11 - pentose phosphate pathway

0.0(0)
studied byStudied by 4 people
full-widthCall with Kai
GameKnowt Play
learnLearn
examPractice Test
spaced repetitionSpaced Repetition
heart puzzleMatch
flashcardsFlashcards
Card Sorting

1/20

flashcard set

Earn XP

Description and Tags

Study Analytics
Name
Mastery
Learn
Test
Matching
Spaced

No study sessions yet.

21 Terms

1
New cards

oxidative steps enzymes

  • G6P dehydrogenase

  • 6-phosphogluconolactonase

  • 6-phosphonogluconate dehydrogenase

2
New cards

purpose of the oxidative phase

oxidize glucose to ribulose-5-phosphate and make NADPH

3
New cards

non oxidative steps enzymes

  • ribulose-5-phosphate isomerase

  • ribulose-5-phosphate epimerase

  • transketolase

  • transaldolase

4
New cards

purpose of the non-oxidative phase

makes ribose which is needed to make DNA and RNA

5
New cards

rxn 1: dehydration of g6p

  • substrate

  • enzyme

  • product

  • consequence of this reaction

  • catalyzed by G6P dehydrogenase, involves reduction of NADP+ to NADPH

  • product: 6-phosphoglucono-d-lactone is a cyclic ester

  • committed step

    • once glycose undergoes this step it has to keep going, cannot go backwards in rxn

    • therefore this step is highly regulated

<ul><li><p>catalyzed by G6P dehydrogenase, involves reduction of NADP<sup>+</sup> to NADPH</p></li><li><p>product: 6-phosphoglucono-<em>d</em>-lactone is a cyclic ester</p></li><li><p>committed step</p><ul><li><p>once glycose undergoes this step it has to keep going, cannot go backwards in rxn</p></li><li><p>therefore this step is highly regulated</p></li></ul></li></ul>
6
New cards

rxn 2: lactone hydrolysis

  • substrate

  • enzyme

  • product

  • overall, what happens in this reaction?

  • is the enzyme needed?

  • catalyzed by 6-phosphogluconolactonase and involves H2O to H+

  • ring-opening step

  • enzyme not acc needed for this step but helps to speed it up

<ul><li><p>catalyzed by 6-phosphogluconolactonase and involves H2O to H<sup>+</sup></p></li><li><p>ring-opening step</p></li><li><p>enzyme not acc needed for this step but helps to speed it up</p></li></ul>
7
New cards

rxn 3: oxidative decarboxylation

  • substrate

  • enzyme

  • product

  • overall what happens?

  • catalyzed by 6-phosphonogluconate dehydrogenase and involves reduction of NADP+ to NADPH

  • 2 part reaction: dehydrogenation (oxidation of CHO) and decarboxylation of Beta-keto acid (removal of CO2 from 6-phosphogluconate)

<ul><li><p>catalyzed by 6-phosphonogluconate dehydrogenase and involves reduction of NADP+ to NADPH</p></li><li><p>2 part reaction: dehydrogenation (oxidation of CHO) and decarboxylation of Beta-keto acid (removal of CO2 from 6-phosphogluconate)</p></li></ul>
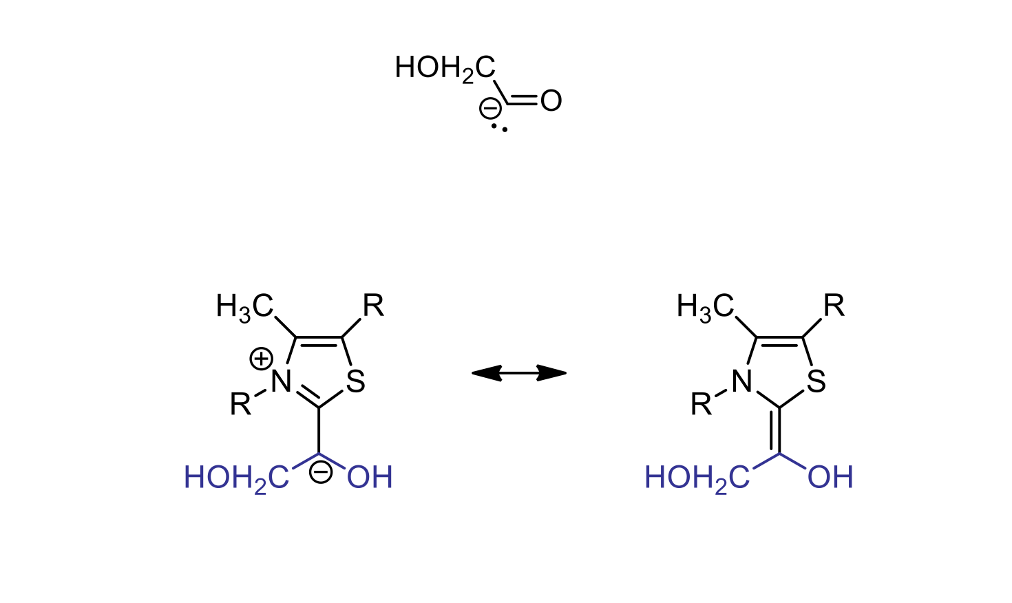
8
New cards

mechanism of 6-phosphonogluconate dehydrogenase

  1. active site Lysine residue acts as a base to remove a H from carbon 3 of 6-phosphogluconate (gets oxidized to a carbonyl). Carbon 3 gives up its H so that the O can form its double bond/carbonyl. The H gets transferred to NADP+ to make NADPH

  2. the B-keto acid undergoes resonance and dissociates as CO2. This causes electrons to shift to form a double bond between carbons 1 and 2. This causes carbonyl (carbon 2) to take back its H+ from Lysine to form OH group again. A enediol intermediate is formed. NADPH is released

  3. The double bond between carbons 1 and 2 is used to pick up a H from a Glu residue in the active site. Lysine takes back the H on the OH group on carbon 2, so a carbonyl will form again. This is similar to an aldose mechanism

  4. ribulose-5-phosphate (Ru5P) is formed

<ol><li><p>active site Lysine residue acts as a base to remove a H from carbon 3 of 6-phosphogluconate (gets oxidized to a carbonyl). Carbon 3 gives up its H so that the O can form its double bond/carbonyl. The H gets transferred to NADP+ to make NADPH</p></li><li><p>the B-keto acid undergoes resonance and dissociates as CO2. This causes electrons to shift to form a double bond between carbons 1 and 2. This causes carbonyl (carbon 2) to take back its H+ from Lysine to form OH group again. A enediol intermediate is formed. NADPH is released</p></li><li><p>The double bond between carbons 1 and 2 is used to pick up a H from a Glu residue in the active site. Lysine takes back the H on the OH group on carbon 2, so a carbonyl will form again. This is similar to an aldose mechanism</p></li><li><p>ribulose-5-phosphate (Ru5P) is formed</p></li></ol>
9
New cards

rxns 4: Ru5P isomerase

  • substrate

  • enzyme

  • product and what the product can be used for

  • overall, what occurs?

  • catalyzed by ribulose-5-phosphate isomerase

  • ribose-5-phosphate (R5P) is made which can continue in pentose phosphate pathway or be used to make DNA and RNA

  • switch the carbon the carbonyl is on

<ul><li><p>catalyzed by ribulose-5-phosphate isomerase</p></li><li><p>ribose-5-phosphate (R5P) is made which can continue in pentose phosphate pathway or be used to make DNA and RNA</p></li><li><p>switch the carbon the carbonyl is on</p></li></ul>
10
New cards

rxn 5: Ru5P epimerase

  • substrate

  • enzyme

  • product

  • overall, what occurs?

  • catalyzed by ribulose-5-phosphate 3-epimerase

  • switching stereoisomers

<ul><li><p>catalyzed by ribulose-5-phosphate 3-epimerase</p></li><li><p>switching stereoisomers</p></li></ul>
11
New cards

mechanism of epimerase

  1. a negatively charged Asp residue in the active site acts as base and takes the acidic proton on carbon 3 of ribulose-5-phosphate. This proton is easily taken because of the carbonyl resonance

  2. an enediolate intermediate is formed which takes a proton off of the other Asp residue. this proton is on the opposite face of carbon 3 than before

  3. xylulose-5-phosphate is made (stereoisomer was changed)

<ol><li><p>a negatively charged Asp residue in the active site acts as base and takes the acidic proton on carbon 3 of ribulose-5-phosphate. This proton is easily taken because of the carbonyl resonance</p></li><li><p>an enediolate intermediate is formed which takes a proton off of the other Asp residue. this proton is on the opposite face of carbon 3 than before</p></li><li><p>xylulose-5-phosphate is made (stereoisomer was changed)</p></li></ol>
12
New cards

mechanism of isomerase

  1. A Glu residue in the active site takes a proton from Ribulose-5-phosphate’s carbon 1. This shifts electrons to form a carbon-carbon double bond between carbons 1 and 2. The carbonyl on carbon 2 steals a proton from an Asp residue

  2. an enediol intermediate is formed which a double bond between carbons 1 and 2. the double bond is used to take back its H from Glu, but this time it bonds to carbon 2. Asp takes back its proton from carbon 1 so it can form a carbonyl.

  3. ribose-5-phosphate is formed (the carbonyl switched positions)

<ol><li><p>A Glu residue in the active site takes a proton from Ribulose-5-phosphate’s carbon 1. This shifts electrons to form a carbon-carbon double bond between carbons 1 and 2. The carbonyl on carbon 2 steals a proton from an Asp residue</p></li><li><p>an enediol intermediate is formed which a double bond between carbons 1 and 2. the double bond is used to take back its H from Glu, but this time it bonds to carbon 2. Asp takes back its proton from carbon 1 so it can form a carbonyl. </p></li><li><p>ribose-5-phosphate is formed (the carbonyl switched positions)</p></li></ol>
13
New cards

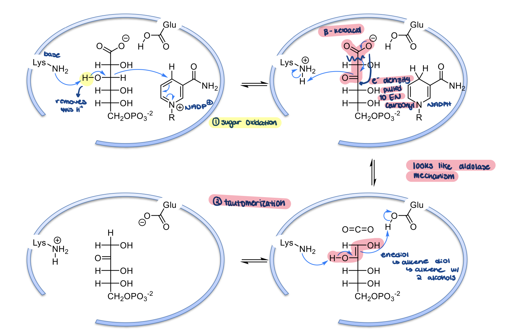
rxns 6 & 8: transketolase

  • cofactor required and why

catalyzed by transketolase

  • needs TPP because it stabilizes the carbanion of the 2 carbon unit that gets transferred from once substrate to the other

<p>catalyzed by transketolase</p><ul><li><p>needs TPP because it stabilizes the carbanion of the 2 carbon unit that gets transferred from once substrate to the other</p></li></ul>
14
New cards

anion stabilization by TPP in the transketolase mechanism

TPP helps to stabilize the negatively charged intermediate formed during the reaction catalyzed by transketolase

  • essential for proper progression of transketolase reaction

  • TPP has a positive charge so it can take the electrons from the unstable 2 carbon unit

<p>TPP helps to stabilize the negatively charged intermediate formed during the reaction catalyzed by transketolase</p><ul><li><p>essential for proper progression of transketolase reaction</p></li><li><p>TPP has a positive charge so it can take the electrons from the unstable 2 carbon unit</p></li></ul>
15
New cards

mechanism of transketolase

  1. The negative charge on the active site TPP acts a a nucleophile and attacks the slightly positive C of the substrate’s carbonyl. the carbon of the carbonyl will then get a H from a nearby base.

  2. the TPP is bound to the sugar and pulls electrons from it to stabilize it. The OH on the alpha carbon gives up its proton to a base and forms a carbonyl. this causes the bond between carbons 2 and 3 to break. These electrons are added to the sugar-TPP bond, producing the 2 carbon unit which is doubly-bound to TPP and GAP.

  3. GAP leaves the active site, R5P or E4P (whatever is next substrate) comes into active site

  4. electrons from the double bond between the 2-carbon unit and TPP are used to form a bond with the new substrate by attacking the carbonyl. the oxygen of the carbonyl (on carbon 3) picks up a H to form OH

  5. a base takes a H from the OH group on carbon 2 so it can form a carbonyl. This causes the bond between TPP and the carbon to break.

  6. product is formed and TPP is back to normal with one positive charge and one negative charge, ready for next reaction

<ol><li><p>The negative charge on the active site TPP acts a a nucleophile and attacks the slightly positive C of the substrate’s carbonyl. the carbon of the carbonyl will then get a H from a nearby base. </p></li><li><p>the TPP is bound to the sugar and pulls electrons from it to stabilize it. The OH on the alpha carbon gives up its proton to a base and forms a carbonyl. this causes the bond between carbons 2 and 3 to break. These electrons are added to the sugar-TPP bond, producing the 2 carbon unit which is doubly-bound to TPP and GAP. </p></li><li><p>GAP leaves the active site, R5P or E4P (whatever is next substrate) comes into active site</p></li><li><p>electrons from the double bond between the 2-carbon unit and TPP are used to form a bond with the new substrate by attacking the carbonyl. the oxygen of the carbonyl (on carbon 3) picks up a H to form OH</p></li><li><p>a base takes a H from the OH group on carbon 2 so it can form a carbonyl. This causes the bond between TPP and the carbon to break. </p></li><li><p>product is formed and TPP is back to normal with one positive charge and one negative charge, ready for next reaction</p></li></ol>
16
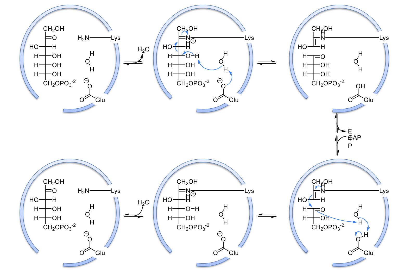
New cards

rxn 7: transaldolase

  • products and where than can go

  • overall, what happens

  • E4P and F6P are made. E4P stays in the pentose phosphate pathway and F6P enters glycolysis

  • bond between alpha and beta carbons breaks, 3 carbon unit is transferred to a different aldehyde

<ul><li><p>E4P and F6P are made. E4P stays in the pentose phosphate pathway and F6P enters glycolysis</p></li><li><p>bond between alpha and beta carbons breaks, 3 carbon unit is transferred to a different aldehyde</p></li></ul>
17
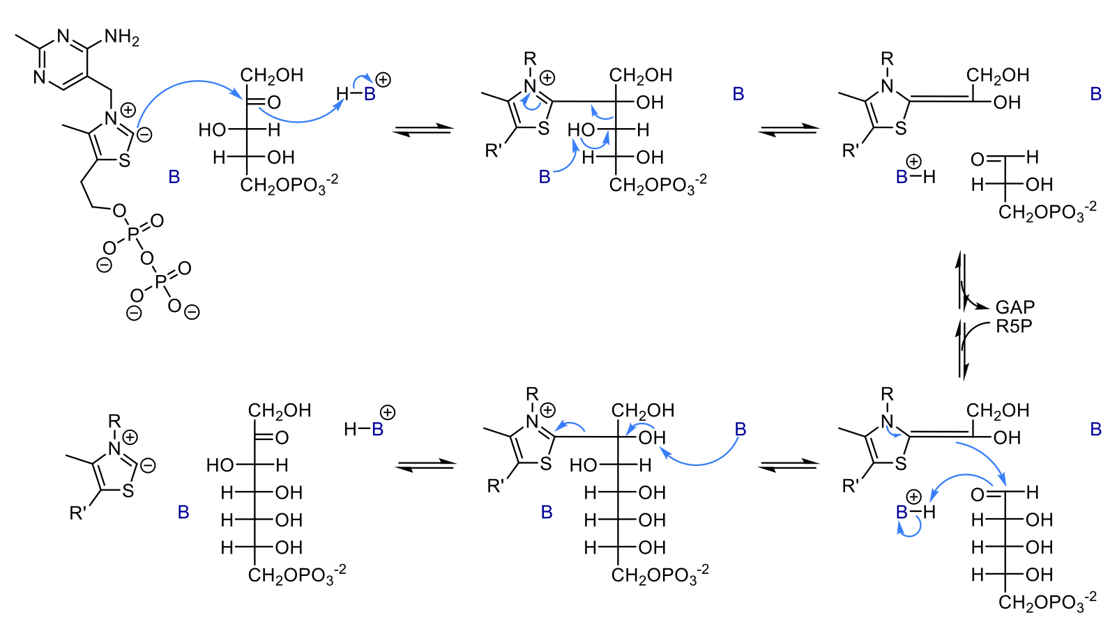
New cards

anion stabilization by a schiff base in the transaldolase mechanism

  • what is a Schiff base

  • what does it do?

  • schiff base is a chemical structure formed by a nitrogen atom from a lysine residue in the enzyme and a carbonyl group from the substrate

    • stabilizes the negative charge on the intermediate

<ul><li><p>schiff base is a chemical structure formed by a nitrogen atom from a lysine residue in the enzyme and a carbonyl group from the substrate</p><ul><li><p>stabilizes the negative charge on the intermediate</p></li></ul></li></ul>
18
New cards

mechanism of transaldolase

  1. lot’s of steps that basically ends with carbonyl on carbon 2 being replaced with N from lysine in active site

  2. Glu residue activates H2O as a nucleophile by taking one of its Hs. this forms OH which attacks the OH group on carbon 4 to steal its H. This causes a carbonyl to form at carbon 4/beta carbon and causes a break in the bond between alpha and beta carbons

  3. E4P is formed and released so the GAP has room to come into the active site. Lysine is attacked to the 3 carbon intermediate

  4. the double bond on the 3 carbon intermediate attacks GAP’s carbonyl to form a bond. The nitrogen from Lysine from a double bond with the 3 carbon unit

  5. water come in to form a hydrolysis reaction in which the N double bond is replaced with an oxygen to reform the carbonyl and return lysine to normal

<ol><li><p>lot’s of steps that basically ends with carbonyl on carbon 2 being replaced with N from lysine in active site</p></li><li><p>Glu residue activates H2O as a nucleophile by taking one of its Hs. this forms OH which attacks the OH group on carbon 4 to steal its H. This causes a carbonyl to form at carbon 4/beta carbon and causes a break in the bond between alpha and beta carbons</p></li><li><p>E4P is formed and released so the GAP has room to come into the active site. Lysine is attacked to the 3 carbon intermediate</p></li><li><p>the double bond on the 3 carbon intermediate attacks GAP’s carbonyl to form a bond. The nitrogen from Lysine from a double bond with the 3 carbon unit</p></li><li><p>water come in to form a hydrolysis reaction in which the N double bond is replaced with an oxygen to reform the carbonyl and return lysine to normal</p></li></ol>
19
New cards

overall energy yields of pentose phosphate pathway

  • If pathway stops after R5P formation (only need R5P so don’t continue pathway):

    • G6P + 2 NADP+ +H2O → R5P + CO2 +2 NADPH + 2 H+

  • If pathway is completed (don’t need R5P):

    • 6 G6P+ 12 NADP+ → 5 G6P + 6CO2 + 12 NADPH + 12 H+ + Pi

    • because of the 12 NADPH, the energy pay off is much more

20
New cards

since pentose phosphate pathway is not a major E source, when is it used?

only when we need NADPH or ribose-5-phosphate

21
New cards

regulation of pentose phosphate pathway

  • when cell needs more NADPH or ribose-5-phosphate, G6PDH gets more active

    • it is allosterically activated by NADP+

  • NADPH inhibits G6PDH by product inhibition.

<ul><li><p>when cell needs more NADPH or ribose-5-phosphate, G6PDH gets more active</p><ul><li><p>it is allosterically activated by NADP+</p></li></ul></li><li><p>NADPH inhibits G6PDH by product inhibition. </p></li></ul>