1/176
Looks like no tags are added yet.
Name | Mastery | Learn | Test | Matching | Spaced | Call with Kai |
|---|
No study sessions yet.
antisocial behaviour
behaviour by a person which causes, alarm, or distress to one or more people not of the same household
aggressive behaviour
- 200 different definitions
- different forms and functions ( direct vs indirect, overt vs covert, physical vs verbal)
- goal of harming or injuring another living being who would avoid such treatment
instrumental vs reactive aggression
- instrumental aggression= purposeful and goal directed, involves planning, roots in social learning theory
- reactive aggression= elicited in response to frustration/threat, associated with anger, roots in frustration-aggression model
how is violence different from aggresion
- its a type of aggression that has extreme harm as its goal e.g. life threatening
- leads to convictions under criminal law
dark figure of crime
- amount of crime that is unreported/unknown
- total amount of crime in community only includes that what is recorded/known
crime funnel
a model indicating that the actual total quantity of crime is much higher than the decreasing proportion that is detected, reported, prosecuted, and punished

life course persistent offenders
- small group of males responsible for majority of crimes
- early onset conduct disorder
- risk factors= male, low social class, lone/step parents, criminal parents, poor parental supervision, bullying, excluded from school, regular drinking, delinquent friends

conduct disorder
a repetitive and persistent pattern of behaviour in which the basic rights of others or major age-appropriate societal norms or rules are violated
DMS-5 diagnostic criteria for CD
- 15 symptoms falling into 4 categories (aggression to people and animals, destruction of property, deceitfulness or theft, serious violation of rules)
- diagnosis= meet 3 of the criteria and one of them presented in the past 6 months

childhood onset type
at least one problem with conduct before age of 10
adolescent onset type
no problems with conduct before age of 10
Callous-Unemotional Traits
- a new specifier of CD
- lack of remorse or guilt
- callous= lack of empathy
- lack of concern about performance in important activities
- shallow or deficient affect
why does crime committed peak in adolescence
- first we have the childhood onset subgroup but at adolescence a second group joins (adolescent onset) and this is why we see a peak of crimes committed at these age points

the developmental taxonomic theory
The developmental taxonomy theory, proposed by psychologist Terrie Moffitt, suggests that people who engage in antisocial behavior fall into one of two groups: life-course-persistent offenders, who start early and continue into adulthood, and adolescence-limited offenders, whose antisocial behavior is limited to the teenage years
- adolescence limited is more likely due to social modelling of antisocial peers rather than individual characteristics

three pathways to conduct disorder
1. adolescent onset
2. childhood onset with high callous unemotional traits
3. childhood onset associated with emotional and behavioural dysregulation (low callous- unemotional traits)
two subgroups of childhood onset CD
- based on levels of callous-unemotional traits= lack of guilty and empathy, callous use of others (exploit, uncaring)
- included as specifier id DSM-5
- high callous unemotional subtype= lack of emotional responsiveness to negative emotional stimuli
- low callous unemotional subtype= high emotional reactivity/ poor emotional regulation
difference between conduct disorder and antisocial personality disorder
- they are the same thing
- psychiatry= antisocial personality disorder but criminology= conduct disorder
psychopathy
- greater number of crimes, more violent crime, likely to recidivate
- key characteristics= lack of empathy and remorse, manipulative, start offening at young age, premeditated violence, persistent and versatile offenders
- can link more into affective-interpersonal domain (emotion & manipulative) or antisocial impulsive domain (irresponsible & impulsive)
- might be a neurodevelopmental disorder like ADHD and autism
CD as a risk factors for problems in adolescence and adulthood
- mental health
- legal
- educational
-social
- occupational
- physical health
its a very costly disorder if left untreated so this is a common argument for funding

disorders Co-Morbid with CD
- ADHD
- depressive disorder
- anxiety disorders

prognosis of conduct disorder
- better if CD developed later in childhood
- severity and variety of early antisocial behaviour is powerful prediction of serious antisocial behaviour in adulthood
- prognosis worse if co-morbid disorders
risk factors for CD
1. dispositional= neurochemical, neurocognitive deficits, personality, autonomic irregularities
2. contextual = prenatal, early child care, family, peer, neighbourhood

developmental psychopathology
aims to understand how psychopathology emerges over lifespan (by considering multiple levels of explanations thus moves away from typical divisions of labour in psychology)

psychopathology
the field of psychology which aims to understand the aetiology, nature and treatment of mental disorders
developmental psychopathology perspective on conduct disorder
1. provides a very useful way for integrating the diverse research literatures into a coherent causal model
2. key developmental psychopathology concepts:
- equifinality and multifinality
- importance of integrating research on both normal and abnormal development
- importance of integrating multiple level of analyses for understanding conduct disorder

equifinality
different causes leading to the same outcome

multifinality
same cause leads to different outcomes

canalisation
when processes become increasingly stable or set in motion down a particular trajectory (difficult to change)
critical/sensitive periods
phases of heightened sensitivity to environmental factors such as adverse life events or abuse
e.g. 6 month threshold in early deprivation studies
unidirectional vs bidirectional risk factors
- unidirectional is when a risk factor is directly linked to the disorder (cause and effect)
- bidirectional is when two or more factors influence each other

criteria for inferring causality
1. A and B are related to one another
2. A precedes B in time
3. level or intensity of A predicts severity of B
4. when accounting for extraneous variables, relationship between A and B still holds
research designs in developmental psychology
1. longitudinal:
- retrospective: obtaining information about past history
- follow back: using previously recorded data about group of individuals
- prospective: information collected repeatedly on same individuals over time
2. cross sectional (studying different age groups at single time point= cohort effects & problem of causal inference)
3. accelerated designs (compromise between longitudinal and cross sectional):
- prospective longitudinal study with shorer follow-up intervals with multiple age groups (cohort effects, loss of ppts with most problems)
study populations
- clinical sample= have disorder of interest (recruitment bias)
- community sample= high risks ample from school or other setting
- representative sample= matched with general population on key characteristics
- birth cohort= all children born in given year
critiques of developmental psychopathology approach
- too inclusive and too integrative
- problems with falsifiability
- reproducibility of findings?
- observational or descriptive rather than experimental= cannot establish causal relationships (get around problem by studying interventions that aim to target variables)
- is it valid to make inferences about psychopathology on the basis of our understanding of normative development?
- can we work backwards from disorder to increase understanding of normative development

Lombroso's theory
1. the basis of all crimes originates in the brain
2. criminals are an evolutionary throwback to more primitive species
- they have 'atavistic stigmata'= physical characteristics e.g. large jaw, flopping forehead, single palm crease, skull indentation
- theory fed eugenics movement in early 20th century (hierarchy of criminals with jews and italians at top)

selfish genes
- successful genes are selfish in their struggle for survival, giving rise to selfish individual behaviour
fitness
- organisms ability to pass on its genetic material
males- maximising genetic fitness
1. all your eggs in the same basket= invest a lot of parental effort & resources in just a few offspring
2. put all your eggs into a lot of baskets= maximise the number of offspring without much effort to support them
males can more easily adopt 2 and cheat and for some cheating is a life strategy
ultimate cheater
- in a world of reciprocal altruists, they get a bad reputation. people stop helping them and they leave for another social network
- nomadic lifestyle that fits their characteristics
evolution of psychopathic behaviour
- the fact that less than 1% of the population are psychopaths, it shows it still must be successful
- most of the time, benefits are immediate satisfaction and costs relate to long-term problems
-also in some cultures antisocial traits can develop and might be encouraged by the environment
e.g. Kung people (altruistic)= harsh living conditions so cooperation & high level of parental investment.
Munduruk people (antisocial)= competition, politics, gossiping, & low parental investment

sex differences in aggresion
- males are more violent than females
- in different forms of aggression, sex differences still present (males show more direct aggresiona nd females more indirect)
- these differences are apparent in early childhood and stable throughout (cannot be explained by social learning theory)
- explanation:
1. females resources worth fighting for so males will fight for their resources to attract females in long term relationships. In the home this is used to dominate, control and deter potential cheating
2. personal survival is more important for females and critical for their children so less likely to be physically aggressive and saying bad things about other females to show that they are the better partner
fascination for violence in western society
- violence executed in the right place and right time is adaptive
- decoration & rewards for soldiers
- crowds cheering for boxers
- kung fu movies
- primitive instincts
infanticide
- 100 times more likely to be killed on the day you are born than any other day
- most likely happens within 1 year & 95% babies not born in hospital= unwanted pregnancies
- also inverse relationship between the degree of genetic relatedness and being victim of homicide (selfish gene, 11 times more likely to be killed by unrelated spouse than genetic family)
infanticide by stepparent
- 53% all baby killed in England by stepparents
- if a child is not related to you then you dont want to invest in them and want to maximise resources for your genetic child

infanticide by biological parents
- raising a child involves high parental investment
- if a change in mind= implement quickly to minimise energy
- parent killer more likely in younger years but as child gets older, more energy and investment and less time with parents= other killer
- other contributing environmental factors= congenital abnormality/chronic illness, partner leaves, age of mother, scarce resources

ultimate genetic cheating strategy
RAPE
- quick
- no investment (time/emotional)
- high possibility mother will look after
- high chance of successful pregnancy
-hypothesis= rapists more likely to inseminate fertile women
- they have always been at bottom of crime hierarchy (cost benefit analysis)
- a strategy from those with few resources= low SES, early school leavers, unstable job history

Marital Rape
- 10-26% of women
- deter future cheating (men= risk wasting resources and energy raising genetically unrelated child (sexual infedlity) women= risk of loosing protection, emotional support and resources provided (emotional infidelity))
- maximise possibility of successfully passing his genes on
- sexual jealousy?

genetic influence studies
1. behavioural genetics
- adoption studies
- identical and fraternal twin design studies
- identical twins separated at birth
2. molecular genetics
- XYY
- candidate genes e.g. MAOA
in twin studies the resemblance for antisocial behaviour can be divided into
1. genetic factors (heritability, h2)
2. shared environment factors (c2)
3. nonshared environmental factors (e2)
- if genes influence then MZ twins will be more similar to each other than DZ twins (but equal environment assumption!) and strongest for early onset antisocial behaviour

is there an aetiological difference between CU+ and CU- antisocial children
- CU+ most variance explained by genetic factor
- CU- most variance explained by environmental factors
- shows different pathways for group of twins to become antisocial= equifinality
- also if you are high in antisocial behaviour, then there is a good chance that you will also be high on CU trait and vice versa

twin studies & violence
violent crime:
- 2 million swedish twins
- looking at different mental health issues
- can see across different MH issues there is substantial genetic influence and same with violent crime
sexual offending
- strong familial aggregation of sexual crime
- genetic factor and non shared environmental factor explaining liability more than shared environment
- found different genetic effects for different forms of sexual offendings

limitation of twins studies (MZ)
- equal environment assumption (allows us to compare mz twins as we assume any differences is due to their environment and not genes but...
- equal environment , instead of genetics could explain why MZ are more similar to each other than DZ twins
- solution= study MZ twins reared apart
- Gove et al. (1990)= 32 MZ twins separated shortly after birth:
• heritability ASB children= .42
• heritability ASB adults= .28
- allows us to continue making the equal environment assumption
role of environment in ASB
- twins studies also tell us about environmental influences (.50 of variance in ASB)
- parents (shared environment) does not influence that much, less than the non-shared environment
- Baker et al. (2007) n=1,210 twins (9-10 yrs)
- SE= .22
-NSE=.33
adoption studies
- experimental group= separated from criminal biological parents
- control group= children fostered after birth but biological parent not criminal
- genetic influence is shown if the experimental group shows higher levels of ASB than control
- have robust findings despite differences in:
• age
• study periods
• counties
• measures of ASB
• study designs
• large populations
adoption studies & crime
property crime:
Mednick et al (1984)
- influential study, 14,427 adoptees
- significant correlation between adoptees and biological parents of property crimes not other violent crimes
violent crime:
- 18,070 adoptees
- risk for all criminal behaviour increased for adoptees with biological parents with criminal behaviour

molecular genetics
- XYY (chromosome abnormality)
- taller, learning disability, acne and this extra Y could explain antisocial and aggressive behaviour
- Jacobs et al. (1965): 4% identified as XYY (inspired by Richard Speck chicago massacre)
- Telfer et al. (1968): 129 tall men in institutions and 3.9% XYY
- but Speck not XYY
- Witkin et al. (1976)= might be assoication of XYY and antisocial behaviour and crime in general but NOT VIOLENT crime
- BUT recent studies with larger samples and XXY clinical control group (Klinefelter syndrome) e.g. Ross et al. (2012) supported association

molecular genetics: candidate genes
- no candidate genes for crime/violence, but many genetic variants risking vulnerability (brain functioning of several brain and hormonal circuits)
- genes code for neurotransmitters= transmit signal from one neuron to another= levels of neurotransmitter influence cognition, emotion and behaviour
Brunner syndrome
- 5 males from the family who acted aggressive when angry, fearful or frustrated
- control group of two carrier females (MAOA associated with one X gene) and non carrier females
- found a base change in the DNA structure of MAOA genes and causes no functional MAOA
- support from others: Caspi et al. , Williams et al (2009)

Gene environment interaction (MAOA)
- argument no longer if gene or environment is more important but trying to see there relative impacts together!
- enzyme that degrades amine neurotransmitters (dopamine, norepinephrine, serotonin)
- 2 alleles: high functioning and low functioning (linked to aggression)
- 30% of population carries but not everyone is aggressive = gene environment interaction!
- e.g. Capsi et al (2002)= maltreatment and low functioning MAOA= violence, just one without the other doesn't. he looked at 4 ways and the interaction is still there!
- MULTIFINALITY!! ^^

MAOA and sex
Holtz et al. 2014
- found 3 way interaction between sex, genotype and level of maltreatment
- for males= low MAOA, greater childhood stress, high amygdala response
- for females= high childhood stress, low amygdala response
Holtz et al. (2014) found that for males, low-activity MAOA combined with high childhood stress leads to heightened amygdala reactivity and greater aggression.For females, MAOA genotype had little effect — instead, childhood stress alone predicted a lower amygdala response, possibly reflecting emotional suppression or desensitisation.

dopamine and serotonin
- dopamine= drive and motivation, high= increase aggression
- serotonin= mood stabiliser, low= increase aggression
serotonin (5-HTTLPR) versions
- 2 variants of the gene: short and long
- short associated with higher levels of serotonin= high emotional response= dysregulation
- but Weeland et al looked at 12 studies and 4 found association with long allele, 4 with short allele, and 4 no association, conclusion= maybe both variants contribute to externalising behaviour after exposure to family adversity through different pathways (multifinality)
- Glenn = long allele related to psychopathy and if exposed to early adversity
- 2 separate studies found that HZ short allele and HZ long allele linked to CU trait and the level of these traits were linked to socioeconomic status (gene environment interaction!) (Sadeh et al. 2010)
- ^ important to consider different sources of information (e.g. maltreatment and HZ then likely to show lifetime conduct symptoms= Cicchetti et al. 2012 but also important to remember maltreatment is an umbrella term for something multifaceted as sexual and physical abuse seem to have greater impact than emotional but these are unexplored )
first neuroimaging study on murders
- Raine et al. (1994), 22 murderers who pleading not guilty by reason of insanity were matched to controls
- PET brain scan done while doing attention task and found murders had less activation in prefrontal cortex
- replicated and extended in 1997, found less grey matter in cortical and subcortical regions
- in 1998 group divided into 15 proactive murders, 9 reactive and 41 controls found proactive murderers have more activity in pfc than reactive murders which enables them to control the limbic system better and act in more planned organised way

amygdala-prefrontal network for reactive aggression
coccaro et al. (2007)
- 10 patients with intermittent explosive disorder compared to 10 controls
- fMRI while viewing emotionally salient faces
- found in IED, increased amygdala reactivity and failed to show amygdala-PFC coupling to angry faces

stroop test and abusers
Lee et al. (2008)
- 10 male spouse abusers vs 13 matched controls
-fMRI (cognitive and emotional stroop)
- abusers reaction time was greater for negative affect stimuli compared to neutral stimuli
non-violent ASB: lying
Lee et al. (2002)
- 5 ppts
- digit and autobiographical memory tasks
- activation in frontal, lateral and midline structures (linked to theory of mind and inhibition)
- so trying to deceive someone requires areas that are used in understanding others and executive functions
similar findings in guilty knowledge test (Langleben et al., 2002)
moral decision making: trolley situation
Green et al. (2001)
- fMRI during personal more dilemma (pushing someone on tracks to save 5 people) and impersonal (doing an action that kills 1 person instead of 5)
- only 15% willing to push someone on task so others survive
- percentage increased to 45% when ppts had ventromedial lesions
- both situations elicited regions associated with cognitive memory but the personal condition also elicited regions associated with emotion processing

how does damage to the prefrontal cortex affect utilitarian moral judgements
- utilitarian moral judgements= judgements where the benefit from the group outweighs benefit to the individual
- Koenings et al. (2007)= ppts lesions to ventromedial frontal cortex (impaired in skin conductance response, empathy, embarrassment and guilt- similar to psychopathy) and clinical control group and control group with no lesions
- group with VMPC lesions more likely to say yes in personal dilemma but all 3 same for impersonal
- they had 21 scenarios (low conflict vs high conflict) and asked questions
- at low level, groups didn't differ but at high conflict ppts with VMPC lesions more likely to do task like push off person
- links to idea of somatic marker hypothesis

somatic marker hypothesis
- Damasio's hypothesis
- our decisions in everyday life are guided by previous experiences that are marked by emotional affects and somatic markers from the autonomic nervous system. these markers guide our decisions in our life and these emotions help us avoid poor decisions that harm others (so individuals with VMPC lack these somatic markers BUT dependent on primary or secondary psychopath)
primary vs secondary psychopaths & utilitarian moral judgement in psychopathy
- primary= psychopathy stems from genetic risk & have low level of anxiety
- secondary= emerges from early adversity specifically childhood maltreatment & have high level of anxiety
^ equifinality (different risk factors, same outcome)
- those who are primary say yes more in personal dilemmas, secondary do not differ from controls (Koenigs et al., 2012)

brain activity in level of psychopathy and moral decision making
Molecular Psychiatry (2009)
- 17 individuals from community sample
- greater psychopathy score= lower amygdala response during personal moral dilemma so more likely to say yes
brain regions implicated in moral reasoning and antisocial behaviour
- Angular gyrus
- Superior temporal gyrus
- Amygdala
- VMPFC

neural processing of emotional faces in psychopathy
Contreras-Rodriguez et al. (2014)
- 2 conditions: match facial expression, match shapes (control)
- no difference in performance BUT controls activated amygdala, visual cortex & prefrontal region but psychopaths more activation is visual processing and decision making rather than emotional regions
- also found controls show greater connectivity between amygdala and visual cortex but psychopaths lack this
- so neural processing in psychopathy is disrupted, there performance shows a positive correlation between factor 1 of psychopathy and prefrontal regions associated with decision making

meta analysis: neurcorrelates of psychopathy
Poeppl et al.
- reduced responses in amygdala, dorsolateral PFC, left lateral PFC
- some evidence of increased activation in insual cortex

neural abnormalities in early onset and adolescent onset conduct disorder
Passamonti et al. (2010)
- male sample
- 3 conditions= sad faces, neutral faces, angry faces
- task= is the face of a male or female (implicit emotional processing)
- CD showed reduced response in amygdala, insula and vmPFC compared to controls (angry vs neutral condition)
- but when sad vs neutral condition, adolescence doesn't show differences but childhood onset do (less activation)
FOLLOW-UP study (Fairchild et al., 2014)
- female sample only
- females with CD show reduced responses across all facial expressions
- increased insula activity in fear condition (unlike males)
- biological sex is important to consider during neurcorrelates

which subgroup of childhood onset lacks emotional resposiveness
CU+
- deficits in processing negative emotional stimuli
- may process faces differently, might not know what to call expressions

Adolps et al. (2005): language of the eyes (super stimuli)
- patient SM (Urbach-Wiethe disease= complete calcification of amygdala
- compared SM to healthy controls and used eye tracking to see how processed happy vs fearful faces
- SM deficits in fearful expressions (doesn't look at eyes) but happy similar to controls looking at mouth
- when shes instructed to look at eyes she does
- shows amygdala is necessary to pay attention to eye area of face
- Dadds et al. (2010)= curious to see if same in high CU
- found CU+ look at mouth more and CU- at eyes and when CU+ instructed to look at eye then same processing as control
- suggest deficit in amygdala (hypoactivity- Jones et al., 2009)

mediation of callous unemotional traits and proactive aggression by amygdala response
Lozier et al. (2014)
- greater CU trait= lower amygdala response
- high CU trait linked to more instrumental proactive aggression
- proof using neuroimaging
- also supports somatic marker hypothesis

CU- vs CU+: emotion processing
Viding et al. (2012)
- emotional face presented for 17ms (brain processes but cant consciously say you've seen it)
- then neutral expression showed
- CU+ showed lower amygdala response than control but not statistically significant (probably due to small sample size)
- CU- show higher amygdala activity
- equifinality
- but different in females

nervous sysetm divisions
NS- CNS & PNS
CNS- brain, spinal cord
PNS- SNS & ANS
ANS- autonomic, parasympathetic, sympathetic, visceral
this was the method of choice before neuroimaging methods became popular

autonomic nervous system controls physiological arousal

fearlessness theory
Raine 1993
- low HR is a marker of low fear
- this disrupts early fear conditioning
- so they can commit criminal acts

sensation-seeking theory
Quay, 1965; Eysenk, 1997
- low HR= low autonomic arousal which is unpleasant
- so seek stimulating behaviours to increase arousal to optimal level

evidence of low resting heart rate in antisocial children
- Davies and Maliphant (1971)= lower heart rate in antisocial kids
- Wadsworth (1976)= lower HR in delinquent kids

lower resting HR in antisocial children: meta analysis
Ortiz and Raine (2004)
- almost 6000 children
- found significant lower HR
- but not moderated by gender, age, method of recording, control group etc.

low resting HR: twin and intergenerational evidence
- Venable (1983)= children with criminal father had lower HR
- Laura et al. (2009)= significant genetic influences on heart rate during childhood on ASB throughout development

lower resting HR and Antisocial behaviour: longitudinal evidence
- Antti et al. = Swedish birth registry study, lower RHR increases risk of antisocial behaviours in adulthood
- Murray et al. (2016)= study in brazil found same association as above
HOWEVER, could this relationship be explained by social factors that increase risk for both low RHR and antisocial behaviour?
Farrington (1997) found out of 48 individual and environmental predictors, only low HR and poor concentration were independently related to violence

can high resting HR act as a protective factor for ASB
Raine et al. (1995)
- sample of 101 school boys
- higher skin conductance and heart rate for individuals who desisted crime compared to violent group

fear conditioning and coscience
- 4 influential people
- conscious is a set of classically conditioned emotional responses and socialization involves aversive conditioning and instrumental learning

association of poor childhood fear conditioning and adult crime
- children recruited at age 3 and had fear conditioning paradigm
- measured skin conductance through experiment
- 20 years later same ppts as young adults
- 137 of them criminal matched with controls and found criminal offenders showed reduced electrodermal fear conditioning at age 3 than controls

amygdala: fear conditioning- double dissocation
bechara et al. (1995)
- patient with amygdala damage failed to fear condition to aversive stimuli but could report the facts about the conditioning experience
- patient with hippocampal damage acquired fear response but had no explicit memory of the conditioning
- fear conditioning depends on amygdala
- memory of the event depends on hippocampus
- double dissociation bcz 2 seperate functions have 2 separate neural systems

insula/insular cortex
- located deep within the lateral fissure between temporal and frontal lobe
- insula may be crucial region involved in interoception (perception of bodily changes)
- involved in emotional processes: recognition (Clder et al., 2001), experience (Simmons et al. 2004) & empathy (Carr et al., 2003)

insula and interoception
Critchley et al. (2004)
- healthy individuals in MRI machine and count their heart beat
- the more activation in insula= better heart beat detection task
- and performance on task was associated with grey matter volume in insula
- insula importance in introspection and ANS

fear conditioning in psychopathy
Niels et al. (2005)
- did fMRI & skin conductance & self report
- recruited criminals from prison with psychopathy
- used aversive conditioning paradigm (painful stimulation when mustache man showed)
RESULTS=
- no difference in contingency rating (psychopaths cognitively normal)
- controls valance changes for the guy presented with painful stimulation but for psychopaths there is no difference between the valence for the 2 guys
- controls and psychopaths arousal guys up with moustache guy presented
- controls skin conductance increased during association learning but psychopaths stay the same
- controls show bilateral insula, mygdala, PFC, anterior cingulate cortex activation during assocation learning
- but not in psychopaths, the idea that psychopathy is associated with cold detached processing (they know the words but dont know the music)

is there a difference in fear conditioning in childhood onset vs adolescent onset and gender?
Fairchild et al.
- ppts three groups: control, childhood onset, adolescent onet
- aversive classical conditioning paradigm
- both of the ASB groups had problem generating skin conductance response (Moffitt argued only childhood group will)
- same finding in females, they also have less SCR

fear potentiated startle reflex
- measure of autonomic nervous system
- seen in non human animals also, non-conscious reflex in response to sudden or threatening stimulus
- direct index of ANS response, advantages over SCR and HR
- individuals wear headphones and present them with pictures, some pictures have very sudden white noise and vary the valance and level of arousal of the pictures
- measure eyeblink response by recording electrical activity in the orbicularis oculi muscle

advantages of the startle reflex
- ubiquitous, cross-species response to abrupt and intense stimulation
- allows for specific hypothesis testing and generalisability of results bcz startle reflex neurobiology is well understood
- automatic measure, cant intentionally control
- unlike other ANS measures, it distinguishes between arousal and valence e.g. scared arousal (increase startle reflex) vs sexual arousal (decrease startle reflex)

emotional manipulation
- pleasant, neutral and unpleasant pictures from the IAPS (international affective picture system)
- used in startle reflex task
- 2 axes: pleasure and arousal
- startle increased for unpleasant pictures and decreased for pleasant pictures

neural circuits mediating the fear-potentiated startle reflex
- modulated by the amygdala

psychopathy and the fear enhanced startle reflex
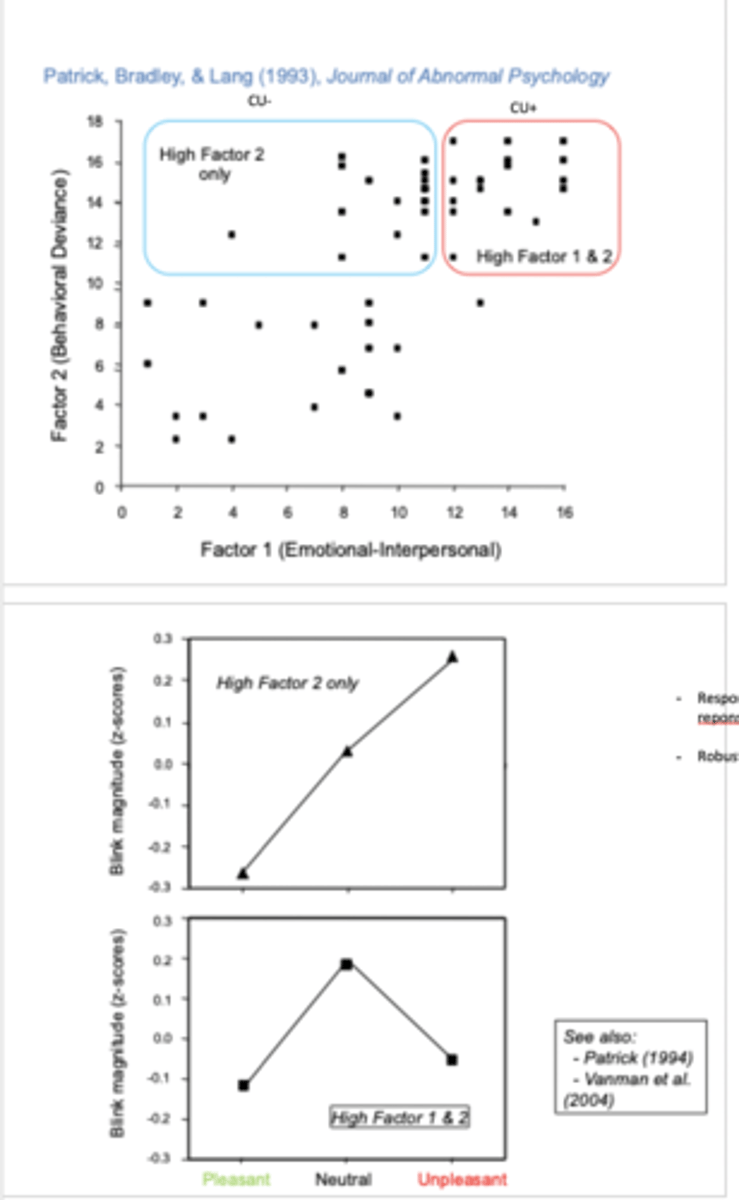
Partick et al. (1993)
- 54 male prisoners
- shown 3 slides: pleasant, neutral, unpleasant
- loud tone played during presentation
- divided ppts using PCLR into higher factor 2= CU- (antisocial deviance feature of psychopathy) or high factor 1 and 2= CU+ (high on affective interpersonal features and antisocial)
- found that response to unpleasant stimuli is specific to CU+ (emotional deficits) but less on high factor 2 (CU-)
