1/70
ALEVEL PHYSICS
Name  | Mastery  | Learn  | Test  | Matching  | Spaced  | 
|---|
No study sessions yet.


Calculate the wavelength of the photon released by the argon nucleus

Suggest how the emissions from a nucleus of decaying potassium can be used to confirm which decay process is occurring.





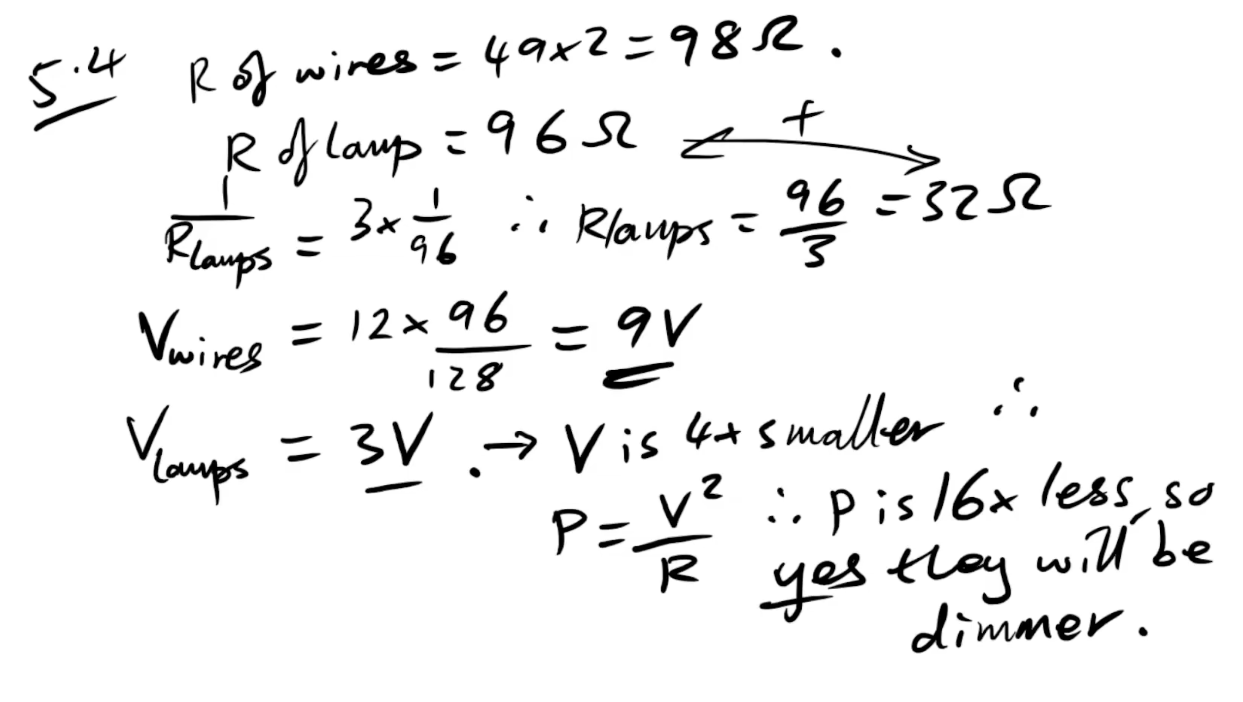
Explain how the actual frequencies produced would be different from those that the student predicts.















Suggest the changes to the forces acting on the ladder that occur when someone climbs the ladder.



Compare the momentum of loaded trolley A as it moves downwards with the momentum of loaded trolley B.











Suggest how the design ensures that there is no deviation of the ray as it enters the first prism.


Suggest two features of the design that ensure that there is no deviation of the ray as it leaves the first prism and enters the windscreen glass



Discuss two ways in which this different design affects the sensitivity of the sensor to the presence of water droplets.

Describe the pattern produced on the screen.

The green filter is replaced with a red filter. Describe the change in the pattern produced on the screen.

In practice, the filter transmits red light with wavelengths in the range 600 nm to 700 nm.
Suggest how this affects the appearance of the maxima.



The variable resistor is adjusted so that the lamp is at its brightest. The reading V1 on
the voltmeter is noted. A second identical cell is then connected in parallel with the
cell in Figure 9. The new reading V2 on the voltmeter is noted. Explain why V2 is greater than V1.



Explain why the frequency of the electromagnetic radiation must be greater than a certain value.
Frequency related to energy (of photon) /E = hf
There is a minimum energy of a photon required to remove photoelectron


Suggest why the chevron separation on motorways does not take into account the distance travelled as a car comes to rest after the brakes are applied.
Car in front cannot stop instantaneously so car behind will have time to bring car to rest




Discuss one advantage and one difficulty when using superconductors in electrical transmission over long distances.
Advantage
Zero resistance/resistivity.
Difficulty
Must be kept at/below the critical temperature.










Explain why the ray emerges parallel to the incident ray.
angle of incidence is 45° which is greater than critical angle so total internal reflection occurs













wider maxima

wider seperation
lower intensity









































