Lecture 1 - Structure and Organization of Nucleic Acids and Protein

0.0(0)
studied byStudied by 0 people
full-widthCall with Kai
GameKnowt Play
learnLearn
examPractice Test
spaced repetitionSpaced Repetition
heart puzzleMatch
flashcardsFlashcards
Card Sorting

1/42

flashcard set

Earn XP

Description and Tags

Dr. Natoya Peart, Fall 2025

Study Analytics
Name
Mastery
Learn
Test
Matching
Spaced

No study sessions yet.

43 Terms

1
New cards

DNA and RNA, formerly thymus and yeast nucleic acid, are ____ ______ of repeating subunits, with end-to-end directionality.

long polymers; subunits are nucleotides made up 5C sugar, nitrogenous base, and phosphate group

2
New cards

Differences Between RNA and DNA

  • DNA has no 2’ OH on sugar group, just H

  • DNA is more stable

  • DNA has a more rigid structure

  • RNA comes first

  • RNA has U, DNA has T

<ul><li><p>DNA has no 2’ OH on sugar group, just H</p></li><li><p>DNA is more stable </p></li><li><p>DNA has a more rigid structure</p></li><li><p>RNA comes first </p></li><li><p>RNA has U, DNA has T</p></li></ul><p></p>
3
New cards

Subunits of DNA and RNA

bases: proton (H+) acceptors

purines are double C-N ring (A, G)

pyrimidines are single C-N ring (C, T, U)

phosphate group: proton donor that will form the phosphodiester bond

4
New cards

A nucleoside is made of:

the sugar and nitrogenous base only; nucleotides also contain a phosphate group

5
New cards

The phosphodiester bond between adjacent nucleotides in DNA or RNA is formed between ______ and _______.

3’ C OH group on nitrogenous base; 5’ C PO4- group

this maintains directionality and polarity in the strand

6
New cards

Phoebus Levene

studied carbohydrates and nucleic acids

thought nucleic acids were made of phosphoric acid and nitrogenous and non-nitrogenous substances

studied composition of nucleic acids in yeast and cattle (thus yeast and thymus) and determined that they are in equal proportion (1:1:1:1) → INCORRECT

7
New cards

Edwin Chargaff (1940s)

studied organism specificity of nucleic acids and observed that ratios of nucleotides and composition of bases varies amongst species

gave us Chargaff’s rules:

  • [A] = [T]  

  • [G] = [C]

  • [G] + [A] = [T] + [C]

8
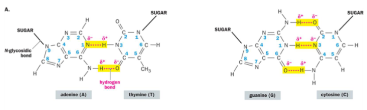
New cards

There are _____ H-bonds between adenine and thymine and ___ H-bonds between guanine and cytosine.

2; 3

<p>2; 3</p>
9
New cards

Watson-Crick Base Pairing

maximizes the number of H-bonds and confers the antiparallel

AT with 2 H-bonds; CG with 3 H-bonds

<p>maximizes the number of H-bonds and confers the antiparallel</p><p>AT with 2 H-bonds; CG with 3 H-bonds</p>
10
New cards

Non-Watson Crick Base Pairs

not typically found in dsDNA helix but are common in RNA - wobble bond because they can flip around

<p>not typically found in dsDNA helix but are common in RNA - wobble bond because they can flip around</p>
11
New cards

Structural Features of the Double Helix

secondary structure of DNA

  • has a hydrophobic core that is stabilized by base stacking (to keep water molecules out)

    • bases are also hydrophobic

  • major and minor grooves have different abilities to H-bond

    • more exposed DNA in major groove means it can do more H-bonding

    • also allows for interactions with proteins

12
New cards

Strand Separation

denaturing DNA by melting can be induced with higher temperature from increase of thermal energy → breaks H-bonds and other stabilizing forces in the helix

hyperchromicity: absorbance of 260nm UV light increases when DNA denatures

renaturation happens with slow cooling to allow reannealing or hybridization

13
New cards

Can DNA be unwound under physiological conditions?

yes; primarily by helicase

14
New cards

What affects the melting temperature (Tm) of DNA?

length and G:C content

15
New cards

DNA Reassociation Kinetics

rate of renaturation of depends on:

  • length 

  • concentration

  • repeated sequences

the rate that a sequence reassociates is proportional to the number of times it is found in the genome

Cot Curve: plot of % DNA reassociation vs. Cot value that reflects the complexity of the genome

<p>rate of renaturation of depends on:</p><ul><li><p>length&nbsp;</p></li><li><p>concentration</p></li><li><p>repeated sequences</p></li></ul><p>the rate that a sequence reassociates is proportional to the number of times it is found in the genome</p><p>Cot Curve: plot of % DNA reassociation vs. Cot value that reflects the complexity of the genome</p><p></p>
16
New cards

A-DNA

  • right-handed

  • deep and narrow

  • shallow and broad (superficial)

  • 11 BP per turn

  • low humidity, high salt

  • not usually adopted by DNA; can happen in RNA

<ul><li><p>right-handed</p></li><li><p>deep and narrow</p></li><li><p>shallow and broad (superficial)</p></li><li><p>11 BP per turn</p></li><li><p>low humidity, high salt</p></li><li><p>not usually adopted by DNA; can happen in RNA</p></li></ul><p></p>
17
New cards

B-DNA

  • Watson-Crick DNA (regular double helix)

  • right-handed

  • moderate depth, wide

  • moderate depth, narrow

  • 10.5 BP per turn

  • high humidity, low salt

<ul><li><p>Watson-Crick DNA (regular double helix)</p></li><li><p>right-handed</p></li><li><p>moderate depth, wide</p></li><li><p>moderate depth, narrow</p></li><li><p>10.5 BP per turn</p></li><li><p>high humidity, low salt</p></li></ul><p></p>
18
New cards

Z-DNA

  • left-handed (increased potential energy from torsional stress)

  • very shallow, basically a single groove

  • very deep and narrow

  • 12 BP per turn

<ul><li><p>left-handed (increased potential energy from torsional stress)</p></li><li><p>very shallow, basically a single groove</p></li><li><p>very deep and narrow</p></li><li><p>12 BP per turn</p></li></ul><p></p>
19
New cards

Non-B DNA Forms

most often occurs due to repetitive sequences to make unexpected structures

  • triplex: ssDNA comes back to H-bond with double helix

  • cruciform: resembles a cross; from inverted repeat sequences

  • RNA-DNA hybrid: three-stranded structure when a short RNA molecule base-pairs with dsDNA

  • G-tetrad: 4 G bases make a square

slipped DNA structures in tandem repeats

20
New cards

Hoogsteen Bonds

alternate H-bonds found in triplex and G-tetrad DNA

occur when purine rotates 180 degrees to the helix axis

21
New cards

RNA Secondary Structure

depends on various H-bonds

  • AU reverse Hoogsteen

  • GU wobble

  • GA sheared

  • GA imino

22
New cards

DNA Tertiary Structure

occurs when ends of double helix are constrained by circularizing or by DNA binding proteins underwinding or overwinding

virtually all DNA exists as supercoil

23
New cards

Positive Supercoiling

right-handed turn that decreases the # of bases per turn

double helix gets wound more tightly in the same direction

24
New cards

Negative Supercoiling

left-handed turn that increases the # of bases per turn

opposite of normal DNA direction which basically straightens it

25
New cards

Types of RNA

  • mRNA - messenger

  • tRNA - transfer

  • snRNA - small nuclear

  • snoRNA - small nuceolar

  • rRNA - ribosomal

  • miRNA - micro

26
New cards

Why is RNA more versatile than DNA?

it is a single-stranded ribose sugar structure which allows it to take on more 3D structures

27
New cards

Components of RNA

polymer of NTPs (ribonucleotides) linked by phosphodiester bonds

28
New cards

RNA Secondary Structures

uses both Watson-Crick and non-Watson Crick base pairs to facilitate structure formation 2

interactions with 2’ hydroxyl facilitates long range interactions - changes the shape of minor and major grooves

nucleosides are often highly modified that allow for more H-bonding

large RNA molecules require protein chaperones to properly form their structure and prevent random folding

<p>uses both Watson-Crick and non-Watson Crick base pairs to facilitate structure formation 2</p><p>interactions with 2’ hydroxyl facilitates long range interactions  - changes the shape of minor and major grooves</p><p>nucleosides are often highly modified that allow for more H-bonding</p><p>large RNA molecules require protein chaperones to properly form their structure and prevent random folding</p>
29
New cards

Is structure or sequence more important for function?

structure; it is more conserved than sequence to protect the hydrophobic region

tRNA model structure features non-Watson Crick base pairs, base stacking, modifications, and intramolecular forces

30
New cards

Amino Acids

monomer of proteins of which 22 are encoded

amino group and carboxyl group are charged at physiological pH

side chain confers properties to the amino acids (polarity for water solubility, basicity/acidity for charge, bulk)'

all except glycine are chiral and exist as enantiomers (non-superimposable mirror images); mostly L-amino acids

peptide bond is made between carboxyl group and amino group

<p>monomer of proteins of which 22 are encoded</p><p>amino group and carboxyl group are charged at physiological pH</p><p>side chain confers properties to the amino acids (polarity for water solubility, basicity/acidity for charge, bulk)'</p><p>all except glycine are chiral and exist as enantiomers (non-superimposable mirror images); mostly L-amino acids</p><p>peptide bond is made between carboxyl group and amino group</p>
31
New cards

Polypeptide

made of amino acids linked by peptide bonds between carboxyl and amino groups

peptide bond is rigid; cis and trans configurations are fixed and are mostly trans in protein to minimize steric hindrance

polypeptide is read from N-terminus to C-terminus since it has polarity

32
New cards

Translating the Genetic Code

codon: 3 base sequence in the mRNA that specifies a single amino acid BUT multiple codons may code for the same amino acid (degeneracy)

mRNA is synthesized from the non-coding/antisense/template strand; the strand will have the same sequence as coding strand

codon on the sense strand of DNA → codon of mRNA

start codon: AUG, stop codons: UGA, UAA, UAG

33
New cards

The difference in amino acids usually lies in the ____ base because it _______.

third; doesn’t participate in Watson-Crick base pairs rather non-Watson Crick

this is known as the wobble base

34
New cards

mRNA codons are read by the ____ in tRNA.

anticodon; tRNA is charged with amino acid

35
New cards

_____ and _____ are the building blocks of life.

nucleic acids (DNA and RNA); protein

36
New cards

Adenine (A)

DNA nucleoside: deoxyadenosine

RNA nucleoside: adenosine

37
New cards

Guanine 

DNA nucleoside: deoxyguanosine

RNA nucleoside: guanosine

38
New cards

Cytosine

DNA nucleoside: deoxycytidine

RNA nucleoside: cytidine

39
New cards

Thymine

DNA nucleoside: deoxythymidine

RNA nucleoside: N/A since RNA 

40
New cards

Non-B Form DNA Structures

most often occurs due to repetitive sequences

  1. slipped structure from tandem repeats (repeated in head-to-tail copies)

  2. cruciform structure from inverted repeats (read the same forward on one strand and backward on complementary strand H-bonds to self)

non-Watson Crick base pairing makes:

  1. triple helix from R, Y mirror repeats

  2. G-quadruplex

<p>most often occurs due to repetitive sequences</p><ol><li><p>slipped structure from tandem repeats (repeated in head-to-tail copies)</p></li><li><p>cruciform structure from inverted repeats (read the same forward on one strand and backward on complementary strand H-bonds to self)</p></li></ol><p>non-Watson Crick base pairing makes:</p><ol><li><p>triple helix from R, Y mirror repeats</p></li><li><p>G-quadruplex  </p></li></ol><p></p>
41
New cards

Cot Curve

graphical representation of genome complexity that plots ratio of ssDNA against the log scale of the product of initial concentration with time

shows the rate of DNA reassociation to determine the complexity of a genome → affected by concentration, temperature, repetitive sequences, GC content

<p>graphical representation&nbsp;of genome complexity that plots ratio of ssDNA against the log scale of the product of initial concentration with time</p><p>shows the rate of DNA reassociation to determine the complexity of a genome → affected by concentration, temperature, repetitive sequences, GC content </p>
42
New cards

Does RNA need help to fold?

yes and no; it can fold on its own or with aid from a chaperone protein

43
New cards

DNA, RNA, and proteins can all take on _______ structures.

higher order