1/29
Looks like no tags are added yet.
Name | Mastery | Learn | Test | Matching | Spaced |
|---|
No study sessions yet.
Submatrix

Partitioned matrix
Partitioned matrix
Matrix Addition and Multiplication

Block matrices
can be a convenient tool to compute the inverse of a matrix or confirm the inverse does not exist:

Kronecker products
Right Kronecker product

Kronecker products
Left Kronecker product

Linear Basis Transformations

Linear Basis Transformations
Example

Transformation Theorem

Transformation Theorem
What’s P?

Transformation Theorem
Example

Singular Value Decomposition
Understanding linear basis transformations helps to understand one of the main results of this course: the singular value decomposition

Singular Value Decomposition
Following concepts to simplify discussion:

Singular Value Decomposition
The following results help us prove the singular value decomposition theorem:

Singular Value Decomposition

Singular Value Decomposition
Remark

How can we conveniently perform an SVD?

Performing SVD
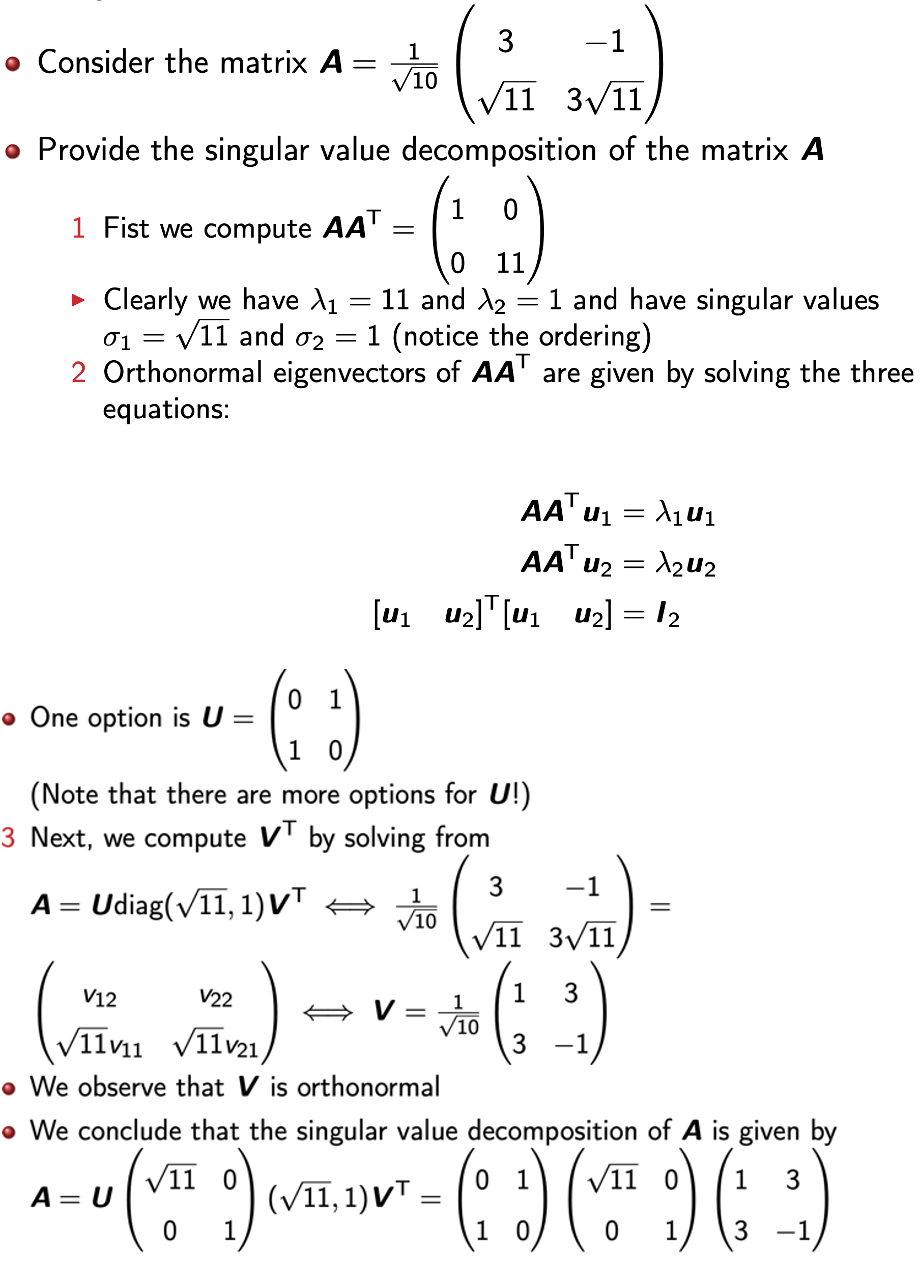
Example

One-sided and generalized inverses

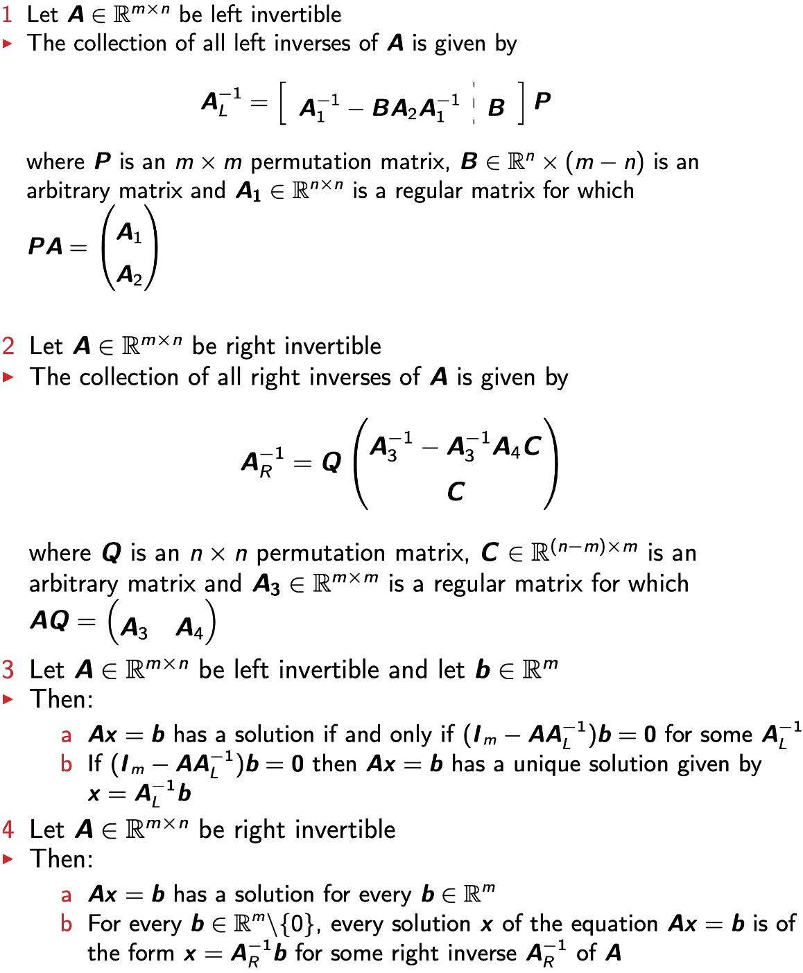
One sided inverses

One sided inverses
Remark

One sided inverses
We consider several useful results:

One sided inverses
Example

One-sided inverses generalize the concept of inverses we were familiar with, however

Generalized inverses

Generalized inverses
Two properties

Generalized inverses
Example

The Moore-Penrose inverse

The Moore-Penrose inverse
Properties and use

The Moore-Penrose inverse
Example
