1/72
Looks like no tags are added yet.
Name | Mastery | Learn | Test | Matching | Spaced |
|---|
No study sessions yet.
A Projectile is thrown with a speed of 109.9 ft/sec in a direction 30.4 deg above the horizontal. Determine the highest point to which it rises in ft.
a. 24.08
b. 12.06
c. 50.25
d. 48.06
d. 48.06

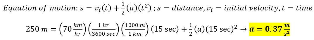
A motorist is traveling at 70 km/hr when he sees a traffic light in an intersection 250 m ahead turn red. The light's red cycle is 15 s. The motorist wants to enter the intersection without stopping his vehicle, just as the light turns green. What is the uniform deceleration of the vehicle that will just put the motorist in the intersection when the light turns green?
a. 0.18 m/s^2
b. 0.37 m/s^2
c. 1.3 m/s^2
d. 0.25 m/s^2
b. 0.37 m/s^2

If two dice are tossed, what is the probability of rolling a sum of 6 or 9?
a. 2/3
b. 3/4
c. 3/8
d. 1/4
d. 1/4

Given the origin-based vector A = i + 2j + k, what is the most nearly the angle between A and the x-axis?
a. 69
b. 80
c. 42
d. 66
d. 66

5. 100 random samples were taken from a large population. A particular numerical characteristic of sampled items was measured. The results of the measurements were as follows:
45 measurements between 0.859 and 0.900
0.901 was observed once
0.902 was observed three times
0.903 was observed twice
0.904 was observed four times
45 measurements between 0.905 and 0.958
The smallest value was 0.859, and the largest value was 0.958. The sum of all 100 measurements was 91.170. Except those noted, no measurements occurred more than twice.
What are the mean, mode, and median of the measurements, respectively?
a. 0.908; 0.902; 0.902
b. 0.908; 0.904; 0.903
c. 0.912; 0.902; 0.902
d. 0.912; 0.904; 0.903
d. 0.912; 0.904; 0.903

From the following tabulation, calculate the correlation coefficient between X and Y:
X: 80.6, 85.0, 88.3, 93.7, 98.9, 105.8
Y: 4.4, 8.2, 106, 8.3, 129, 14.5
a. 0.2303
b. 0.6969
c. 0.2240
d. 0.4220
c. 0.2240
Steps:
Menu → Statistics
2: y=a+bx
Input X and Y Data
Press AC, then OPTN
Then 3: Regression
correlation coefficient = r
There are 100 random samples were taken from the large population. A particular numerical characteristic of sampled items was measured. The results of the measurements were as follows:
45 measurements were between 0.85 and 0.900 0.901 was observed once 0.902 was observed three times 0.903 was observed twice 0.904 was observed four times
The smallest value was 0.859 and the largest value was 0.958. The Sum of all the 100 measurements was 91.170. Except for those noted, no measurements occurred more than twice.
What is the mean of the given problem above?
a. 0.9117
b. 0.7119
c. 0.9711
d. 0.7911
a. 0.9117

How many different ways can 5 boys and 5 girls form a circle with boy and girl alternate?
a. 10
b. 28,800
c. 362,880
d. 2,880
d. 2,880

From the following tabulation, calculate the correlation coefficient between X and Y:
X 81.5, 85.5, 89.1, 92.0, 98.4, 105.2
Y: 4.4, 8.0, 10.5, 8.7, 12.2, 14.9
a. 0.9470
b. 0.7094
c. 0.9740
d. 0.7490
a. 0.9470
Steps:
Menu → Statistics
2: y=a+bx
Input X and Y Data
Press AC, then OPTN
Then 3: Regression
correlation coefficient = r
The probability of a two-stage rocket will function correctly is 0.93. The reliability of the first stage is 0.98. What is the reliability of the 2nd stage?
a. 0.98
b. 0.95
c. 0.96
d. 0.97
b. 0.95

From the following tabulation, calculate the correlation coefficient between X and Y:
X: 81.0, 84.9, 88.7, 92.8, 99.8, 105.3
Y: 4.9, 85, 10.5, 8.2, 12.0, 14.7
a. 0.7779
b. 0.9777
c. 0.6009
d. 0.9006
d. 0.9006
Steps:
Menu → Statistics
2: y=a+bx
Input X and Y Data
Press AC, then OPTN
Then 3: Regression
correlation coefficient = r
In how many ways can 5 people line up to pay their electric bills at Meralco if two of them don’t want to follow each other?
a. 24
b. 72
c. 12
d. 36
b. 72

In a dice game, one fair die is used. He wins Php 15 if he rolls either a 1 or a 6. He loses Php 5 if he turns up any other face. What is the expected winning for the one roll of the die?
a. Php 3.33
b. Php 6.67
c. Php 1.67
d. Php 0
c. Php 1.67

A block weighing 500 kN rests on a ramp inclined at 25 deg with horizontal. Determine the force tending to move the block down the ramp.
a. 211 kN
b. 555 kN
c. 911 kN
d. 420 kN
a. 211 kN

A can has a litter of seven kittens. If the probability that a kitten will be female is 0.52, what is the probability that exactly two of the seven will be male?
a. 0.07
b. 0.18
c. 0.23
d. 0.29
b. 0.18

Which statement is true about these two vectors?
A = i + 2j + k
B = i + 3j – 7k
a. The angle between vectors is 17.4 deg.
b. The vectors are parallel.
c. Both vectors pass through the point (0, -1, 6)
d. The vectors are orthogonal.
d. The vectors are orthogonal.

A student must answer six of eight questions on an exam. How many ways can he do the exam if the first two questions are mandatory?
a. 28
b. 360
c. 15
d. 20,160
c. 15
What is the approximate probability of exactly two people in a group of seven having the same birthday on April 15?
a. 7.4 x 10^-6
b. 2.4 x 10^-17
c. 1.6 x 10^-4
d. 1.2 x 10^-10
c. 1.6 x 10^-4

Given the origin-based vector A = i + 2j + k, what is the most nearly the angle between A and the x-axis?
a. 80 deg
b. 66 deg
c. 42 deg
d. 69 deg
b. 66 deg

A projectile is thrown with a speed of 100.5 ft/sec in a direction 32.9 deg above the horizontal. Determine the highest point to which it rises in meters.
a. 120.88
b. 151.88
c. 100.88
d. 88.88
b. 151.88

How many sequences of six flags can be constructed from four red flags and two green flags?
a. 720
b. 15
c. 30
d. 288
a. 720

In tossing a dice, what is the probability of getting a prime number?
a. 2/3
b. 3/5
c. 1/3
d. 1/2
d. 1/2

How many different sums of money can be made from a penny, a nickel, a dime, and a quarter?
a. 15
b. 16
c. 17
d. 18
a. 15

In a multiple choice test, each question is to be answered by selecting 1 out of 4 different proposed answers of which only one is right. If there are 10 questions in the test, what is the probability of getting 7 right by pure guesswork?
a. 0.031
b. 0.0031
c. 0.31
d. 3.1
b. 0.0031

Provincial Chapter of PSME holds a lottery, Prize 10,000, tickets printed 2000. Find mathematical expectation if bought 10 tickets/member.
a. 5,000 Php
b. 10,000 Php
c. 15,000 Php
d. 20,000 Php
b. 10,000 Php

Simplify the expression (A×B)•C given:
A = 3i + 2j ; B = 2i + 3j + k; and C = 5i + 2k
a. 20
b. 0
c. 5i + 2k
d. 60i + 24k
a. 20
Steps:
Press Menu → Vector
Define Vectors
A particle whose curvilinear motion is represented by the equation, S = 20t + 4t² - 3t³. What is the particle's initial velocity?
a. 25 m/s
b. 20 m/s
c. 30 m/s
d. 32 m/s
b. 20 m/s

An urn contains four black balls and 6 white balls. What is the probability of getting one black ball and one white ball in two consecutive draws from the urn?
a. 0.53
b. 0.8
c. 0.95
d. 0.35
a. 0.53

A Wheel with a radius of 80 cm rolls along a flat surface at 3 m/s. If arc AB on the wheel's perimeter measures 90 deg, what is the velocity of point A when point B contacts the ground?
a. 3.00 m/s
b. 4.24 m/s
c. 3.75 m/s
d. 3.39 m/s
c. 3.75 m/s

How many ways can a club of 25 members choose a president, a vice president, a secretary, and a treasurer, if no members can hold more than one position?
a. 100
b. 120
c. 303,600
d. 2,300
c. 303,600

A Mapua student did not study. What is the probability of the student passing a 10-question, 5-choice exam?
a. 0.000684
b. 0.00864
c. 0.000864
d. 0.00684
c. 0.000864

Find the probability that a couple having 3 children will have at least one girl.
a. 0.875
b. 0.5
c. 0.25
d. 0.125
a. 0.875

A manufacturer has determined that a certain machine averages one defective bolt for every 1000 it produces. What is the probability that an order of 200 bolts will have one or more defective?
a. 0.352
b. 0.181
c. 0.245
d. 0.345
a. 0.352

An urn contains 5 white, 3 black, and 2 red balls. In getting one ball, what is the probability that it is not a red ball?
a. 0.80
b. 0.20
c. 0.50
d. 0.30
a. 0.80

A PSME/PSIM unit has 10 ME's, 8 PME's, and 6 CPM's. If a committee of 3 members, one from each group, is to be formed, how many such committees can be formed?
a. 480
b. 804
c. 840
d. 408
a. 480

A Class has 12 boys and 4 girls. If three students are selected at random from the class, what is the probability that they are all boys?
a. 0.4357
b. 0.3928
c. 0.6554
d. 0.3543
b. 0.3928

A stone is thrown vertically upward at the rate of 20 m/s. Find the highest point reached by the stone.
a. 15.9 m
b. 20.4 m
c. 16.5 m
d. 25.8 m
b. 20.4 m

If seven fair coins are simultaneously tossed in the air, what is the probability that at least one will land heads up?
a. 0.286
b. 0.971
c. 0.114
d. 0.992
d. 0.992

In a shooting practice, the probability of three trainee cops hitting the target is 30%, 40%, and 45%, respectively. If each fired aiming at the target, what is the probability that only one cop hits the target?
a. 0.243
b. 0.332
c. 0.224
d. 0.442
d. 0.442

If two random variables are independently distributed, what is their relationship?
a. They are uncorrelated
b. They are mutually exclusive
c. (A) or (B)
d. They are not identically distributed
a. They are uncorrelated
What is the probability that no two people in a group of seven have the same birthday?
a. 0.056
b. 0.92
c. 0.43
d. 0.94
d. 0.94

A particle whose curvilinear motion is represented by the equation, 20t + 4t² - 3t³. What is the maximum speed?
a. 21.8 m/s
b. 20 m/s
c. 31.8 m/s
d. 30 m/s
a. 21.8 m/s

How many different ways can a party of seven politicians be seated at a round table?
a. 7
b. 720
c. 5040
d. 49
b. 720

A Projectile is thrown with a speed of 93.6 ft/sec in a direction 29.4 deg above the horizontal. Determine the highest point to which it rises in meters.
a. 6 m
b. 7 m
c. 8 m
d. 10 m
d. 10 m

A train changes its speed uniformly from 55.3 mi/hr to 34.4 mi/hr at a distance of 1435 ft. What is its acceleration in ft/s²?
a. 1.4 ft/s²
b. -1.4 ft/s²
c. 2.4 ft/s²
d. -2.4 ft/s²
b. -1.4 ft/s²

A water reservoir of 24 m high and 12 m in diameter is to be completely filled with water. Find the minimum thickness of the reservoir plating if the stress is limited to 50 MPa.
a. 24.5 mm
b. 28 mm
c. 21 mm
d. 26 mm
b. 28 mm

What is the sample variance of the following numbers? 2, 4, 6, 8, 10, 12, 14
a. 5.29
b. 8.00
c. 4.32
d. 18.7
d. 18.7

There are five sticks measured at 1 cm, 2 cm, 3 cm, 4 cm, and 5 cm. If three sticks are randomly picked, what is the probability that the three sticks form a triangle?
a. 0
b. 0.1
c. 0.2
d. 0.3
d. 0.3

From the following tabulation, calculate the correlation coefficient between X and Y:
X: 81.6, 85.7, 88.3, 93.0, 98.4, 104.4
Y: 4.6, 8.8, 10.8, 8.1, 12.8, 14.9
a. 0.8911
b. 1
c. 0
d. 0.9911
a. 0.8911
Steps:
Menu → Statistics
2: y=a+bx
Input X and Y Data
Press AC, then OPTN
Then 3: Regression
correlation coefficient = r
The coordinates of two points in space are A(1,2,3) and B(4,-1,2). Determine the angle between radius vectors A and B.
a. 62.188 deg
b. 72.450 deg
c. 69.420 deg
d. 25.566 deg
a. 62.188 deg

A stone is dropped down a well. 2.47 sec after the stone is released, a splash is heard. If the velocity of sound in air is 342 m/s, find the distance to the surface of the water in the well.
a. 30 m
b. 2.4 m
c. 28 m
d. 7.2 m
c. 28 m

If the variable X has a Poison distribution with parameter λ, what is the expected value of X?
a. λ^2
b. λ
c. λ^-1
d. λ(1 - λ)
b. λ

Three standard 52-card decks are used in a probability experiment. One card is drawn from each deck. What is the probability that a diamond is drawn from the first deck, an ace from the second, and the ace of hearts from the third?
a. 0.00015
b. 0.0062
c. 0.000062
d. 0.00037
d. 0.00037

A particle whose curvilinear motion is represented by the equation, S = 20t + 4t² - 3t³. What is the particle's acceleration at t = 0?
a. 32 m/s²
b. 3.0 m/s²
c. 20 m/s²
d. 8.0 m/s²
d. 8.0 m/s^2

Four different colored flags can be hung in a row to make coded signals. How many signals can be made of a signal consisting of the display of one or more flags?
a. 24
b. 96
c. 31
d. 64
d. 64

In how many ways can three men be assigned consecutive seats in a row of seven seats?
a. 30
b. 24
c. 210
d. 35
c. 210

A train changes its speed uniformly from 60 mph to 30 mph in a distance of 1,500 ft. What is its acceleration?
a. -9.41 ft/s²
b. 9.41 ft/s²
c. 1.94 ft/s²
d. -1.94 ft/s²
d. -1.94 ft/s²

The probability that both stages of a 2-stage missile will function correctly is 0.95. The probability that the first stage will function correctly is 0.98. What is the probability that the second stage will function correctly given that the first one does?
a. 0.97
b. 0.99
c. 0.93
d. 0.95/
a. 0.97


B.0
Matrix mode on Calc

A. -28
Matrix mode on Calc

C.


D. -2


D.


B. Rank 2


D.


B.


D.


A. 373
Use Matrix on Calc

C. 2i-1


D.


A. 82
Use matrix mode on calc

D.


B.
