1/372
Looks like no tags are added yet.
Name | Mastery | Learn | Test | Matching | Spaced |
|---|
No study sessions yet.

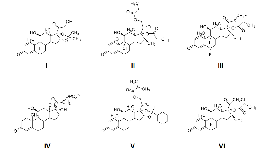
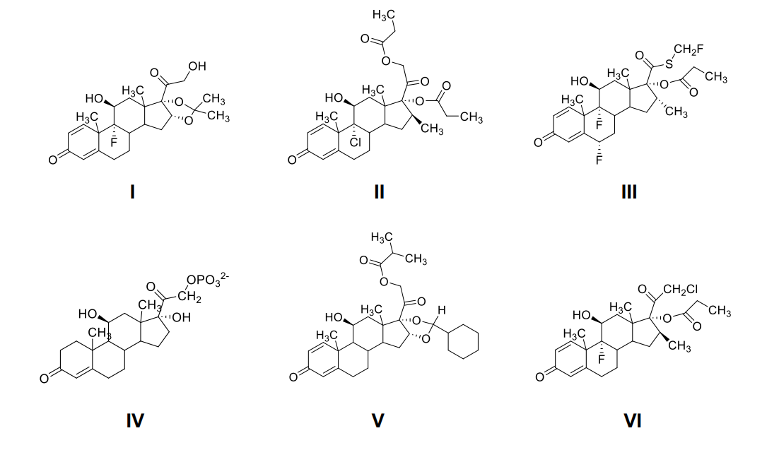
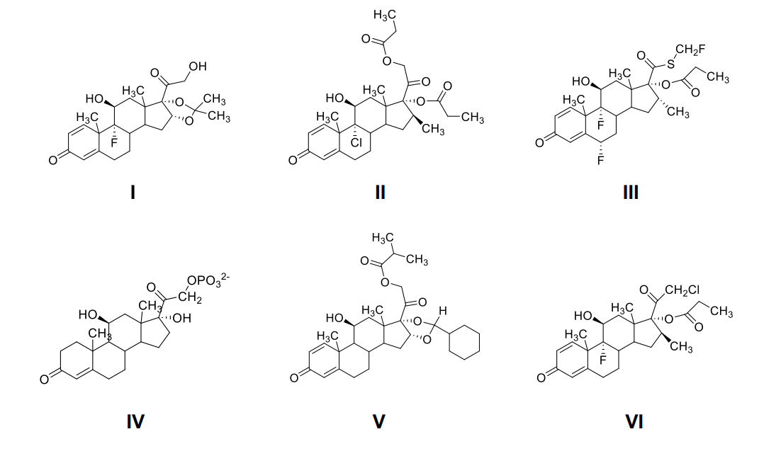
Which of these drugs has the strongest anti-inflammatory activity?
3

Which of these drugs has the weakest Anti-inflammatory Activity?
4

What’s the Order from STRONGEST to WEAKEST based on their anti-inflammatory activity
3,6,1,2,5,4

Is this Drug a Prodrug?
No

Is this Drug a Prodrug?
Yes

Is this a Prodrug?
No

Is this a Prodrug?
Yes

Is this a Prodrug ?
Yes

Is this a Prodrug?
No

What type of Prodrug is this?
Lipophilic

What type of Prodrug is this?
Lipophilic

What type of Prodrug is this?
Hydrophilic

Which of these drugs is(are) best to be used for parentally to manage status asthmaticus?
4

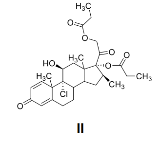
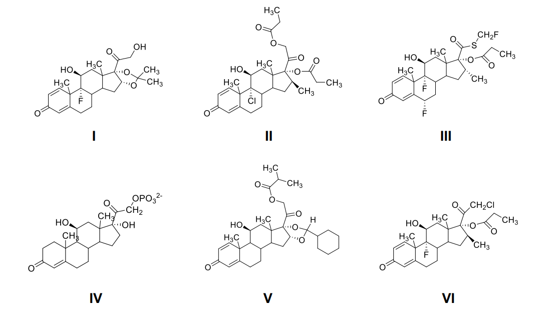
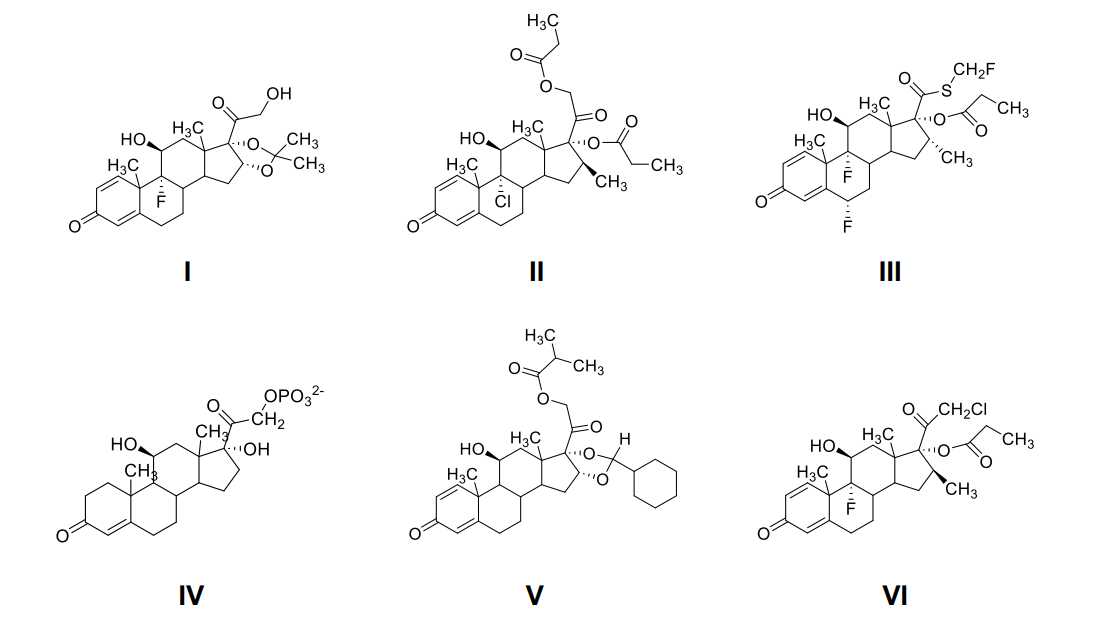
Which of these drugs are considered soft steroids (Long Acting Steroid)?
3, 5, 6

Is this a Soft Steroid?
No

Is this a Soft Steroid?
No

Is this Soft Steroid?
Yes

Is this a Soft Steroid?
No

Is this a soft Steroid?
Yes

Is this a Soft Steroid?
Yes

Which of these drugs is a soft steroid prodrug?
5

Which of these drugs is a di-ester lipophilic prodrug?
2

Which of the provided drug is Ketal-Containing?
1, 5

Which of these drugs is Acetal-Containing?
2, 3, 6

Which of these drugs is susceptible to metabolism by 3a-Dehydrogenase and/or 5a/B-Reductase?
4

What is the Product of this drug that’s activated in the lungs?


What is the activated form of this drug in the liver?


What is the inactivated form of this drug in the blood?


T/F
Drug A is amino-ester whereas Drug B is a Phenyl-Ethanol Amine
True

T/F
Drug A is a Bronchodilator whereas Drug B is a Glucocorticoid Agonist
False

T/F
Drug is an Antimuscarinic Agent whereas Drug B is a B2-Agonist
True

T/F
The two drugs can be used in the management of Asthma and/or COPD
True

T/F
The two drugs are used via oral inhalation and metabolized extensively by hepatic Enzymes
False

T/F
Drug A is a Glucocorticoid whereas Drug B is a mineralocorticoid
False

T/F
The Two Drugs are Adrenocorticoids
True

T/F
The two drugs are glucocorticoid receptor Agonists (Hydrocortisone-Like)
True

T/F
The Two drugs are anti-inflammatory
True

T/F
The two drugs exhibits strong salt-retaining properties
False

T/F
Drug A us more active than Drug B
False

T/F
Drug A can be used via inhalation whereas Drug B is used parenterally via IV
True

T/F
Drug A has a longer duration of action than drug B
True

T/F
The Two drugs can be used in the management of asthma and/or COPD
True

T/F
Drug A is a diester, Lipophilic prodrug whereas Drug B is a locally acting, Soft Steroid
False

T/F
Drug A is a methylxanthine whereas Drug B is a Dichloropyridine-Benzamide Derivative
True

T/F
The two drugs are bronchodilators
True

T/F
Drug A is an antimuscarinic agent whereas Drug B is a B2-Agonist
False

T/F
The two drugs can be used in the management of Asthma
True

T/F
The two drugs are metabolized by CYP1A2 resulting in more active, and long-acting metabolites
False

What type of molecule are these drugs?
Large, NEGATIVELY charged polymers or resins

T/F
Are these drugs orally used?
True

T/F
Are these drugs Non-Absorbable
True

What is the MOA of these drugs?
Decreases the GIT absorption of potassium

What are these drugs used to treat?
Hyperkalemia

What is the Chemical class of this drug?
Benzothiadiazine dioxide

What’s the pharmacologic class of this drug?
Thiazide

Is this drug basic or acidic?
Acidic

What is the chemical class of this drug?
Quinazolinone Derivative

What is the pharmacologic class of this drug?
Thiazide-Like

Is this drug Basic or Acidic?
Acidic

What’s the chemical class of this drug?
Benzamide Derivative

What’s the Pharmacologic class of this drug?
Thiazide-Like

Is this Drug Acidic or Basic?
Acidic

What is the chemical class of this drug?
Pyrazine derivative

What is the pharmacologic class of this drug?
Potassium-Sparing Agent

Is this drug Acidic or Basic?
Basic

What is the chemical class of this drug?
Aminobenzene + Sulfonamide + Ionizable Group

What is the Pharmacologic class of this drug?
Loop Diuretic

Is this drug Acidic or Basic?
Di-Acidic

What is the chemical class of this drug?
Polythiazide

What is the pharmacologic class of this drug?
Thiazide

Is this Drug Basic or Acidic?
Acidic

Out of these drugs, which one has the highest oral bioavailability and longest duration of action?
1

Which of these drugs are Loop Diuretics?
2

Which of these drugs are Potassium Sparing Agents?
1

Which of these drugs are a thiazide?
3

Which of these drugs is the most effective as a diuretic?
2

What area does this drug target?
Distal Tubule

Which of these drugs targets the distal tubule?
3

Which of these drugs targets the Loop of Henle?
2

Which of these drugs targets the collecting duct and the late distal tubule?
1

Besides being diuretics, what else can these drugs treat?
Antihypertension

Which of these drugs is a Thiadiazole Sulfonamide?
1

Which of these is an Osmitrol?
2

Which of these is an Osmotic Diuretic?
2

Which of these is a Carbonic Anhydrase Inhibitor?
1

Both of these drugs act where in the kidneys?
Proximal Convoluted Tubule

Which of these drugs can cause Sulfa Hypersensitivity?
1

Which of these drugs are used to reduce intracranial pressure and intraocular pressure, to increase urinary excretion of toxins, to treat acute renal failure?
2

Which of these drugs is more commonly used to treat glaucoma, epilepsy, and high-altitude sickness?
1

What is the pharmacologic class of these drugs?
Potassium Sparing-Agents

Which of these drugs is a Pyrazine derivative?
1

Which of these drugs is an Aldosterone Antagonist?
2

Which one of these drugs reversibly inhibits the re-absorption of Na+ and Secretion of K+ by blocking the luminal channels in the late distal convoluted tubules and Collecting duct?
1

Which of these drugs will be significantly reduced in its diuretic activity due to any structural modification?
1

Which of these drugs is a mineralocorticoid hormone?
2

Which of these drugs is secreted by the adrenal cortex?
2

Which of these drugs increases K+, Cl-, and Water retention while increasing K+ excretion?
2

Which of these drugs is a competitive antagonist of the intracellular aldosterone receptor?
2

What’s the pharmacologic class of these drugs?
Potassium-Sparing Agents

Which of these drugs is an Aldosterone Agonist?
1