 + (dy/dx)²) dx over interval a to b
L'Hopitals rule
use to find indeterminate limits, find derivative of numerator and denominator separately then evaluate limit
indeterminate forms
0/0, ∞/∞, ∞*0, ∞ - ∞, 1^∞, 0⁰, ∞⁰
6th degree Taylor Polynomial
polynomial with finite number of terms, largest exponent is 6, find all derivatives up to the 6th derivative
Taylor series
polynomial with infinite number of terms, includes general term
nth term test
if terms grow without bound, series diverges
alternating series test
lim as n approaches zero of general term = 0 and terms decrease, series converges
converges absolutely
alternating series converges and general term converges with another test
converges conditionally
alternating series converges and general term diverges with another test
ratio test
lim as n approaches ∞ of ratio of (n+1) term/nth term > 1, series converges
find interval of convergence
use ratio test, set > 1 and solve absolute value equations, check endpoints
find radius of convergence
use ratio test, set > 1 and solve absolute value equations, radius = center - endpoint
integral test
if integral converges, series converges
limit comparison test
if lim as n approaches ∞ of ratio of comparison series/general term is positive and finite, then series behaves like comparison series
geometric series test
general term = a₁r^n, converges if -1 < r < 1
p-series test
general term = 1/n^p, converges if p > 1
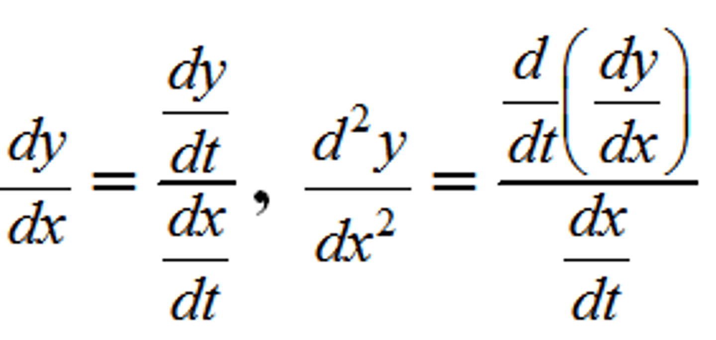
derivative of parametrically defined curve
x(t) and y(t)
dy/dx = dy/dt / dx/dt
second derivative of parametrically defined curve
find first derivative, dy/dx = dy/dt / dx/dt, then find derivative of first derivative, then divide by dx/dt
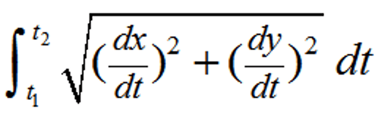
length of parametric curve
∫ √ (dx/dt)² + (dy/dt)² over interval from a to b
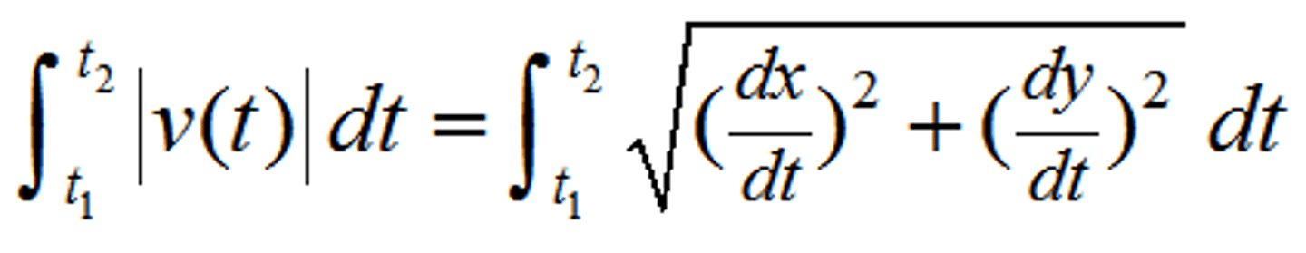
given velocity vectors dx/dt and dy/dt, find speed
√(dx/dt)² + (dy/dt)² not an integral!
given velocity vectors dx/dt and dy/dt, find total distance travelled
∫ √ (dx/dt)² + (dy/dt)² over interval from a to b
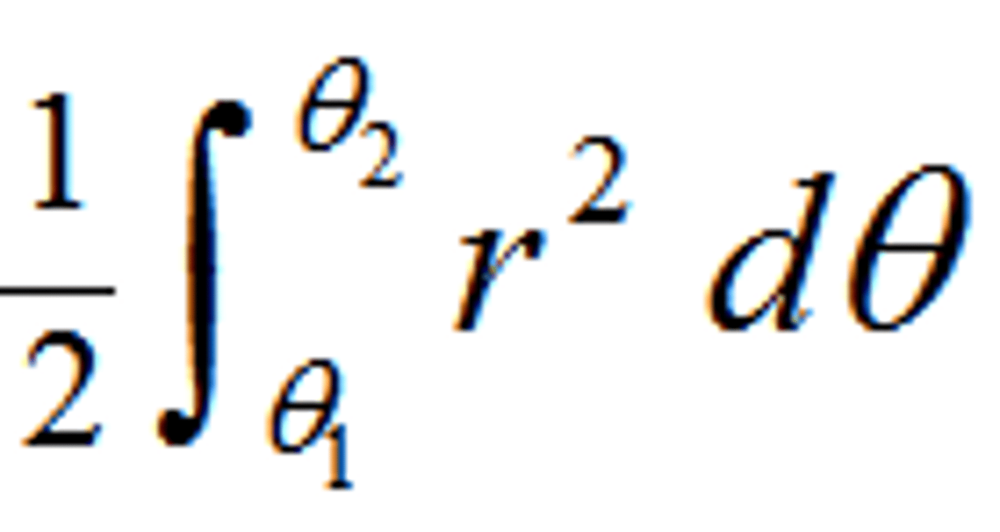
area inside polar curve
1/2 ∫ r² over interval from a to b, find a & b by setting r = 0, solve for theta
area inside one polar curve and outside another polar curve
1/2 ∫ R² - r² over interval from a to b, find a & b by setting equations equal, solve for theta.
Volume of Disc

Volume of Washer

Volume of Shell

Volume of Cross Section

Second Fundamental Theorem

Area of Trapezoid

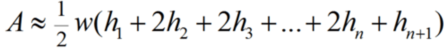
Trapezoidal Rule

Alt. Series Error:

Lagrange Error

Logistics Equation

Elementary Series for e^x

Elementary Series for sin x

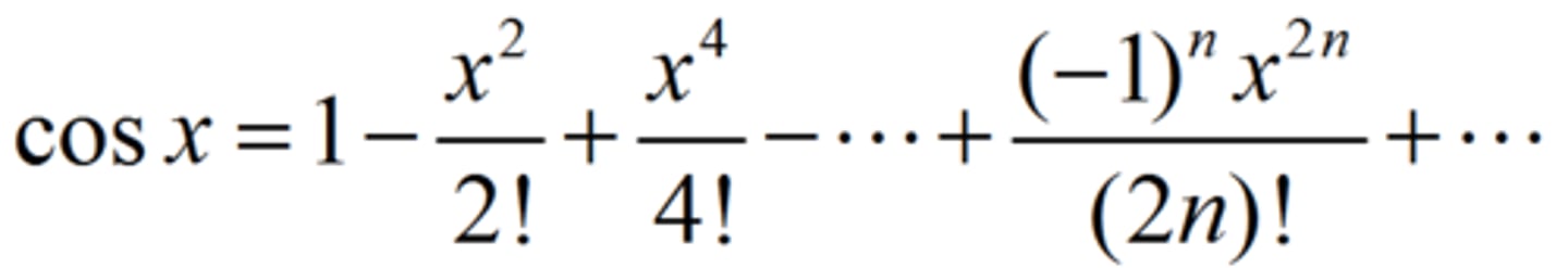
Elementary Series for cos x

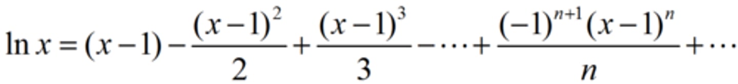
Elementary Series for ln x

Taylor expansion

Euler's Method

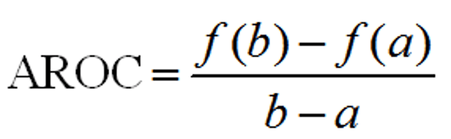
Average Rate of Change

Inst. Rate of Change

Mean Value Theorem

Average Value of a Function

Intermediate Value Thm
A function f that is continuous on [a,b] takes on every y-value between f(a) and f(b)
Arc Length Cartesian

Arc Length Parametric

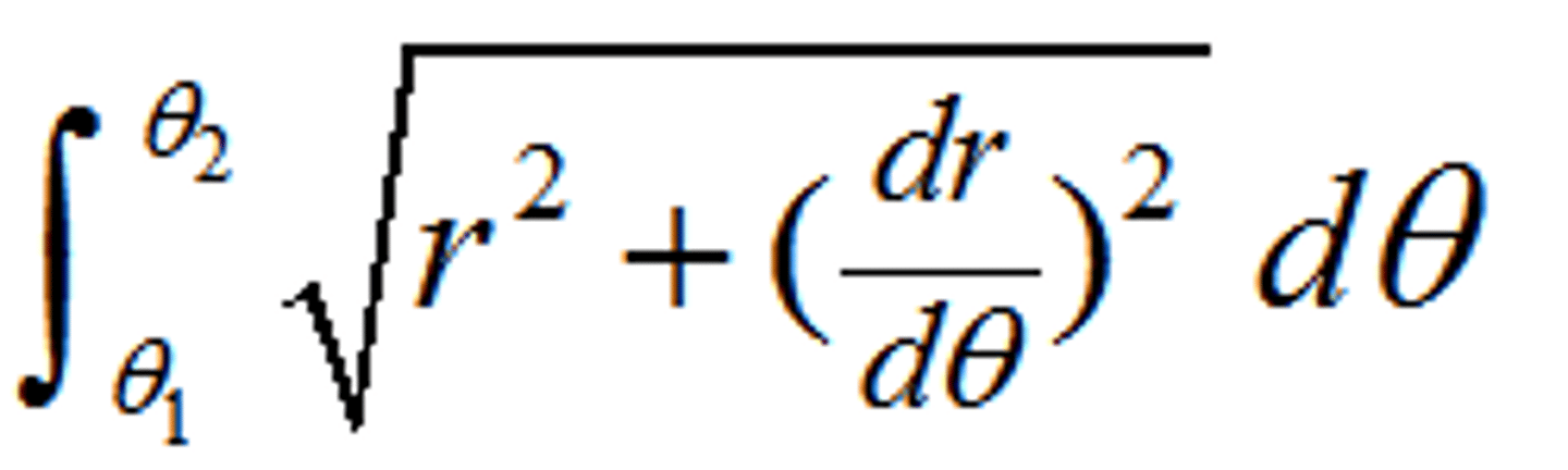
Arc Length Polar

Speed

Total Dist.
Check for turning points too!

Polar Area

Parametric Derivatives

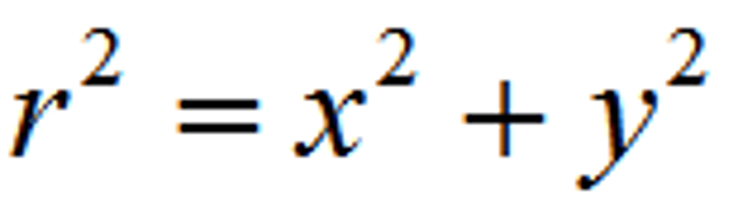
Polar Conversion for r^2

Polar Conversion for x

Polar Conversion for y

Polar Conversion for theta
