1/19
Looks like no tags are added yet.
Name | Mastery | Learn | Test | Matching | Spaced | Call with Kai |
|---|
No study sessions yet.

Glycine or Gly and Non-polar Amino Acid

Alanine or Ala and Non-polar Amino Acid

Valine or Val and Non-polar Amino Acid

Leucine or Leu and Non-polar Amino Acid

Isoleucine or Ile and Non-polar Amino Acid

Methionine or Met and Non-polar Amino Acid

Proline or Pro and Non-polar Amino Acid

Phenylalanine or Phe and Non-polar Amino Acid

Tryptophan or Trp and Non-polar Amino Acid

Serine or Ser and Polar Uncharged Amino Acid

Threonine or Thr and Polar Uncharged Amino Acid

Tyrosine or Tyr (Ionizable side chain Pka 11) and Polar Uncharged Amino Acid

Cysteine or Cys (Ionizable side chain Pka 8) and Polar Uncharged Amino Acid

Asparagine or Asn and Polar Uncharged Amino Acid

Glutamine or Gln and Polar Uncharged Amino Acid

Lysine or Lys (Ionizable side chain Pka 11) and Positively charged amino acid

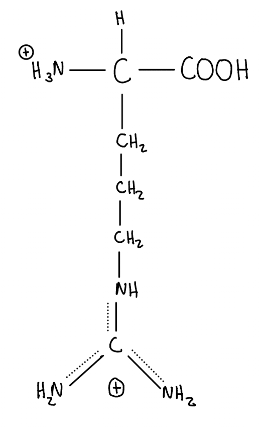
Arginine or Arg (Ionizable side chain Pka 12.5) and Positively charged amino acid

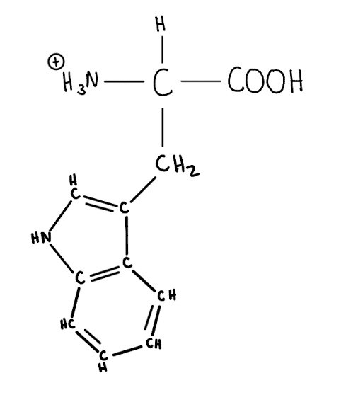
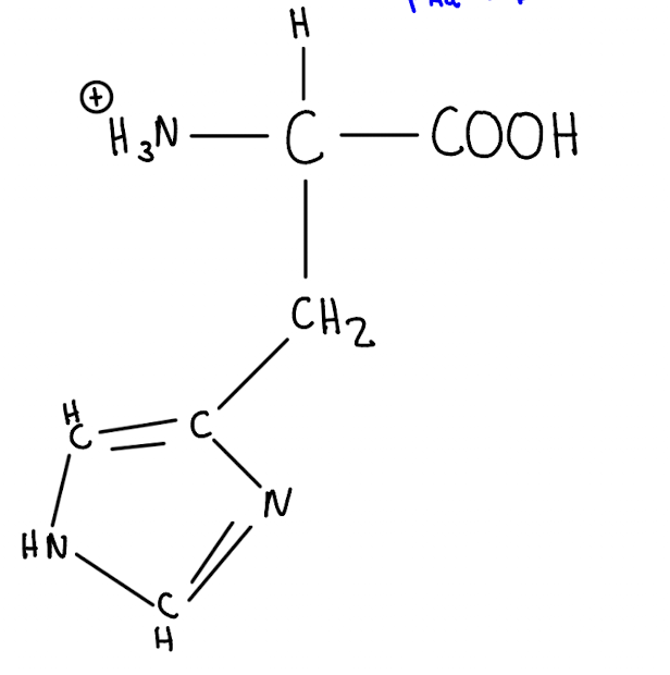
Histidine or His (Ionizable side chain Pka 6) and Positively charged amino acid

Aspartate or Asp (Ionizable side chain Pka 4) and Negatively Charged Amino Acid

Glutamate or Glu (Ionizable side chain Pka 4) and Negatively charged amino acid