1/66
+Revoir méthodes Auto-cohérentes
Name | Mastery | Learn | Test | Matching | Spaced |
|---|
No study sessions yet.
def microstructure
Géométrie complexe de la roche telle qu’on la voit au microscope. Résulte de la distribution et de l’arrangement des minéraux à l’échelle micro. Pores/Fissures (dépend des processus magma, sedim, diagenétique méta)
Def porosité
Espace vide entre les elements constitutifs d’un solide d’une roche resulte des diff processus physiques:
Assemblages imparfaits
Alteration disso
Endommagement (thermique, fissures)
Cimentation
Def macroporosité
Taille importante
Porosité intergranulaire
espace entre les grains
microporosité
pores de petite taille
porosité intragranulaire
trous à l’interieur de la roche
Formule porosité

Lois fluide-fluide

Loi de Hooke

Equation de propagation des ondes

Equations pour décrire l’équation des ondes:

Equation de propagation des ondes 2 types

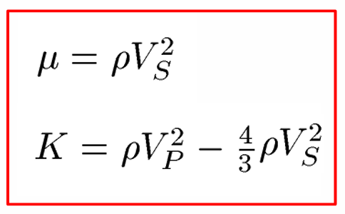
Calcul des modules élastiques par les vitesses

Module d’onde P

Qu’est ce que le VER ?
le changement d’échelle micro ➔ macro nécessite de définir un Volume Elémentaire Représentatif (ou VER, RVE en anglais) du matériau étudié
Conditions du VER
➢ Etre plus grand que la taille caractéristique des constituants afin que le nombre d’éléments (minéraux) de chaque constituant (phases minérales) soit suffisant pour permettre une représentation statistique correcte du matériau composite (échantillon de roche)
➢ Etre plus petit que la taille caractéristique des structures géologiques dont on veut conserver une description hétérogène (à une échelle plus grande
masse volumique d’une roche hétérogène

Moyenne de Voigt

Moyenne de Reuss

Moyennes de Voigt et de Reuss

Moyenne de Hill

Modèle d’Hashin Strickmann formules
On parle de modèle d’inclusion .

Modèles de milieux intergranulaire: Modèle de Hertz Mindlin

Modèle des sables non cimentés
Équivalent au modèle de Hertz-Mindlin auquel on ajoute des argiles qui ne vont pas cimenter les contacts
Modèle des sables cimentés
Équivalent au modèle de Hertz-Mindlin auquel on ajoute des argiles aux contacts

Loi empirique de Wyllie
La loi de Wyllie est issue d’une formulation empirique aussi appelée équation de la moyenne temporelle

la théorie de la poroélasticité
Lorsque les roches contiennent un liquide (eau, huile), il faut connaître le mode de déformation du milieu poreux
Vitesse P milieux non drainés

Module d’incompressibilité en regime non drainé
la formule de Biot-Gassmann n’est applicable qu’en régime « basse fréquence »

Sous quels effets évoluent les propriétés des roches en profondeur ?
• d’une augmentation des contraintes
• d’une augmentation de la pression des fluides µ
• d’une augmentation de la température
Effet le plus important ! La contrainte moyenne !
Contrainte moyenne formule

contrainte lithostatique

pression hydrostatique
La pression du fluide en profondeur n’est pas toujours égale à la pression hydrostatique Pression fluide pf Parfois il existe des surpressions fluides en profondeur

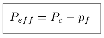
Différences pression Pc et Pf
La pression confinante Pc a tendance à compacter la roche car elle agit comme une pression « externe »
Au contraire la pression fluide pf a tendance à dilater la roche car elle agit comme une pression « interne ».
Formule de la Pression effective

Atténuation causes
En réalité, il existe toujours une petite dissipation d'énergie dont la conséquence est une atténuation des ondes sismiques avec la distance.
1) La divergence géométrique (échelle macro)
2) Les interactions avec les hétérogénéités (échelles macro/méso)
3) Les mouvements de fluides en milieux hétérogènes (échelle méso)
4) L’atténuation intrinsèque (échelle micro) ➔ dispersion et dissipation
2 type de divergence:
La divergence géométrique (macro) est liée à la géométrie de la propagation décroissance en 1/r de l'amplitude de l'onde. Cette atténuation géométrique existe quelque soit la rhéologie (élastique ou non) et ne dépend pas des propriétés des matériaux traversés.
2. l'atténuation intrinsèque n'existe que dans un milieu dont la rhéologie n'est pas élastique . Elle est associée à une dissipation d'énergie qui dépend des propriétés intrinsèques des milieux traversés.
Théorie de la viscoélasticité
(i) le milieu stocke une partie de l'énergie (élasticité), (ii) Le milieu dissipe une partie de l'énergie (viscosité), (iii) les relations contraintes-déformations sont linéaires.
Propagation des ondes en milieu viscoélastique relations entre contraintes et déformations

Propag des onde milieu viscoelast : Formule du module rhéologique

Propag des onde milieu viscoelast : 2 Parties de M(w)

Propag des onde milieu viscoelast : A quoi sert le facteur de qualité ?
le facteur de qualité Q qui permet de quantifier l'importance de la dissipation.
• Un milieu à faible facteur de qualité sera fortement dissipatif, donc fortement atténuant pour les ondes sismiques.
• Un milieu à fort facteur de qualité sera peu atténuant
Propag des onde milieu viscoelast
Formule Facteur de qualité

Propag des onde milieu viscoelast
Formule vitesse de phase dépendant de la fréquence


Propag des onde milieu viscoelast
Facteur d’atténuation:
2 parties de M(w)
la vitesse de phase est déterminée par la partie réelle du module complexe qui dépend de la fréquence de l'onde
• l'atténuation intrinsèque. Elle dépend de la partie imaginaire du module complex
Diagraphie calculer Sw

Diagraphie: Volume reservoir:

Diagraphie: Mesure de la densité

Loi de l’elasticité

Equation des ondes en milieu anisotrope

Comment resoudre l’équation des ondes pour une onde plane en milieu anisotrope ?
trouver les valeurs propres et vecteurs propres du tenseur de Christoffel
Coeff de Thomsen epsilon

Coeff de Thomsen gamma

Coeff de Thomsen delta

Fréquence caractéristique drainé-non drainé

Fréquence caractéristique non drainé-non relaxé
