Chapter 11- Carbohydrates and Glycoproteins

0.0(0)
studied byStudied by 1 person
full-widthCall with Kai
GameKnowt Play
learnLearn
examPractice Test
spaced repetitionSpaced Repetition
heart puzzleMatch
flashcardsFlashcards
Card Sorting

1/61

encourage image

There's no tags or description

Looks like no tags are added yet.

Study Analytics
Name
Mastery
Learn
Test
Matching
Spaced

No study sessions yet.

62 Terms

1
New cards

Carbohydrates

carbon-based molecules high in hydroxyl groups

  • empirical formula: (CH2O)n

  • can have additional groups or modifications

  • better described as polyhydroxy aldehydes and ketones (and their derivatives)

2
New cards

Monosaccarides

Aldehydes or ketones that contain two or more hydroxyl groups

3-7 carbons in length

Exist in many isomeric forms and are called simple sugars

  • Serve as fuel

Nomenclature is based on carbon-chain length and identity of most oxidized group:

  • Keto group:ketose

  • aldehyde: aldose

3
New cards

Constitutional isomer

Molecules with indentical molecular formulas that differ in how the atoms are ordered

4
New cards

Stereoisomer

molecules that differ in spatial arrangement but not bonding order

  • have either D or L configuration

  • can be enantiomers (mirror images of each other) or diastereoisomers (not mirror images of each other)

  • number possible = 2n where n is the number of asymmetric carbon atoms

5
New cards

Epimers

Sugars that are diasteroisomers differing in configuration only at a single asymmetric center

6
New cards

True or false: Most monosaccharides exist as interchanging cyclic forms

True

an aldehyde can react with an alcohol to form a hemiacetal

a ketone can react with an alcohol to form a hemiketal

7
New cards

Anomer

a diastereoisomeric form of sugars that forms when a cyclic hemiacetal is formed and an additional asymmetric center is created

In glucose, C-1 (the anomeric carbon atom) becomes an
asymmetric center, forming two ring structures:

  • α-D-glucopyranose (hydroxyl group attached to C-1 is on the opposite side of the ring as C-6)

  • β-D-glucopyranose hydroxyl group attached to C-1 is on the same side of the ring as C-6)


8
New cards

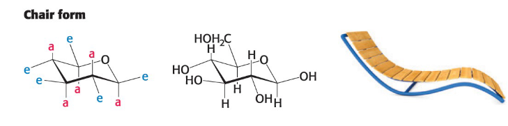
Chair form of glucose

Substituents on the carbon ring atoms can be axial (nearly perpendicular) or equatorial (nearly parallel)

Axial substituents sterically hinder each other if on the same side of the ring

Predominates because all axial positions are occupied by hydrogens

<p>Substituents on the carbon ring atoms can be axial (nearly perpendicular) or equatorial (nearly parallel)</p><p>Axial substituents sterically hinder each other if on the same side of the ring</p><p>Predominates because all axial positions are occupied by hydrogens</p>
9
New cards

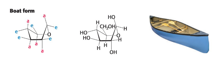
Boat form of glucose

Disfavored because it is sterically hindered

<p>Disfavored because it is sterically hindered</p>
10
New cards

Blood sugar

D-glucose circulating in the blood

  • only fuel used by the brain in non-starvation conditions

  • Only fuel used by red blood cells

11
New cards

Why is D-glucose an important fuel?

  • glucose is formed from formaldehyde under prebiotic conditions and may have been available as a fuel source for primitive biochemical systems

  • glucose is relatively inert

  • the most stable ring structure is β-D-glucopyranose


12
New cards

D-Glucose

Reducing sugar that reacts nonenzymatically with hemoglobin

in its linear form, glucose can react with oxidizing agents

13
New cards

How can you use reducing sugars to test if a molecule is a reducing sugar?

Fehling’s solution = solutions of Cu2+ that test for the presence of sugars that adopt an open structure

Reducing sugars= sugars that react with oxidizing agents

  • all monosaccharides that can adopt linear structures in solution

non-reducing sugars= sugars that do not react with oxidizing agents

<p>Fehling’s solution = solutions of Cu<sup>2+</sup> that test for the presence of sugars that adopt an open structure</p><p>Reducing sugars= sugars that react with oxidizing agents</p><ul><li><p>all monosaccharides that can adopt linear structures in solution</p></li></ul><p>non-reducing sugars= sugars that do not react with oxidizing agents</p><p></p>
14
New cards

Glycation

Nonenzymatic addition of a carbohydrate to another molecule

ex. Reducing sugars nonspecifically react with free amino groups on proteins (often Lys or Arg) to form a stable covalent bond

D-glucose has a low tendency to glycate proteins unless concentrations of sugar and protein are very high for long periods of time

Advanced glycation end products (AGEs) = products resulting from cross-linking following the primary modification

  • implicated in aging, arterioschlerosis, diabetes, and other pathological conditions

15
New cards

How to assess for diabetes by monitoring A1C levels

  • D-glucose reacts with hemoglobin to form glycated hemoglobin (hemoglobin A1c, A1C).

  • has no effect on O2 binding

  • In nondiabetic individuals, <6% of the hemoglobin is glycated.

  • In patients with uncontrolled diabetes, almost 10% of the hemoglobin is glycated.

  • Only eliminated when RBC’s die (lifespan is about 120 days)

16
New cards

Monosaccharide biochemical properties can be modified by reactions with:

  • alcohols

  • amines

  • phosphates

  • Can also be modified by the addition of substituents other than hydroxyl groups

17
New cards

What do monosaccharide modifications help with?

  • Can serve as signal molecules

  • can facilitate metabolism

18
New cards

How are Monosaccharides joined to alcohols and amines?

Glycosidic linkages

19
New cards

O-Glycosidic Linkage

Covalent linkage formed between the anomeric carbon atom of a carbohydrate and the oxygen atom of an alcohol

<p>Covalent linkage formed between the anomeric carbon atom of a carbohydrate and the oxygen atom of an alcohol</p>
20
New cards

N-glycosidic linkage

Covalent linkage formed between the anomeric carbon atom of a carbohydrate and the nitrogen atom of an amine

<p>Covalent linkage formed between the anomeric carbon atom of a carbohydrate and the nitrogen atom of an amine</p>
21
New cards

Phosphorylated sugars

Phosphorylation is a common modification of sugars in
metabolic reactions → Makes sugars ionic

  • Purposes:

    • makes sugars anionic to prevent crossing the lipid-bilayer membranes and interacting with transporters of the unmodified sugar

    • blocks the formation of alternative ring conformation

    • creates reaction intermediates that more readily undergo metabolism


22
New cards

Oligosaccharides

sugars that contain two or more monosaccharides linked by O-glycosidic bonds

  • have directionality defined by their reducing and
    nonreducing ends

ex. Maltose (disaccharide of D-glucose)

  • α-1,4-glycosidic linkage = glycosidic linkage between the α-anomeric form of C-1 on one sugar and the hydroxyl oxygen atom on C-4 of the adjacent sugar

<p><span style="color: #000000">sugars that contain two or more monosaccharides linked by O-glycosidic bonds</span></p><ul><li><p><span style="color: #000000">have directionality defined by their reducing and<br>nonreducing ends</span></p></li></ul><p><span style="color: #000000">ex. Maltose (disaccharide of D-glucose)</span></p><ul><li><p><span style="color: #000000">α-1,4-glycosidic linkage = glycosidic linkage between the α-anomeric form of C-1 on one sugar and the hydroxyl oxygen atom on C-4 of the adjacent sugar</span></p></li></ul><p></p>
23
New cards

Reducing end in oligosaccharides

Has a free anomeric carbon atom that can form the open-chain form

24
New cards

Nonreducing end

Has an anomeric carbon in a glycosidic linkage that cannot convert to the open-chain form

25
New cards

Disaccharide

Two sugars linked by an O-glycosidic linkage

Cleavage products of disaccharides can be processed to provide energy in the form of ATP

ex. sucrose, lactose, maltose

26
New cards

Sucrose

Disaccharide of sugar cane or sugar beets that consists of glucose linked to fructose

  • anomeric carbon of glucose is linked to the anomeric carbon of fructose

  • the configuration is α for glucose and β for fructose
    – not a reducing sugar
    – can be cleaved by sucrase (invertase)

<p><span style="color: rgb(0, 0, 0)">Disaccharide of sugar cane or sugar beets that consists of glucose linked to fructose</span></p><ul><li><p><span style="color: rgb(0, 0, 0)">anomeric carbon of glucose is linked to the anomeric carbon of fructose</span></p></li><li><p><span style="color: rgb(0, 0, 0)">the configuration is α for glucose and β for fructose<br>– not a reducing sugar<br>– can be cleaved by sucrase (invertase)</span></p></li></ul><p></p>
27
New cards

Lactose

Lactose = disaccharide of milk that consists of a galactose linked to a glucose

  • linked by a β-1,4-glycosidic linkage.

  • can be hydrolyzed by lactase in human beings and by β- galactosidase in bacteria

  • Lack of lactase leads to lactose intolerance

<p><span style="color: #000000">Lactose = disaccharide of milk that consists of a galactose linked to a glucose</span></p><ul><li><p><span style="color: #000000">linked by a β-1,4-glycosidic linkage.</span></p></li><li><p><span style="color: #000000">can be hydrolyzed by lactase in human beings and by β- galactosidase in bacteria</span></p></li><li><p><span style="color: #000000">Lack of lactase leads to lactose intolerance</span></p></li></ul><p></p>
28
New cards

Maltose

disaccharide resulting from the hydrolysis of large oligosaccharides that consists of two linked glucose molecules

  • joined by an α-1,4-glycosidic linkage

  • can be hydrolyzed to glucose by maltase (α-glucosidase)


<p><span style="color: #000000">disaccharide resulting from the hydrolysis of large oligosaccharides that consists of two linked glucose molecules</span></p><ul><li><p><span style="color: #000000">joined by an α-1,4-glycosidic linkage</span></p></li><li><p><span style="color: #000000">can be hydrolyzed to glucose by maltase (α-glucosidase)</span></p></li></ul><p><span style="color: #000000"><br></span></p>
29
New cards

Glycogen and starch are storage forms of glucose

Free glucose cannot be stored because high concentrations will disturb the cell’s osmotic balance

30
New cards

polysaccharides (glycans)

Large polymeric oligosaccharides formed by the linkage of multiple monsaccharides

  • polysaccharides plays a role in energy storage and structural integrity

  • homopolymer

31
New cards

Homopolymer

Polymer in which all the monosaccharide units are the same

32
New cards

Glycogen

Large, branched polymer of glucose residues

  • most common homopolymer in animal cells

  • storage form of glucose

  • most glucose units are linked by α-1,4-glycosidic linkages

  • branches are formed by α-1,6-glycosidic linkages hydrolyzed by α-amylase

Branching increases the surface area to allow better
access for enzymes to rapidly breakdown glycogen.

33
New cards

Starch

homopolymer that serves as the nutritional reservoir in plants

Two forms: amylose and amylopectin

  • amylose= unbranched type of starch composed of
    glucose residues in α-1,4 linkage

  • amylopectin = branched type of starch with ~1 α-1,6 linkage per 30 α-1,4 linkages

    • identical structure to glycogen but with a lower degree of branching

Amylose and amylopectin are hydrolyzed by α-amylase.

34
New cards

chitin

Main structural poplysaccharide of fungi and arthropods

homopolymer of β-1,4 linked N-acetylglucosamine

  • found in fungal cell walls and exoskeletons and shells of arthropods

  • Fibers are often crosslinked and composited with minerals and proteins to increase rigidity and strength.

35
New cards

How are insoluble and soluble fibers an important part of the diet?

  • Mammals cannot digest cellulose because they lack cellulases, but plant fibers are still important in the mammalian diet.

  • Insoluble fibers increase the rate at which digestion products pass through the large intestine.

    • softens stools and makes them easier to pass

  • Soluble fibers (e.g., pectin or polygalacturonic acid) slow the movement of food through the gastrointestinal tract.

    • facilitates absorption of nutrients from the diet

36
New cards

Chitosan

  • Cellulose is a major constituent of paper, bioadhesives, and clothes.

  • Chitin could be recovered from the shellfishing industry by processing the shells into the more versatile chitosan through microbial/enzymatic processes.

  • Chitosan can be used as:

    • a carrier to assist in drug delivery.

    • a component of cosmetic and food products.

    • a surgical dressing.


37
New cards

Glycoprotein

a carbohydrate group covalently attached to a protein

  • makes up 50% of the human proteome

glycosylation increases the complexity of the proteome

  • glycoforms = different glycosylated forms

  • may occur when a protein has several potential glycosylation sites

38
New cards

3 classes of glycoproteins

  1. glycoproteins = predominantly proteins

    • play a variety of roles, including cell adhesion

  2. proteoglycans = predominantly carbohydrates and the protein component is conjugated to a glycosaminoglycan

    • function as structural components and lubricants

  3. mucins (mucoproteins) = predominantly carbohydrates and the protein components is extensively glycosylated at Ser or Thr residues, usually by N-acetylgalactosamine

    • key component of mucus

    • function as lubricants


39
New cards

How can carbohydrates be linked to proteins?

Through N-linked or O-linked

40
New cards

N-linkage

Links the sugars in glycoproteins to the amide nitrogen atom in the side chain of Asn

  • Asn must be part of an Asn-X-Ser or Asn-X-Thr sequence, where X is any residue execept proline

41
New cards

O-linkage

Links the sugar in glycoproteins to the oxygen atom in the side chain of Ser or Thr

42
New cards

N-linked oligosaccharides common core

Consists of 3 mannoses and two N-acetylglucosamine residues

43
New cards

GlcNAcylation

the post-translational, covalent attachment of a single N- acetylglucosamine (GlcNAc) to Ser or Thr residues of proteins

  • Type of glycosylation

  • catalyzed by O-GlcNAc transferase

  • occurs when nutrients are abundant

  • reversible

44
New cards

O-GlyNAc Transferase

GlcNAcylation sites are potential phosphorylation sites → O-GlycNAc transferase and protein kinases may be involved in cross talk

Improper regulation O-GlcNAc transferase has been linked to:

  • insulin resistance

  • diabetes

  • cancer

  • neurological pathologies

45
New cards

Proteoglycans

  • proteins attached to glycosaminoglycans

  • up to 95% glycosaminoglycan by weight

  • resembles a polysaccharide more than a protein

  • function as lubricants and structural components in connective tissue.

  • mediate adhesion of cells to extracellular matrix.

  • bind factors that regular cell proliferation.

Important components of cartilage

  • Cartilage contains the protein collagen and the proteoglycan aggrecan.

  • aggrecan = large molecule with three globular domains

    • site of glycosaminoglycan (keratan sulfate and chondroitin sulfate) attachment is in the extended region between G2 and G3

    • G1 noncovalently binds to a central polymer of hyaluronate

46
New cards

Glucose flat and ring form

knowt flashcard image
47
New cards

Glycosaminoglycans

composed of repeating units of disaccharides containing a derivative of an amino sugar

  • amino sugar derivative is either glucosamine or galactosamine

  • at least one of the two sugars in the unit has a negatively charged carboxylate or sulfate group

The inability to degrade glycosaminoglycans causes diseases marked by skeletal deformities and reduced life expectancies.

48
New cards

How aggregan cushions compressive forces

Water is bound to the glycosaminoglycans to cushion compressive forces.

  • Water is squeezed from the glycosaminoglycan under pressure.

  • Water rebinds when pressure is released.

osteoarthritis = form of arthritis that results when water is lost from proteoglycan with aging

49
New cards

Tandem Repeats (VNTR) Region

region of the protein backbone of mucins that is rich in O-glycosylated Ser and Thr residues

Core carbohydrate structures are conjugated to the protein component of mucin.

Mucins are glycoprotein components of Mucus

50
New cards

Mucins

  • adhere to epithelial cells and act as a protective barrier.

  • hydrate the underlying cells.

  • play roles in fertilization, the immune response, and cell adhesion.

  • Overexpression occurs in bronchitis, cystic fibrosis, and adenocarcinomas.

51
New cards

Where does protein glycosylation take place?

In the lumen of the endoplasmic reticulum and the Golgi Complex

  • Endoplasmic reticulum (ER) and Golgi complex are organelles that play central roles in protein trafficking.

  • N-linked glycosylation begins in the ER and continues in the Golgi complex.

  • O-linked glycosylation occurs only in the Golgi complex.

52
New cards

Golgi complex

stack of flattened membraneous sacs

  • sorting center

    • proteins have to go through Golgi and ER first to undergo modifications before the Golgi sends out proteins to wherever they are needed

  • proteins proceed to lysosome, secretory granules, or the plasma membrane

    • based on signals encoded within their amino acid sequences and 3-D structures

53
New cards

Glycosyltransferases

Catalyze the formation of glycosidic linkages

  • Responsible for oligosaccharide assembly

Activated sugar nucleotides are the most common carbohydrate donor for glycosyltransferases

54
New cards

Blood groups and protein glycosylation patterns

  • Blood groups are designated by the presence of one of the three different carbohydrates (A, B, or O) attached to glycoproteins and glycolipids on the surfaces of red blood cells.

  • All blood groups have a core O antigen.

  • Specific glycosyltransferases add the extra monosaccharide to the O antigen

    • A and B antigens have on extra monosaccharide through an α-1,3 linkage to a galactose moiety of the O antigen

      • added by specific glycosyltransferases

    • type A transferase = adds N acetylgalactosamine to form the A antigen

    • type B transferase = adds galactose to form the B antigen

<ul><li><p><span style="color: #000000">Blood groups are designated by the presence of one of the three different carbohydrates (A, B, or O) attached to glycoproteins and glycolipids on the surfaces of red blood cells.</span></p></li><li><p><span style="color: #000000">All blood groups have a core O antigen.</span></p></li><li><p><span style="color: #000000">Specific glycosyltransferases add the extra monosaccharide to the O antigen </span></p><ul><li><p><span style="color: #000000">A and B antigens have on extra monosaccharide through an </span><span style="color: #000000">α-1,3 linkage to a galactose moiety of the O antigen</span></p><ul><li><p><span style="color: #000000">added by specific glycosyltransferases</span></p></li></ul></li><li><p><span style="color: #000000">type A transferase = adds N acetylgalactosamine to form the A antigen</span></p></li><li><p><span style="color: #000000">type B transferase = adds galactose to form the B antigen</span></p></li></ul></li></ul><p></p>
55
New cards

Blood type phenotypes

  • Individuals with the:

    • O blood type lack both enzymes.

    • AB blood type express both enzymes.

    • A blood type express only type A transferase.

    • B blood type express only type B transferase.

  • have important implications for blood transfusions.

    • If an antigen not normally present is introduced, the immune system recognizes it as foreign.

56
New cards

I-cell disease

a lysosomal storage disease that causes severe psychomotor impairment and skeletal deformities

  • affected lysosomes contain undigested glycosaminoglycans and glycolipids

  • active enzymes responsible for degradation are synthesized

  • enzymes lack appropriate glycosylation and are exported instead of being sequestered in lysosomes

A mannose 6-phosphate residue of the N-oligosaccharide directs the enzymes from the Golgi complex to lysosomes.

In I-cell disease, the mannose lacks a phosphate because patients are deficient in the N-acetylglucosamine phosphotransferase


57
New cards

Glycan-binding proteins

Bind to specific carbohydrate structures on neighboring cell surfaces

ex. lectins

58
New cards

Lectins

Type of glycan-binding proteins

  • the mannose 6-phosphate receptor that binds and directs lysosomal enzymes to the lysosome

  • function to facilitate cell–cell contact.

    • helps to build tissues

  • usually contains 2+ carbohydrate-binding sites.

  • are linked to carbohydrates by a number of weak noncovalent interactions.

    • composite of interactions is strong

59
New cards

C-type lectins

calcium-requiring lectins = found in animals

  • function in receptor-mediated endocytosis and cell-cell recognition

  • Ca2+ on lectin acts as a bridge between lectin and the sugar.

  • Two Glu residues in lectin bind to Ca2+ and the sugar.

  • Other hydrogen bonds form between lectin side chains and the carbohydrate.

  • selectins are a type of C-type lectins

60
New cards

L-type lectins

rich in seeds of leguminous plants

  • serve as potential toxins to herbivorous insects

  • some act as chaperones in the eukaryotic ER

61
New cards

Selectins

Members of C-type lectins

  • bind immune-system cells to sites of injury in the inflammatory response

  • play a role in recruiting leukocytes to inflammation sites

  • L form = bind to carbohydrates on lymph-node vessels

  • E form = bind to carbohydrates on endothelium

  • P form = bind to carbohydrates on activated blood platelets


62
New cards

Influenza

  • hemagglutinin = influenza virus lectin protein that binds to carbohydrates sialic acid residues linked to galactose residues on cell-surface glycoproteins

    • the virus is engulfed after binding

  • The virus replicates inside the cell and viral particles bud off from the cell.

  • Assembled viral particles are attached to sialic acid residues of the cell membrane by hemagglutinin.

  • neuraminidase (sialidase) = influenza virus protein that cleaves the glycosidic linkages between sialic acid and the rest of the glycoprotein

    • frees the virus to infect new cells

    • inhibitors of neuraminidase (Tamiflu and Relenza) are important anti-influenza agents

<ul><li><p><span style="color: #000000">hemagglutinin = influenza virus lectin protein that binds to carbohydrates sialic acid residues linked to galactose residues on cell-surface glycoproteins</span></p><ul><li><p><span style="color: #000000">the virus is engulfed after binding</span></p></li></ul></li><li><p><span style="color: #000000">The virus replicates inside the cell and viral particles bud off from the cell.</span></p></li><li><p><span style="color: #000000">Assembled viral particles are attached to sialic acid residues of the cell membrane by hemagglutinin.</span></p></li><li><p><span style="color: #000000">neuraminidase (sialidase) = influenza virus protein that cleaves the glycosidic linkages between sialic acid and the rest of the glycoprotein</span></p><ul><li><p><span style="color: #000000">frees the virus to infect new cells</span></p></li><li><p><span style="color: #000000">inhibitors of neuraminidase (Tamiflu and Relenza) are important anti-influenza agents</span></p></li></ul></li></ul><p></p>