Lesson 7.2: The Arc Length with Parametric Equations (Unit 9.3)

0.0(0)
studied byStudied by 0 people
0.0(0)
full-widthCall Kai
learnLearn
examPractice Test
spaced repetitionSpaced Repetition
heart puzzleMatch
flashcardsFlashcards
GameKnowt Play
Card Sorting

1/11

encourage image

There's no tags or description

Looks like no tags are added yet.

Study Analytics
Name
Mastery
Learn
Test
Matching
Spaced

No study sessions yet.

12 Terms

1
New cards
term image

C

2
New cards
term image

D

3
New cards
term image

D

4
New cards
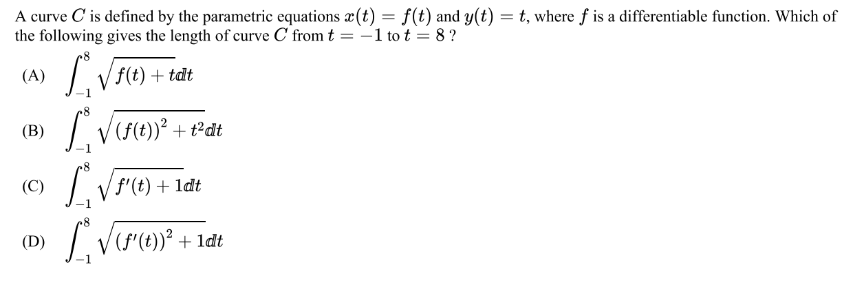
term image

D

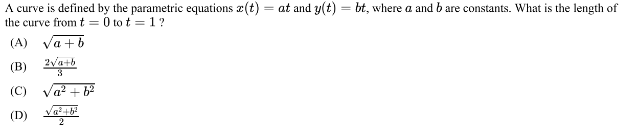
5
New cards
term image

D

6
New cards
term image

B

7
New cards
term image

B

8
New cards
term image

C

9
New cards
term image

B

10
New cards
term image

D

11
New cards
term image

B. 15.865

12
New cards
term image

B. 6.511