1/59
Looks like no tags are added yet.
Name | Mastery | Learn | Test | Matching | Spaced |
|---|
No study sessions yet.
metrická x metrická
test Pearsonova korelačního koeficientu
(potřebuju normální rozděleni)
metrická x ordinální
test Spearmanova korelačního koeficientu
metrická x nominální
ANOVA (potřebuju normální rozdělení + shodu rozptylů)
Welshova ANOVA (potřebuju normální rozdělení)
metrická x alternativní
t-test pro dva nezávislé výběry (potřebuju normální rozdělení + shodu rozptylů)
Welshův test (potřebuju normální rozdělení)
metrická x konstanta (zadané četnosti)
t-test pro jeden výběr (potřebuju normální rozdělení)
ordinální x ordinální
test Spearmanova korelačního koeficientu
ordinální x nominální
Kruskalův - Wallisův test
ordinální x alternativní
Mann-Whitneyův U-test = Wilcoxonův dvouvýběrový test
ordinální x konstanta
Wilcoxonův jednovýběrový test (znaménkový test)
nominální x nominální
chí kvadrát test nezávislosti (potřebuju minimální očekávanou četnost)
chí kvadrát test homogenity (potřebuju minimální četnost)
nominální x alternativní
chí kvadrát test nezávislosti (potřebuju minimální očekávanou četnost)
chí kvadrát test homogenity (potřebuju minimální četnost)
nominální x konstanta
chí kvadrát test dobré shody (potřebuju minimální očekávanou četnost)
alternativní x alternativní
chí kvadrát test nezávislosti (potřebuju minimální očekávanou četnost)
chí kvadrát test homogenity (potřebuju minimální očekávanou četnost)
(Fisherův faktoriálový test)
alternativní x konstanta
chí kvadrát test dobré shody (potřebuju minimální očekávanou četnost)
(užití binomického rozdělení)
co dělat když potřebuju minimální očekávanou četnost (chí kvadrát testy)
=> pokud není reálná četnost alespoň taková jako očekávaná četnost => sloučím kategorie
=> pokud ani to nepomůže => převedu na alternativní proměnou => když ani to nejde => Fisherův faktoriálový test
nominální proměnná
je to jen “nálepka”, nedají se srovnat, co je >/<
rozlišíme je mezi sebou (Karel není to stejné co Petr)
alternativní proměnná
má pouze dvě možnosti (0 a 1)
ordinální proměnná
dá se srovnat, kdo má míň/víc, ale nedokážeme říct, jak velký je mezi nimi rozdíl (např. časový rozdíl doběhu prvního a druhého závodníka = nevíme)
metrická proměnná
př. věk, výška, IQ
nemusíme rozlišovat intevalovou a poměrovou => vše je metrická
konstanta
u všech lidí je to stejné - př. nikdo nemá diagnózu
p-hodnota
pravděpodobnost, že při platnosti nulové hypotézy nám vyjde něco, co takhle moc a víceporušuje
nulová hypotéza - co s výsledkem?
můžeme ji pouze ZAMÍTNOUT
alternativní hypotéza - co s výsledkem?
můžeme ji pouze PŘIJMOUT
jednostranné hypotézy
v hypotéze je “méně” => p-hodnota = 1-(p/2)
v hypotéze je “více” => p-hodnota = p/2
dvoustranné hypotézy
p-hodnota, co mi vyjde je výsledek
hypotézy o rozdílu
t-test (single sample)
t-test pro jeden výběr
=> basic statistics- t-test, single sample
srovnává střední hodnoty (průměr našeho jednoho náhodného výběru oproti zadané konstantě)
testová statistika: T
rozdělení: Studentovo t-rozdělení
míra účinku: d (v kolika směrodatných odchylkách se liší od nulové hypotézy) ((s = odhadnutá směrodatná odchylka))

párový t-test
=> basic statistics- t-test, dependent samples
aplikujeme na proměnné, které NEJSOU nezávislé => předpokládáme, že se “ovlivňují navzájem” (typicky výsledky pretest-posttest; rozdíl dělání věcí levou a pravou rukou,…)
přesně totéž co jednovýběrový test aplikovaný na sloupečku rozdílů hodnot (například druhé měření mínus první měření)
také srovnává střední hodnotu (ovšem průměr sloupečku rozdílů) oproti očekávané změně dané nulovou hypotézou – tedy 0 („žádná změna“, „zlepšení není“)
míra účinku D, kde D s čarou je průměrné zlepšení, mý D0 je 0, Sd je směrodatná odchylka sloupce “zlepšení”
nebo taky d= průměr D/Sd nebo průměr D/Sx (= tak, jak je to v populaci)

dvouvýběrový t-test (t-test pro dva nezávislé výběry)
=> basic stat.- t-test, independent
by variable znamená, že vybereme jeden sloupec dat jako jednu skupinu a druhý sloupec dat jako druhou skupinu - máme skupiny každou v jiném sloupci
by group znamená, že stanovujeme jednu proměnnou, jejíž úrovně budou stanoveny jako skupiny, a druhou dependent/závislou proměnou => když máme jeden sloupec dat čistě 0/1 (experimentální/kontrolní) a druhou jako sloupec bodů
testuje shodu dvou středních hodnot (průměry dvou skupin), které jsou na sobě nezávislé, a předpokládá, že skupiny mají stejné rozptyly
například: jak skórují v testu lidi ve skupině A a ve skupině B
testová statistika: T
rozdělení: Studentovo t-rozdělení
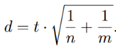
míra účinku: Cohenovo d X jednodušší cesta: získat ji přímo ze statistiky T a rozsahů skupin n a m:

Welchův test (t-test pro 2 nezávislé výběry bez předpokladu shody rozptylů)
=> basic stat.- t-test, independent, v kolonce options zaškrtnout t w/separate variance estimates
testuje shodu středních hodnot (průměry dvou skupin) na dvou výběrech, které jsou nezávislé, když rozptyly nemusejí být stejné
testová statistika: T
rozdělení: Studentovo t-rozdělení
míra účinku:
Glassova delta (pokud dokážeme určit, která ze skupin je kontrolní – typicky u experimentálních designů)
Glassova Δ= (průměr skupiny X - průměr skupiny Y)/ směrodatná odchylka kontrolní skupiny (třeba Y zrovna)
nebo opět Cohenovo d (pokud nelze určit, která ze skupin je kontrolní – typicky např. muži ženy)
Cohenovo d= stejné jako glassova delta, jen dělím směrodatnou odchylkou obou skupin smíchaných dohromady

F-test
=> basic stat.- t-test, independent, samo to udá i F
testuje shodu rozptylů dvou skupin (Statistica jej počítá automaticky společně s dvouvýběrovým t-testem/ t-testem pro dva nezávislé výběry) (je to jakoby něco navíc, nikdy to není ten test z tabulky, kterým bych testovala hypotézu)
například: jsou skóry mužů a žen stejně variabilní? Skórují ženy i muži v testu v rozmezí 5-25 bodů nebo je u některé skupiny rozmezí větší/menší?
testová statistika: F
rozdělení: Fisherovo rozdělení
míra účinku: neuváděli jsme si žádnou, protože se F test sám o sobě moc nepoužívá (funguje na něm ANOVA)
test Pearsonova korelačního koefiientu
=> basic stat.- correlation matrices-> options, display r, p-values and N´s
testuje souvislost dvou proměnných oproti očekávané korelaci, která je nulová (proto se dialog ve Statistice jmenuje „test nulovosti korelačního koeficientu“)
testová statistika: T
rozdělení: Studentovo t-rozdělení
míra účinku: samotný korelační koeficient (r), popř. koeficient determinance (r2)
Co dělat, když chceme mezi sebou srovnávat více než 2 skupiny?
můžeme použít sérii každý s každým, ale problém je potom s p hodnotami (při jednom testu je 5% šance, že bude zamítnuta nulová hypotéza, ale když jich provedeme více, tahle chybovost stoupá), takže musíme aplikovat Bonferroniho korekci => upravíme p hodnotu tak, že ji vydělíme počtem možných kombinací testů
jednofaktorová/jednocestná ANOVA (analýza rozptylu při jednoduchém třídění – všechno jsou to synonyma)
=> ANOVA- one way => quick => all results
analýza rozptylu - metoda na test hypotézy o středních hodnotách
one-way ANOVA => analýza rozptylu při jednom rozptylu
srovnává střední hodnoty skupin, kterých je více než 2 a které mají stejné rozptyly (pokud máme dvě, sáhneme po t-testu pro 2 nezávislé výběry; ANOVA je tedy zobecněním tohoto t-testu pro případy, kdy máme skupin vícero)
ANOVA funguje na principu dvou způsobů odhadů rozptylů, které jsou mezi sebou následně porovnány
za předpokladu nulové hypotézy (=mezi skupinami není rozdíl) odhadují rozptyl stejně
za předpokladu alternativy (=mezi skupinami je rozdíl) jeden způsob odhadu nadhodocuje a to odhalí Fisherův F test
testová statistika: F
rozdělení: Fisherovo rozdělení
míra účinku: není potřeba znát, neuváděli jsme si žádnou
shoda rozptylů se počítá přes Levenův test
Welchova ANOVA
=> basic statistics => breakdown and one way ANOVA => ANOVA and tests => zaškrtni Welch´s F test => analysis of variance
srovnává totéž, co klasická jednofaktorová ANOVA, jen si neklade podmínku shody rozptylů (tím pádem je asi lepší použít Welchovu ANOVU než obyč. ANOVU)
testová statistika: F
rozdělení: Fisherovo rozdělení
míra účinku: není potřeba znát, neuváděli jsme si žádnou
Leveneův test
=> basic statistics => breakdown and one way ANOVA => ANOVA and tests => Levene tests
test, který dokáže rozhodnout o shodách rozptylů náhodých veličin, které porovnáváme
v ANOVĚ => pokud bychom potřebovali rozhodnout, jestli použít ANOVU (protože máme stejné rozptyly) nebo použít Welchovu ANOVU (protože nemáme stejné rozptyly)
Výzkumná otázka by tedy byla: Existuje v rozptylech rozdíl?
nulová hypotéza: mezi rozptyly není rozdíl
Post-hoc testy (po ANOVĚ)
odpovídají na otázku “MEZI KTERÝMI skupinami je rozdíl?” => ANOVA odpovídá pouze na otázku, JESTLI je mezi skupinami rozdíl a to formou ANO/NE (=je/není porušena nulová hypotéza)
Tukey a Sheffé
Tukeyho HSD test (=honest significant difference)
=> ANOVA- one way => more results (vlevo dole) => post-hoc => Tukey HSD
silný při malém počtu skupin, s rostoucím počtem skupin ztrácí citlivost= pak už v podstatě nezamítne žádnou nulovou hypotézu, ať už platí nebo ne
Scheffého test
=> ANOVA- one way => more results (vlevo dole) => post-hoc => Scheffe
slabší než Tukey, není moc vhodný pro málo skupin, pro hodně skupin je naopak velice dobrý
ideálně zkusit oba
testy normality - Shaphir-Wilkův test
testují hypotézu o tom, jestli pochází veličina z normálního rozdělení
alternativa říká, že veličina nepochází z normálního rozdělení
statistické programy nabízejí více testů (Kolmogorův-Smirnovův test, Lilieforsův test)
Shapirův-Wilkův test
graphs => histograms => advanced => Shapiro-Wilk test
(nebo Descriptive statistics => Normality)
považován za nejsilnější z testů normality
podle p-hodnoty poznám, zda je to normální nebo ne (H0 = je to normální; když je malá p-hodnota, nepochází to z norm. rozdělení)
analýza síly testu
síla testu říká, zda je metoda náchylná k rozpoznání porušení nulové hypotézy či ne
silný test= citlivý na porušení nulové hypotézy (= je porušena, test to zjistí)
slabý test= není citlivý (nulová hypotéza porušena, test to nezjistí)
výsledkem je číslo v intervalu od 0 do 1, které znamená následující: například 0,5 znamená, že náš test potřebuje 100 lidí, aby odhalil porušení nulové hypotézy, zatímco t-testu by jich stačilo 50 (což je velký rozdíl) = slabý test
NEBO 0,96 => t-test by to zvládl s 96 a my potřebujeme 100 (což není skoro žádný rozdíl) = silný test
analýza síly testu - postup
=> statistics => power analysis => power calculation => t-test, dva nezávislé => “Mu= střední hodnota”, “n1 a n2= rozsahy souborů”, “sigma=směrodatná odchylka souborů” => calculate power
poznámka: pokud nejsou zadány střední hodnoty a směrodatná odchylka, ale Cohenovo d například 0,8, doplníte jakékoli hodnoty Mu1, Mu2 a Sigma, aby vyšlo 0,8 => nejjednodušší je 0,8, 0 a 1 => (0,8-0)/1= 0,8
=> statistics => power analysis => power calculation => one correlation => “Rho= očekávaná míra korelačního koeficientu, N= počet dvojic” => nalevo dole zakliknout “fisher Z Crude” => calculate power
převádění p-hodnot
statistika nám vždy dá oboustranné p hodnoty (nulová hypotéza říká, že mezi skupinou A a B není rozdíl, zatímco alternativa říká že rozdíl je, ale neříká jaký)
pokud chceme jednostrannou p hodnotu (například místo “mezi skupinami je rozdíl” testujeme hypotézu “skupina A má vyšší skór než B”), jsou dvě situace:
vyjde to ve směru, jaký udává alternativa (skupina A skóruje lépe než B, zjistíte třeba z mediánu u neparametrických nebo z průměrného skóru u parametrických) => pouze vydělíte p hodnotu dvěma => p/2
vyjde v opačném směru než říká alternativa (“A jsou lepší než B” ale v datech vidíte Mean(A)= 30 a Mean(B)=59) => p hodnotu vydělíte dvěma a odečtete od jedničky => 1-(p/2)
testy četností
testy chí kvadrát (test dobré shody, test nezávislosti, test homogenity)
Fisherův exaktní faktoriálový test
McNemarův test
testy chí kvadrát
testová statistika: vždy Z (ve Statistice nazýváno jako Pearsonův chí kvadrát)
rozdělení: chí kvadrát rozdělení (= Pearsonovo rozdělení… proto ten název výše)
míra účinku: koeficient fí
patří tam:
test dobré shody
test nezávislosti
test homogenity
test dobré shody (pro jeden výběr)
test četnosti
=> basic statistics => frequency tables => přidáme sloupec s očekávanými četnostmi
podle teorie => vypočítáme, jaké by měly být četnosti v našem souboru, aby byly v
souladu s teorií (rozsah souboru*teoretická četnost) => uděláme si z workbooku základní data => nonpar-=> observed versus expected X2 => vybereme pozorované a očekávané => summary
použijeme v situaci, kdy máme nominální náhodnou veličinu X o k úrovních a
ověřujeme nulovou hypotézu, která stanovuje pravděpodobnosti výskytu
jednotlivých úrovní
Například: teorie říká, že ve společnosti je 50% heterosexuálů, 20%
homosexuálů, 10% bisexuálů, 10% pansexuálů a 10% lidí dalších sexuálních
menšin => ověřuji, zda můj soubor podporuje tuhle teorii, zda realita
odpovídá teorii
chí kvadrát test nezávislosti
=> basic stat. => tables and banners (kontingenční tabulky) => ok => options => expected frequencies (zkontrolovat že jsou nad 5) => options => Pearson & M L Chi square => překliknout na záložku advanced => detailed two way table => (může se objevit “vyčíslete závislost mezi alternativní a nominální proměnou, v tom případě zaškrtneme kromě Pearsona ještě Phi)
použijeme, když se snažíme zjistit zda existuje souvislost mezi dvěma náhodnými veličinami (my je neovlivníme), které jsou nominálními proměnnými (například: zda si lidé volí terapeuty z různých škol podle diagnózy, poznámka: to, že jsou obě proměnné náhodnými veličinami bychom zajistili tak, že bychom napřed kontaktovali lidi, kteří mají teprve v plánu jít na terapii a ptali se jich na problém, následně bychom je kontaktovali po nějaké době a teprve zjišťovali zaměření terapeuta => pokud bychom se zkrátka jen ptali lidí, kteří už jsou u nějakého terapeuta na problémy, byl by to test homogenity nikoli nezávislosti)
nulová hypotéza: jsou nezávislé= nesouvisí spolu (úzkostní nehledají častěji KBT terapeuta než logoterapeuta)
podmínka: očekávané četnosti > 5
Yatesova korekce= udělá test konzervativnějším, řeší problém toho, že test nezávislosti nerespektuje zcela přesně stanovenou hladinu α a zamítá nulovou hypotézu o něco častěji, než požadujeme (na stejném místě jako Pearson & M L Chi square)
míra účinku: koeficient fí
chí kvadrát test homogenity
=> basic stat. => tables and banners (kontingenční tabulky) => ok => options => expected frequencies (zkontrolovat že jsou nad 5) => options => Pearson & M L Chi square => překliknout na záložku advanced => detailed two way table
použijeme, když se snažíme zjistit vztah dvou nominálních proměnných, ale jen jedna z nich je náhodnou veličinou (ptáme se 50 lidí od terapeuta KBT, 50 lidí od logoterapeuta a 50 lidí od psychoanalytika na problémy => problém je zde náhodnou veličinou, zaměření terapeuta ne, to jsme si stanovili my) => zjišťujeme, zda jsou u všech terapeutů problémy rozložené stejně
nulová hypotéza: mezi veličinami není vztah, jsou na sobě nezávislé
opět problém s nízkými četnostmi, očekávané nesmí být menší než 5
míra účinku: koeficient fí (na stejném místě jako Pearson…, jmenuje se “Phi (2x2)”)
když jsou zafixovány marginální četnosti, zda je to ve všech skupinách stejné
je to jakoby test nezávislosti v jiném kontextu (kliká se to v programu úplně stejně)
Fisherův exaktní faktoriálový test
=> basic stat. => tables and banners (kontingenční tabulky) => ok => options => expected frequencies (zkontrolovat že jsou nad 5) => options => jak je Pearson & M L Chi square tak dám Fisher extact => překliknout na záložku advanced => detailed two way table
testy nezávislosti a homogenity nepracují příliš dobře, pokud máme malé očekávané četnosti, to řeší tento test, v podstatě se jedná o test nezávislosti/homogenity pro čtyřpolní (2x2) kontingenční tabulku => použijeme ho, pokud máme alternativní a alternativní proměnnou
použiju ho při opravdu malých očekávaných četnostech (menší než 5), když mám alternativní proměnné
nulová hypotéza: náhodné veličiny jsou na sobě nezávislé (není mezi nimi vztah)
nemá testovou statistiku, tudíž ani nevede k žádnému rozdělení
vrací pouze p-hodnotu (získanou přesným kombinatorickým výpočtem) (to je ta hodnota v řádku: Fisherův p - při jednostranné hypotéze to bude ten řádek výš (nebo Fisherův p/2)
McNemarův test
=> basic stat. => tables and banners (kontingenční tabulky) => ok => options => expected frequencies (zkontrolovat že jsou nad 5) => options => jak je Pearson & M L Chi square tak dám McNemar (je to u Fishera) => překliknout na záložku advanced => detailed two way table
když máme dvě závislá měření (například pretest- posttest, klasicky bychom použili párový t test), ale na alternativních proměnných => použijeme čtyřpolní kontingenční tabulku
nulová hypotéza: měření, která měla původně 0 a následně 1, je stejně, jako měření, která měla původně 1 a poté 0
příklad: snažíme se zjistit, zda přednáška statistiky k něčemu byla, dáme proto studentům příklad před začátkem hodiny a zaznamenáme, zda jej vyřešili (1) nebo nevyřešili (0), poté je necháme jít na přednášku a po přednášce jim znovu zadáme příklad a sledujeme, zda jej byli schopní vyřešit (1) či nikoliv (0) => snažíme se zjistit, jestli lidí, kteří před přednáškou neuspěli a po ní ano (0 => 1), je stejně jako těch, co před uspěli a poté ne (1 => 0) (=což by znamenalo že úspěch a přednáška spolu nesouvisejí a přednáška byla úplně k hovnu)
podmínka testu: počet případů 0;1 a případů 1;0 musí být dohromady osm nebo více
neparametrické testy
pokud pracujeme s náhodnými veličinami, které nemají známé rozdělení (nedá se říct, že by měli normální, binomické, chí kvadrát,...) => tím pádem bychom nebyli schopni je popsat za pomoci několika parametrů jako doteď (nestačila by nám třeba střední hodnota a rozptyl)
jednovýběrový znaménkový test + jednovýběrový Wilcoxonův test
párový znaménkový test + párový Wilcoxonův test
=> znaménkový test => nonpar => comparing two dependent samples => sign test
=> znaménkový test přes binomické rozdělení => zjistíte N (přes deskriptivní statistiky) => uděláte si sloupec rozdílu (proměnná 1 - proměnná 2)=> zjistíte, kolik čísel je + a kolik - => pro binomické rozdělení potřebujete menší z těchto čísel (X), celkový počet N a pravděpodobnost (P, u binom je to 0,5) => statistics => calculators => distributions => binomial => zadáte hodnoty X, N a P a vypočítá vám to JEDNOSTRANNOU p hodnotu (musíte násobit 2)
=> Willcoxon => nonpar => comparing two dependent samples => Wilcoxon Matched pairs test
tytéž testy, jen Wilcoxon je o něco silnější (znaménkový test je téměř nejslabší ze všech= není citlivý k porušení nulové hypotézy)
jsou stejné jako jednovýběrové testy aplikované na sloupečku rozdílů
oba ověřují odlišnost mediánu sloupečku rozdílů od hodnoty zadané nulovou
hypotézou – tedy 0 („žádná změna“), pokud se v souboru nacházejí hodnoty rovné mediánu, jsou vyřazeny => znaménkový test zajímá pouze to, zda jsou hodnoty v našem souboru (sloupečku rozdílů) menší/větší než medián daný nulovou hypotézou (0) => Wilcoxonův test = pořadový neparametrický test, určí vzdálenost našich hodnot od mediánu (u párového 0), sečte pořadí hodnot, které jsou pod mediánem a nad mediánem, předvede na normální rozdělení a vrátí p hodnotu, funguje ale jen v případě, že mají obě veličiny stejná rozdělení pravděpodobnosti
Wilcoxon funguje pouze na symetrické hodnoty
Mann-Whitneyův U-test = dvouvýběrový Wilcoxonův test
=> nonpar => comparing two independent samples (groups) => Mann-Whitney U test
=> pokud chceš p-hodnotu s korekcí jak na spojitost tak na shody v měření, je to p za Z adjusted
tytéž testy (Statistica nám však rozhodování ulehčila tím, že nám Wilcoxona ani nenabízí; zná pouze Mann-Whitneyův U test)
použijeme jej v situaci, kdy bychom pro parametrické použili t-test pro dva nezávislé výběry
testují hypotézu, že pravděpodobnost, že náhodně vylosovaný prvek z jedné skupiny skóruje výše než náhodně vylosovaný prvek z druhé skupiny, je stejná jako ta, že tomu bude naopak (prvek z první skupiny bude skórovat níž než ten z druhé skupiny)
testová statistika: U, kterou převádíme na statistiku Z
rozdělení: normované normální
míra účinku: AUC (area under curve, stochastická dominance), pořadově-biseriální korelace, Hodgesův-Lehmannův estimátor, …
AUC: U/nm, kdy n a m jsou rozsahy obou souborů (nebo 1-(U/nm), záleží, kterou potřebujeme, jestli pro X nebo pro Y)
test Spearmanova korelačního koeficientu
=> nonpar => correlations (spearman, kendall tau, gamma)
když chceme zjistit sílu závislosti mezi kvantitativními proměnnými, které nemají normální rozdělení, nebo pro ordinální proměnné
testová statistika: T
rozdělení: Studentovo t-rozdělení
míra účinku: samotný korelační koeficient (r s )
Kruskal-Wallisův test (Kruskal-Wallisova ANOVA)
=> statistics => nonpar => comparing multiple independent samples (groups) => Kruskal Wallis ANOVA & Median test
zobecnění Mann-Whitneyova testu pro více než 2 skupiny = neparametrická ANOVA
testuje hypotézu, že když náhodně vylosuju jeden prvek z jedné skupiny, jeden prvek z druhé skupiny až jeden prvek z k-té skupiny, tak alespoň jeden z těchto prvků se bude svou hodnotou lišit
testová statistika: H
rozdělení: chí kvadrát
míra účinku: není potřeba znát, neuváděli jsme si žádnou
parametrické a neparametrické testy - tabulka

volba testu krok za krokem
identifikovat ty dvě proměnné
identifikovat úrovně těch dvou proměnných
konstanta- neměnící se číslo
alternativní- 2 možnosti => muži/ženy, s terapií/bez, blond/jiná barva vlasů,...
nominální- více než dvě možnosti, často kvalitativní, nejde je seřadit =>
oblíbené příchutě zmrzliny, jaké bere participant léky, jakou podstupuje terapii,..
ordinální- více než 2, jde je seřadit, ale nejsou mezi nimi stejné intervaly => typicky jak rychle někdo dopsal test (odevzdá první, druhý odvzdá 10 minut po něm, třetí minutu po něm => mám pořadí, ale “vzdálenosti” nejsou stejné)
metrické- čísla, jde se seřadit => typicky skóry testů, tváříme se že i
psychologických
všechny si můžu kdykoli “snížit” na nižší úroveň (metrická => ordinální => nominální => alternativní; př.: skór v testu => pořadí od nejlepšího po nejhoršího; vanilková, čokoládová, pistáciová=> vanilková x jiná)
podle tabulky (v hlavě) a podle úrovní těch dvou proměnných vybereme test
pretest x posttest a dva skóry => jaký typ testu použiju?
dva skóry se tváří jako metrické, nemůžeme je tak brát
test funguje tak, že si hodnoty odečte a porovnává je s předpokládaným zlepšením, což je nula (protože nulová hypotéza předpokládá, že mezi skupinami není rozdíl) => není to tedy například metrická x metrická, ale metrická x konstanta
párový t-test (t-test pro jeden výběr)
vypočítejte shodu/rozdíl rozptylů - co vlastně budu počítat?
u párového testu se mi rovnou vypočítá statistika F
u ANOVY použiju Levenův test
u Pearsona jen hodím r na druhou (=koef. determinace)