1/11
Looks like no tags are added yet.
Name | Mastery | Learn | Test | Matching | Spaced |
|---|
No study sessions yet.
sin(A+B)
sinAcosB+cosAsinB
sin(A-B)
sinAcosB-cosAsinB
cos(A+B)
cosAcosB-sinAsinB
cos(A-B)
cosAcosB+sinAsinB
tan(A+B)

tan(A-B)

sin(2A)
2sinAcosA
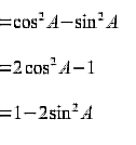
cos(2A)

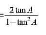
tan(2A)






