Amino acids

0.0(0)
studied byStudied by 2 people
0.0(0)
full-widthCall with Kai
GameKnowt Play
New
learnLearn
examPractice Test
spaced repetitionSpaced Repetition
heart puzzleMatch
flashcardsFlashcards
Card Sorting

1/59

encourage image

There's no tags or description

Looks like no tags are added yet.

Study Analytics
Name
Mastery
Learn
Test
Matching
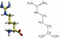
Spaced

No study sessions yet.

60 Terms

1
New cards

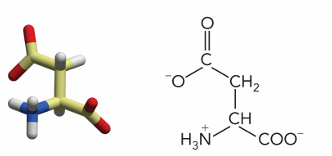
Asparate (Asp) (D)

knowt flashcard image
2
New cards

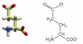
Glutamate (Glu) (E)

knowt flashcard image
3
New cards

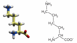
Lysine (Lys) (K)

knowt flashcard image
4
New cards

Arginine (Arg) (R)

knowt flashcard image
5
New cards

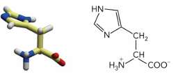
Histidine (His) (H)

knowt flashcard image
6
New cards

Serine (Ser) (S)

knowt flashcard image
7
New cards

Threonine (Thr) (T)

knowt flashcard image
8
New cards

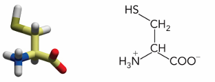
Cysteine (Cys) (C)

knowt flashcard image
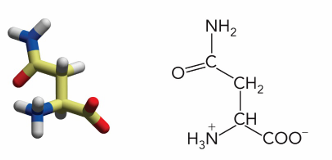
9
New cards

Asparagine (Asn) (N)

knowt flashcard image
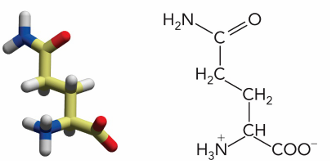
10
New cards

Glutamine (Gln) (Q)

knowt flashcard image
11
New cards

Glycine (Gly) (G)

knowt flashcard image
12
New cards

Alanine (Ala) (A)

knowt flashcard image
13
New cards

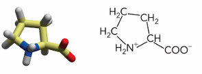
Proline (Pro) (P)

knowt flashcard image
14
New cards

Valine (Val) (V)

knowt flashcard image
15
New cards

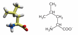
Leucine (Leu) (L)

knowt flashcard image
16
New cards

Isoleucine (Ile) (I)

knowt flashcard image
17
New cards

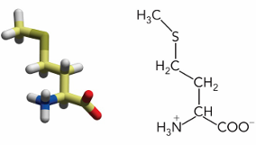
Methionine (Met) (M)

knowt flashcard image
18
New cards

Phenylalanine (Phe) (F)

knowt flashcard image
19
New cards

Tyrosine (Tyr) (Y)

knowt flashcard image
20
New cards

Tryptophan (Trp) (W)

knowt flashcard image
21
New cards

What is the classification of aspartic acid (aspartate) (Asp)?

Charged

22
New cards

What is the classification of glutamic acid (glutamate) (Glu)?

Charged

23
New cards

What is the classification of lysine (Lys)?

Charged

24
New cards

What is the classification of arginine (Arg)?

Charged

25
New cards

What is the classification of histidine (His)?

Charged

26
New cards

What is the classification of serine (Ser)?

Hydrophilic

27
New cards

What is the classification of threonine (Thr)?

Hydrophilic

28
New cards

What is the classification of cysteine (Cys)?

Hydrophilic

29
New cards

What is the classification of asparagine (Asn)?

Hydrophilic

30
New cards

What is the classification of glutamine (Gln)?

Hydrophilic

31
New cards

What is the classification of glycine (Gly)?

Hydrophobic

32
New cards

What is the classification of alanine (Ala)?

Hydrophobic

33
New cards

What is the classification of proline (Pro)?

Hydrophobic

34
New cards

What is the classification of valine (Val)?

Hydrophobic

35
New cards

What is the classification of leucine (Leu)?

Hydrophobic

36
New cards

What is the classification of isoleucine (Ile)?

Hydrophobic

37
New cards

What is the classification of methionine (Met)?

Hydrophobic

38
New cards

What is the classification of phenylalanine (Phe)?

Aromatic

39
New cards

What is the classification of tyrosine (Try)?

Aromatic

40
New cards

What is the classification of tryptophan (Trp)?

Aromatic

41
New cards

What is the three letter code for glycine?

Gly (G)

42
New cards

What is the three letter code for alanine?

Ala (A)

43
New cards

What is the three letter code for valine?

Val (V)

44
New cards

What is the three letter code for leucine?

Leu (L)

45
New cards

What is the three letter code for isoleucine?

Ile (I)

46
New cards

What is the three letter code for proline?

Pro (P)

47
New cards

What is the three letter code for methionine?

Met (M)

48
New cards

What is the three letter code for phenylalanine?

Phe (F)

49
New cards

What is the three letter code for tryptophan?

Trp (W)

50
New cards

What is the three letter code for tyrosine?

Tyr (Y)

51
New cards

What is the three letter code for serine?

Ser (S)

52
New cards

What is the three letter code for threonine?

Thr (T)

53
New cards

What is the three letter code for cystine?

Cys (C)

54
New cards

What is the three letter code for aspartic acid (asparate)?

Asp (D)

55
New cards

What is the three letter code for glutamic acid (glutamate)?

Glu (E)

56
New cards

What is the three letter code for asparagine?

Asn (N)

57
New cards

What is the three letter code for glutamine?

Gln (Q)

58
New cards

What is the three letter code for histidine?

His (H)

59
New cards

What is the three letter code for lysine?

Lys (K)

60
New cards

What is the three letter code for arginine?

Arg (R)