1/15
Looks like no tags are added yet.
Name | Mastery | Learn | Test | Matching | Spaced |
|---|
No study sessions yet.
Differentiate between Converging and Diverging lenses
Converging - has a positive power
Diverging - has a negative power
What happens to a ray that is parallel to the axis?
Pass through the focal point
What happens to a ray that is striking the pole of the mirror?
Pass straight through
What happens to a ray passing through the focal point?

What type of image is being formed in this diagram?
Converging Lens : Object more than 2F away
Real
Inverted
Diminished

What type of image is being formed in this diagram?
Converging Lens : Object 2F away
Real
Inverted
Same Size

What type of image is being formed in this diagram?
Converging Lens : Object between F & 2F
Real
Inverted
Magnified

What type of image is being formed in this diagram?
Converging Lens : Object at F
Real
Inverted
At Infinity

What type of image is being formed in this diagram?
Converging Lens : Object inside F
Virtual
Upright
Magnified

What type of image is being formed in this diagram?
Diverging Lens
Virtual
Upright
Diminished

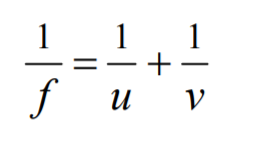
Label this formula
Mirror and lens formula
f - focal length
v - image distance
u - object distance
What page of the log tables can you find the Mirror and Lens Formula?
60

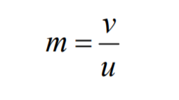
Label this formula
Magnification
m - magnification
v - image distance/height
u - object distance/height
What page of the log tables can you find the Magnification Formula?
60
Name 3 uses of Converging Lenses
Long sighted spectacles
Magnifying glass
Camera Lenses
Name 3 uses of Diverging Lenses
Short sighted spectacles
Door peephole
Camera Lenses