Moving on to Descriptive Statistics

0.0(0)
studied byStudied by 0 people
full-widthCall with Kai
GameKnowt Play
learnLearn
examPractice Test
spaced repetitionSpaced Repetition
heart puzzleMatch
flashcardsFlashcards
Card Sorting

1/22

encourage image

There's no tags or description

Looks like no tags are added yet.

Study Analytics
Name
Mastery
Learn
Test
Matching
Spaced

No study sessions yet.

23 Terms

1
New cards

Measures of Centrality

Mean, Median, Mode

2
New cards

Xi

sample numbers

3
New cards

What is the mean?

the average

4
New cards

How to you calculate the mean?

sum of sample / n

5
New cards

The mean is also the expected value

True

6
New cards

mean

7
New cards

What is the median?

the 50th percentile

8
New cards

How do you calculate the median?

Arrange the numbers in chronological order, then find the middle number(s)

9
New cards

True or false

If you have two number that fall in the median, you have two medians. 

False. You add the two number then divide by 2 to get the median 

10
New cards

What is the mode?

the most occurring number

11
New cards

How do you calculate the mode?

arrange the numbers in chronological order then, find the number that occurs the most

12
New cards

True or false

There only ever be one mode in a dataset

False. You can have multiple modes within a data set

13
New cards

What are the Measures of Dispersion?

Range, Standard Deviation, Variance

14
New cards

How many Measures of Dispersion are there?

3

15
New cards

Range

the distance form the largest number in the dataset from the smallest

16
New cards

How do you calculate the range?

Xmax - Xmin

17
New cards

Variance

The average of the squared differences of each data point from the mean of the dataset.

18
New cards

(Xi - x̅)2

the formula to calculate each individual data point variance

19
New cards

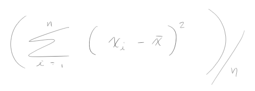
Total Variance

add up all individual sums for the variance to get the total, then divide by the sample size

<p>add up all individual sums for the variance to get the total, then divide by the sample size</p>
20
New cards

Standard Deviation

The square root of the variance

21
New cards

How to calculate the standard deviation?

take the square root of the Variance

22
New cards

Order of operation

knowt flashcard image
23
New cards

Symmetric

Xmean = Xmedian = Xmode