6.1 Angles and Their Measure

0.0(0)
studied byStudied by 0 people
0.0(0)
full-widthCall with Kai
GameKnowt Play
New
learnLearn
examPractice Test
spaced repetitionSpaced Repetition
heart puzzleMatch
flashcardsFlashcards
Card Sorting

1/23

flashcard set

Earn XP

Description and Tags

Pre-Calculus

Study Analytics
Name
Mastery
Learn
Test
Matching
Spaced

No study sessions yet.

24 Terms

1
New cards

Trigonometry

Measurement of triangles

2
New cards

Angle

Rotating a ray (half-line) about its endpoint

3
New cards

Initial Side

The starting position of the ray

4
New cards

Terminal Side

The ending position of an angle that has been rotated from its initial side

5
New cards

Vertex

Endpoint of the ray

6
New cards

Standard Postion

knowt flashcard image
7
New cards

Counter Clockwise Rotation

Positive angles

8
New cards

Clockwise Rotation

Negative angles

9
New cards

Coterminal Angles

Angles in standard position that share the same terminal side, meaning they point in the same direction

10
New cards

Measure of an Angle

The amount of rotation from the initial side to the terminal side

11
New cards

Degree

Common unit of angle measure

12
New cards

Unit Circle

knowt flashcard image
13
New cards

Quadrantal Angle

An angle in standard position whose terminal side lies on one of the coordinate axes

14
New cards

Quadrants

.

<p>.</p>
15
New cards

Complementary and Supplementary Angles 

Complementary - When their sum is 90 degrees

Supplementary - When their sum is 180 degrees

16
New cards

Radian Measure

Central angle of a circle, which is an angle whose vertex is the center of the circle

17
New cards

One Radian

Measure of a central angle that intercepts an arc equal in length to the radius of the circle

18
New cards

Radian Measure Formula / Arc Length

<p></p>
19
New cards

Degrees to radians

knowt flashcard image
20
New cards

Radians to Degrees

knowt flashcard image
21
New cards

Angular Speed

Angular speed measures how fast the angle changes

<p><span style="background-color: rgb(255, 255, 255); font-family: rooney-web, Cambria, &quot;Times New Roman&quot;, Times, serif; font-size: 16.5px; color: rgb(87, 87, 87);">Angular speed measures how fast the angle changes</span></p>
22
New cards

Linear Speed

Linear speed measures how fast the particle moves

<p><span style="background-color: rgb(255, 255, 255); font-family: rooney-web, Cambria, &quot;Times New Roman&quot;, Times, serif; font-size: 16.5px; color: rgb(87, 87, 87);">Linear speed measures how fast the particle moves</span></p>
23
New cards

Sector

Region bounded by two radii of the circle and their intercepted arc

24
New cards

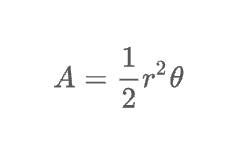
Area of a Sector of a Circle

knowt flashcard image