1/5
Looks like no tags are added yet.
Name | Mastery | Learn | Test | Matching | Spaced | Call with Kai |
|---|
No study sessions yet.
What is the capital market line?
It shows the best achievable risk return tradeoff using a risk free asset and the optimal risky portfolio
What is the formula for the optimal allocation of y?

What is the formula for working out an investors utility?

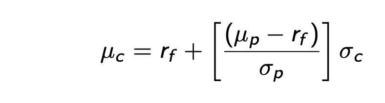
What is the capital allocation line?
It shows all possible risk return combinations an investor can achieve by mixing a
Risk free asset and any risky portfolio . The equation is as follows:

What is the sharpe ratio?
It measures risk adjusted performance
The slope of the Capital allocation line = the sharpe ratio of the risky portfolio. The best risky portfolio is the one with the highest sharpe ratio

What is the formula I MUST remember?
