1/48
rpIs TEORIA
Name | Mastery | Learn | Test | Matching | Spaced | Call with Kai |
|---|
No analytics yet
Send a link to your students to track their progress
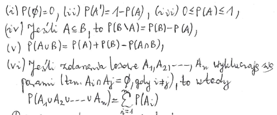
1.1 - Aksjomaty prawdopodobieństwa

1.2 - Wynikające z aksjomatów własności prawdopodobieństwa

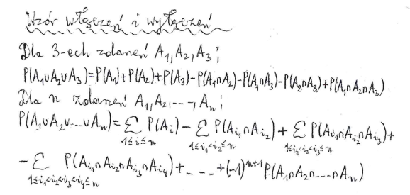
2 - Wzór włączeń i wyłączeń

3 - Wzór łańcuchowy

4 - Twierdzenie o prawdopodobieństwie całkowitym, wraz z założeniami

5 - Twierdzenie (wzór) Bayesa, wraz z założeniami

6.1 - Definicja niezależności dwóch zdarzeń

6.2 - Definicja niezależności n zdarzeń

7.1 - Schemat Bernoulliego – jego określenie

7.2 - Schemat Bernoulliego – wzór na prawdopodobieństwo liczby sukcesów

8.1 - Definicja dystrybuanty jednowymiarowej zmiennej losowej (dla typu dyskretnego)

8.2 - Definicja dystrybuanty jednowymiarowej zmiennej losowej (dla typu ciągłego)

9.1 - Definicja gęstości jednowymiarowej zmiennej losowej typu ciągłego
w wykladach dudiego nawet nie ma żadnej definicji

9.2 - Własności gęstości jednowymiarowej zmiennej losowej typu ciągłego

10 - Zapisywanie wzorów na prawdopodobieństwo P(a < X < b) (itp.) za pomocą dystrybuanty oraz za pomocą gęstości (to drugie - w przypadku zmiennej losowej typu ciągłego)

11 - Wzory na wartość oczekiwaną zmiennej losowej (dla zmiennych losowych typu dyskretnego i ciągłego)

12 - Własności wartości oczekiwanej zmiennej losowej

13 - Wzory na wariancję zmiennej losowej (dla zmiennych losowych typu dyskretnego i ciągłego)
w plikach wykładowych nie ma innego wzoru na wariancję więc mam nadzieję że ten wystarczy

14 - Własności wariancji zmiennej losowej

15 - Interpretacje wariancji oraz odchylenia standardowego zmiennej losowej
odchylenie standardowe: Wartość zmiennej losowej X różni się w sensie średnim od wartości oczekiwanej zmiennej losowej X o wartość (…)
wariancja: Wartość zmiennej losowej X różni się w sensie średniokwadratowym od wartości oczekiwanej zmiennej losowej X o wartość (…)
16 - Wzory na momenty zwykłe oraz momenty centralne zmiennej losowej (dla zmiennych losowych typu dyskretnego i ciągłego)

17 - Wzory na kwantyle zmiennej losowej (dla zmiennych losowych typu dyskretnego i ciągłego)

18 - Wzory na medianę zmiennej losowej (dla zmiennych losowych typu dyskretnego i ciągłego)

19.1 - Przykłady ważniejszych zmiennych losowych typu dyskretnego (wraz z odpowiednimi wzorami określającymi te rozkłady)

19.2 - Przykłady ważniejszych zmiennych losowych typu ciągłego (wraz z odpowiednimi wzorami określającymi te rozkłady)

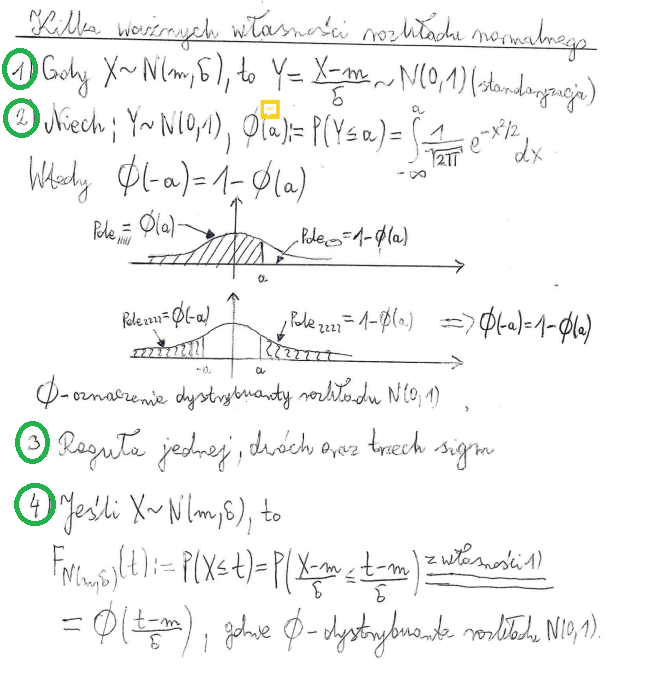
20 - Własności rozkładu normalnego

21 - Reguły jednej, dwóch oraz trzech sigm

22 - Przybliżenie rozkładu dwumianowego rozkładem Poissona

23 - Dwuwymiarowe zmienne losowe typu dyskretnego – ich rozkład łączny oraz rozkłady brzegowe
no takie coś mniej więcej

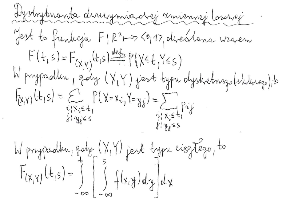
24 - Wzory na dystrybuantę dwuwymiarowej zmiennej losowej (dla zmiennych losowych typu dyskretnego i ciągłego)

25 - Wzory na gęstości brzegowe oraz interpretacja gęstości brzegowych
Interpretacyjnie, gęstość brzegowa pokazuje jak zachowuje się pojedyncza zmienna, niezależnie od drugiej, eliminując jej wpływ przez sumowanie (całkowanie).

26 - Niezależność zmiennych losowych (dla typu dyskretnego i ciągłego)

27 - Centralne Twierdzenie Graniczne (CTG) w postaci ogólnej

28 - Twierdzenie de Moivre’a-Laplace’a jako szczególny przypadek CTG

29 - Wnioski z Twierdzenia de Moivre’a-Laplace’a

30 - Definicja kowariancji zmiennych losowych
Nie ma tego w żadnym pliku wykładowym dudzinski cwelu jebany ani jednego slowa o kowariancji

31 - Pojęcie próby losowej

32 - Pojęcie statystyki z próby

33 - Pojęcie estymatora

34 - Definicja przedziału ufności

35 - Czym różni się przedział ufności od realizacji przedziału ufności

36 - Definicje błędów, jakie można popełnić przy weryfikacji hipotez statystycznych

37 - Definicja poziomu istotności testu
Poziom istotności testu (oznaczany najczęściej przez alfa) to prawdopodobieństwo popełnienia błędu I rodzaju, czyli odrzucenia hipotezy zerowej, gdy jest ona w rzeczywistości prawdziwa.
38 - Definicja mocy testu
Moc testu (oznaczany najczęściej przez 1 - beta) jest to prawdopodobieństwo niepopełnienia błędu II rodzaju, czyli prawdopodobieństwo odrzucenia fałszywej hipotezy zerowej
39 - Czym różni się średnia empiryczna od średniej globalnej?
fun fact: w plikach wykładowych nigdy nie pojawia się słowo “empiryczna”

40 - Co badają testy chi-kwadrat?
w skrócie zgodność i niezależność
