Correlations

0.0(0)
studied byStudied by 0 people
full-widthCall with Kai
GameKnowt Play
learnLearn
examPractice Test
spaced repetitionSpaced Repetition
heart puzzleMatch
flashcardsFlashcards
Card Sorting

1/18

encourage image

There's no tags or description

Looks like no tags are added yet.

Study Analytics
Name
Mastery
Learn
Test
Matching
Spaced

No study sessions yet.

19 Terms

1
New cards

Correlation

  • how two variables covary in relation to each other

    • how they move together/vary together

  • standardized covariance

  • the value of r can range between -1 and +1

    • - = move in opposite directions

    • + = move in the same directions

  • if r = 0 — there is no linear relationship between the two variables

  • the closer r is to ± 1, the stronger the relationship

  • if r = ±1 — there is a perfect linear relationship between the variables

2
New cards

Deviation from the Mean

  • Observation - mean = distance of the observation from the mean

3
New cards

Two ways to define correlation coefficient

  • z scores

  • covariation

4
New cards
<p>z scores</p>

z scores

  • z = 0 — score = mean

  • z > 0 — score ≠ mean

  • z = 1 — score = 1 SD from mean

  • z = 1 — score = 2 SD from mean

5
New cards
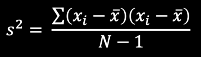
<p>Variance Formula</p>

Variance Formula

6
New cards
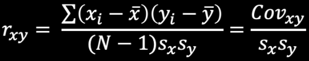
<p>Covariance Formula</p>

Covariance Formula

7
New cards

Coefficient Determination

  • r2 indicates the percent of the variability in y that is accounted for by the variability in x

8
New cards

Model

  • variability in scores that we can account for

9
New cards

Error

  • variability in scores that we cannot account for

10
New cards
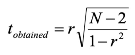
<p>t obtained formula</p>

t obtained formula

11
New cards

Steps in Finding Correlation

  1. create H0 and H1

  2. set parameters (find critical t)

  3. calculate t obtained

  4. compare critical t and t obtained

  5. find p-values in SPSS

12
New cards

Steps in Finding Confidence Intervals

  1. convert Pearson’s r to z score

  2. compute a confidence interval for z score

  3. convert z score back to Pearson’s r

13
New cards

Calculating Confidence Intervals

  • CI = value ± (z critical (SE))

14
New cards
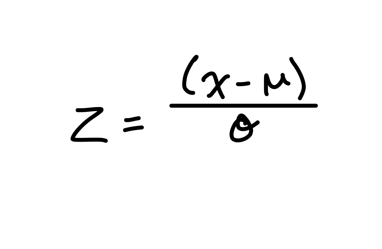
<p>Standardization Formula</p>

Standardization Formula

15
New cards

Reliability

  • in research, the term reliability means “repeatability” or “consistency”

  • a measure is considered reliable if it would give us the same result over and over again (assuming that we are measuring isn’t changing!)

16
New cards

Internal Consistency Reliability

  • AKA “coefficient alpha”, “Cronbach’s alpha”, “reliability coefficient”

  • judge the reliability of an instrument by estimating how well the items that reflect the same construct yield similar results

  • looks at how consistent the results are for different items for the same construct within the scale

    • questionnaires often have multiple questions dedicated to each factor (some need to be reverse coded)

17
New cards

Purpose of Internal Consistency Reliability

  • used to assess the consistency of results across items within a test

  • how well do the items “hang” together?

  • typically, a reliability analysis is done on items that make up a single scale (items all supposed to measure roughly the same construct) — founded on correlations of items

18
New cards

Reliability Coefficients

  • range from 0-1.00 with higher scores indicating the scales is more internally consistent

  • generally, reliabilities above .70 are considered acceptable for research purposes

  • reliability analyses are carried out on items AFTER recoding (reverse coding)

19
New cards

Validity

  • is the test measuring what it claims to measure