1/8
Looks like no tags are added yet.
Name | Mastery | Learn | Test | Matching | Spaced | Call with Kai |
|---|
No analytics yet
Send a link to your students to track their progress
What is a standing wave?
Its the result of two waves with the same frequency, wavelength, and amplitude traveling in opposite directions and interfering to produce a fixed spatial pattern that oscillates in time.

What is the equation for the superposition of two standing waves?

What does the term cos(kx) represent in a standing wave?
It determines the spatial variation of the wave, including the positions of nodes and antinodes
What does the term cos(ωt) represent in a standing wave?
It determines the temporal oscillation of the standing wave at a fixed point in space.
What are nodes in a standing wave?
They are points where the amplitude of the wave is zero at all times.

What are antinodes in a standing wave?
They are points where the amplitude of the wave is maximum.

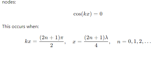
What is the condition for a node in terms of position x?

What is the condition for an antinode in terms of position x?

What are boundary conditions for a string with both ends fixed?
The boundary conditions require the displacement of the string to be zero at the endpoints
