1/14
Looks like no tags are added yet.
Name | Mastery | Learn | Test | Matching | Spaced |
|---|
No study sessions yet.
What is the definition for habitat?
the environment in which an organism usually lives
What is the definition for population?
all the individuals of the same species living in a particular area
What is the definition for community?
all the individuals of all the species living together in the same area at the same time
What is the definition for species richness?
the number of different species in a community
What is the definition for biodiversity?
the number of different species and the number of individuals of each species within any one community
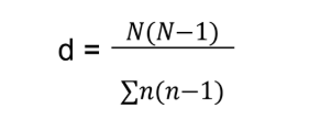
What is the equation for the diversity index?

What do all the letters mean in the diversity index equation?
d= species diversity index
N= total number of organisms of all species
n= total number of organisms of each species
What does a larger number for species diversity mean?
the greater the species diversity
What does a higher diversity mean for the stability of the ecosystem?
more stable ecosystem
with a wide variety of organisms its less likely that disease or change in climate will affect every organism
this allows the ecosystem to continue to exist
Why is plant diversity so important?
increased plant diversity
more habitats
more food sources
so biodiversity increases
How does the removal of plants affect biodiversity?
removal of plants reduces plant diversity
less habitats
less food sources
so biodiversity decreases
How does farming reduce diversity?
natural plants and animals are lost when the land is cleared, ploghed, reducing food sources and habitats
growth of specific crops stops the growth of other species
pesticides and herbicides may be used to kill unwanted species
fertilisers are designed to encourage growth of specific crops
Why is it crucial to find the balance between biodiversity and profit?
farming practices that maintain or increase biodiversity can be expensive, labour intensive and time intensive and may reduce the yield of crops and livestock
this means the farmer will have to charge more from the produce
What’re advantages of hedges?
increased biodiversity which increases in predators that eat pest species, so crop yield and profit would increase
increase in pollinators so higher yield, so more profit
may attract more tourists so increased profit
What’re disadvantages to hedges?
reduces the area of land which can be used for crop growth, so decreases the yield and profit
interspecific competition between crop species and other species so decreased yield and profit
more difficult to farm as harder to access with machinery adn hedges need to be maintained so higher labour costs and reduced profit
greater biodiversity so increased pest population, therefore decreased yield and profit