Exam #2: Water, Lipids, Bioenergetics, Nitrogen

0.0(0)
studied byStudied by 0 people
0.0(0)
full-widthCall with Kai
GameKnowt Play
New
learnLearn
examPractice Test
spaced repetitionSpaced Repetition
heart puzzleMatch
flashcardsFlashcards
Card Sorting

1/66

encourage image

There's no tags or description

Looks like no tags are added yet.

Study Analytics
Name
Mastery
Learn
Test
Matching
Spaced

No study sessions yet.

67 Terms

1
New cards

Pentoses include all of the following except:

Mannose (hexose)

<p>Mannose (hexose)</p>
2
New cards

________ is an important intermediate in carbohydrate metabolism but do not occur in nature

Trioses

<p>Trioses</p>
3
New cards

The gross ATP production during glycolysis phase of glucose metabolism is:

Four

<p>Four</p>
4
New cards

Raffinose is an example of trisaccharides. What correctly describes the products of complete digestion of raffinose?

1-Glucose + 1 Fructose + 1 Galactose units

<p>1-Glucose + 1 Fructose + 1 Galactose units</p>
5
New cards

The main carbohydrate (quantitatively) in the feedstuffs that is given to livestock is in the form of:

Polysaccharides. Feeds such as grains and hay are rich in starch, cellulose, and hemicellulose (all polysaccharides)

<p>Polysaccharides. Feeds such as grains and hay are rich in starch, cellulose, and hemicellulose (all polysaccharides)</p>
6
New cards

Starch, Glycogen, Dextrin are all examples of what?

These are all examples of polysaccharides

7
New cards

What is starch?

A polysaccharides used for energy storage in plants

8
New cards

What is glycogen?

A polysaccharides used for energy storage in animals

9
New cards

What is Dextrin?

A group of small, water-soluble polysaccharides made from he breakdown of starch

10
New cards

Inulin, the carbohydrate that is found in onions and garlic, is a polymer of:

Fructose units

<p>Fructose units</p>
11
New cards

You were asked to formulate a diet for a piglet, which form of the monosaccharides would you include at the highest level in the diet?

Glucose. It is used most efficiently and other monosaccharides require the conversion of fructose and galactose in the liver.

12
New cards

Too much of readily fermentable carbohydrate in the diet of ruminants could lead to:

  • Off feed syndrome

  • Acidosis

  • High lactate production

13
New cards

Triglycerides are esters of fatty acids with what type of backbone?

Glycerol backbone

14
New cards

What type of carbohydrate will not be well digested by nonruminant animals?

Carbohydrate with linear structure in which glucose units are linked together by alpha 1-4 (linear) and beta 1-4 (branch). Beta branches cannot be broken down by nonruminants digestion due to lack of rumen/bacteria

15
New cards

In general, unsaturated fatty acids are found in lipids of?

Plant origin

16
New cards

Unsaturated fatty acid has the tendency to become saturated. In the presence of excess levels of hydrogen and oxygen, the preference will be the unsaturated fatty acid to add:

Hydrogen (hydrogenation)

17
New cards

Most of the lipids (triglycerides) in the diets of ruminants are hydrolyzed in the:

Rumen. Rumen microbes hydrolyze triglycerides into: free fatty acids and glycerol before absorption

18
New cards

Glycogen is closely more related to ________ in terms of structure (sugar units and glycosidic bond)

Amylopectin

<p>Amylopectin</p>
19
New cards

Aracidonic acid, an essential fatty acid, could be synthesized from:

Linoleic acid can synthesize aracidonic acid

<p>Linoleic acid can synthesize aracidonic acid</p>
20
New cards

Compare C:16:0 to C:18:0. Which one has the higher melting point? Why?

C:18:0 is a fully saturated lipid (steric acid). The more saturated a lipid, the higher the melting point.

21
New cards

What is the enzyme malate dehydrogenase involved in during cellular respiration?

Malate dehydrogenase is involved in the TCA cycle and catalyzes malate into oxaloacetate

<p>Malate dehydrogenase is involved in the TCA cycle and catalyzes malate into oxaloacetate</p>
22
New cards

The enzyme phosphoglycerate kinase is involved in what part of cellular respiration and what does it do?

Glycolysis; catalyzes the conversion of 1,3-biphospoglycerate into 3-phosphoglycerate with ATP formation

<p>Glycolysis; catalyzes the conversion of 1,3-biphospoglycerate into 3-phosphoglycerate with ATP formation</p>
23
New cards

What is the enzyme that catalysis the shifting of functional groups from one position to another within the same molecule?

Mutase

<p>Mutase</p>
24
New cards

Dihydroxyacetone is an ________ in the glycolysis pathway

Intermediate

25
New cards

Metabolizable energy + Urinary energy losses + gaseous energy losses= ?

Gross energy

26
New cards

The sum of the net energy (NEp+NEm) and heat increment energy (HI) will give _________.

Metabolizable energy

27
New cards

What essential nutrient generates the largest amount of water post oxidation?

Fat

<p>Fat</p>
28
New cards

The concentration of urea in the urine of the temperate animal compared to their desert counterpart will be _________.

Lower. (Desert animals minimize water loss by excreting as little of urea as possible)

29
New cards

The water (or fluid) in the body of an animal is located in two distinct compartments. These compartment are:

Extracellular and Intracellular

30
New cards

The moisture contents of feces from cattle is relatively ______ than that of swine.

Higher

31
New cards

In mammals, urea is the excretory product of __________.

Protein metabolism

32
New cards

Water that is lost through the skin (other than sweating) via diffusion is known as?

Insensible water loss

<p>Insensible water loss</p>
33
New cards

When a living cell is dropped into a solution that is hypertonic (relative to the contents of the cell), what happens?

The cell decreases in size (shrinks) by losing fluid to the surrounding solution

34
New cards

In general, the total number of minerals found in the body of an animals is what?

About 19

35
New cards

The following are components of blood except:

Carbohydrates

36
New cards

What is the fundamental difference between feces and excreta?

Excreta contains uric acid

37
New cards

Metabolic or oxidation of water is another water source for livestock. What is true about metabolic water?

Potential number of oxidation depends on the number of hydrogen atoms and the completeness of the oxidation process

38
New cards

Water that is found within the body of an animal comes from all of the following except:

Sweat water

39
New cards

Urine from tropical animals (found in wild) is ________ in urea (or uric acid) compared to their counterparts found in the temperate region of the world.

Higher

40
New cards

After absorption from the small intestine, glucose are transported directly to which organ?

The liver

<p>The liver</p>
41
New cards

The highest level of uric acid is found in the blood of this animal

Chicken

42
New cards

If cells are in a hypertonic medium, will cells lose or gain water?

Cells will lose water (shrink)

43
New cards

Hich of the following animal’s feces has the lowest moisture content?

Sheep

44
New cards

Insensible water is the moisture that is lost through:

Diffusion through the skin

45
New cards

One of the following is a labile source of high energy phosphate in the muscle?

Phosphocreatine (acts as an immediate energy reserve for ATP resynthesis in muscles)

46
New cards

A cow was found to be anemic despite that the iron level in its diet and circulating iron in its blood at an adequate level. After laboratory analysis, it was found that most of the red blood cells were microcytic and immature. Which mineral deficiency would you attribute this to?

Copper

47
New cards

By subjecting protein to a slightly high temperature (than typical) for about 10 minutes and leaving them at room temperature for an extended period of time. What process would this protein go through?

Renatured (quality similar to starting material)

48
New cards

When ruminants are allowed to feed on lush pasture during the spring season, the potential for the development of tetany is high. What is this caused by?

Magnesium deficiency (Rapid growth= high K and N. High levels of ammonia in the rumen, negatively impacting mg).

49
New cards

Transamination is the process whereby an amino group (NH2) from an amino acid is transferred to a keto acid. Which of the following groups of amino acids may results from this process?

Asparagine, serine, glycine

50
New cards

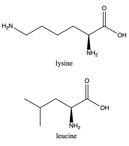
Amino acids could be categorized as being glycogen in, ketogenic, or both. 2/20 common amino acids are strictly ketogenic. What are these amino acids?

Leucine and lysine

<p>Leucine and lysine</p>
51
New cards

Urea cycle is the process when NH3 is converted to urea before it is finally excreted into the environment. In what organ does this process (urea cycle) take place in?

Ammonia detoxification occurs in the liver

52
New cards

What mineral results in piglets being born without hair on their body?

Copper (copper is needed for keratin cross-linking in hair/wool)

53
New cards

What mineral is not routinely supplemented in swine diets?

Sulfur

54
New cards

Wasting disease, enzootic ataxia, falling disease of cattle, and graying of black hair and wool are classical symptoms of?

Copper deficiency

55
New cards

What 3 minerals are area problems of the world?

Cobalt, copper, selenium

56
New cards

What mineral occupies the center of cyanocobalamin (B12)?

Cobalt

57
New cards

With regards to magnesium, high NH3 level with some urea supplements is good for ____________.

Mg absorption

58
New cards

Which of the following amino acids is not likely to be deficient in a typical diet for swine and poultry?

Alanine

59
New cards

This amino acid is involved in the general metabolic rate in the body of an animal

Tyrosine (precursor for thyroid hormones, controlling metabolism)

60
New cards

Osteoblast plays an important role in what?

The process of bone mineralization

61
New cards

In adult humans, this amino acid is conditionally essential (normally synthesized but needed for growth/stress)

Arginine

62
New cards

How many elements are found in a typical protein?

  1. Nitrogen

  2. Hydrogen

  3. Oxygen

  4. Carbon

63
New cards

The amino acids that are liberated from protein hydrolysates are primarily a-amino acids. What does this mean?

Carboxyl and amino groups are attached to the same carbon atom

64
New cards

Pica (depraved appetite) occurs as a result of _________ deficiency.

Phosphorus

65
New cards

Within a few days after a freak accident, a cow was found to be anemic as a result of excessive loss of blood. What correctly describes the nature of the anemia?

Normocytic, normochromic

66
New cards

In terms of relative proportion in bone, out of P, Ca, and Mg, what has the highest to lowest percentage?

Mg<P<Ca

67
New cards

This mineral is not routinely supplemented in