1/28
Name | Mastery | Learn | Test | Matching | Spaced | Call with Kai |
|---|
No analytics yet
Send a link to your students to track their progress
L’élasticité prix ?
mesure la variation relative des quantités demandées de ce bien / service par rapport à la variation relative des prix de ce bien / service
calcul de l’élasticité prix ?

∆Q ?
la variation de la quantité demandée
∆P ?
la variation du prix de ce Bien & Service

que veut dire ce symbole ?
c’est la moyenne de la quantité détenue/ utilisée du bien avant et après la variation du prix.

que veut dire ce symbole ?
c’est une variation relative (%)

que veut dire ce symbole ?
c’est la moyenne du prix de ce B&S avant et après la variation.

que veut dire ce symbole ?
c’est aussi une variation relative (%)
L’élasticité prix de la D est toujours … ?
négative du fait de la loi de la demande (à l’exception de l’effet Veblen)
Pourquoi utiliser la moyenne entre la quantité et le prix ?
On utilise le prix moyen et la quantité moyenne pour éviter d’obtenir deux valeurs pour l’élasticité de la demande pour un même point sur la courbe de demande, selon que le prix diminue ou augmente
permet de mesurer l’élasticité le plus précisément possible, exactement à mi-chemin entre le prix initial et le nouveau prix

que veut dire ce calcul ?
biens dont la demande est élastique au prix. La variation de la demande est + importante que la variation de prix

que veut dire ce calcul ?
biens d’élasticité unitaire (point d’Engel)

que veut dire ce calcul ?
biens dont la demande est inélastique au prix. La variation de la demande est moins importante que la variation de prix
Demande élastique ?
c’est la quantité demandée change selon un pourcentage supérieur à celui du prix
Demande inélastique ?
la quantité demandée change selon un pourcentage inférieur à celui du prix.

demande parfaitement élastique ?
Les acheteurs sont prêts à acheter tout ce qu’ils peuvent à un prix donné et rien du tout à un prix légèrement supérieur
La moindre variation de prix entraîne (en théorie!) une variation infinie de la D !


demande parfaitement inélastique ?
Ex : soins médicaux d’urgence,
Peu importe la variation de prix, elle n’entraîne (en théorie!) aucune variation de la D!

Les déterminants de l’élasticité prix de la demande ?
le nombre et la proximité des substituts : + un bien possède de substituts proches, + la variation de la demande sera forte (demande élastique)
la part du revenu consacré au bien : + la part de revenu consacré au bien est faible, + la variation de la demande sera faible (demande inélastique - ex : le sel)
la période de temps considérée : + la période de temps considérée est longue, + la variation de la demande sera forte (changement dans les habitudes de consommation)
la taille du marché : + la taille du marché est grande, + la variation de la demande sera faible (l’élasticité de la demande de viande en général versus l’élasticité de la demande de viande de poulet)
Effets des variations de prix sur la recette totale (RT) d’une entreprise ?
Si la demande est élastique :
Si P augmente, Q diminue proportionnellement plus → RT diminue
Si P diminue, Q augmente proportionnellement plus → RT augmente
Si la demande est inélastique :
Si P augmente, Q diminue proportionnellement moins → RT augmente
Si P diminue, Q augmente proportionnellement moins → RT diminue
élasticité croisée ?
mesure la variation relative des quantités demandées d’un bien i suite à la variation relative du prix d’un autre bien j
et à comme valeur de référence : 0.
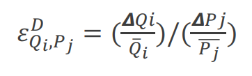
formule élasticité croisée ?

biens substituts ?

biens complémentaires ?

biens indépendants ?

L’élasticité revenu ?
c’est une mesure de la sensibilité de la demande au revenu
a comme valeurs de référence 0 et 1.
formule élasticité revenu ?

biens de nécessité courante ?

biens inférieurs ?

biens supérieurs ou de luxe
