1/67
Looks like no tags are added yet.
Name | Mastery | Learn | Test | Matching | Spaced |
|---|
No study sessions yet.

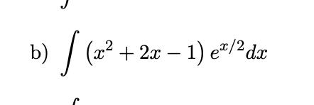
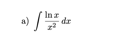
IBP

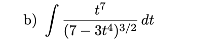
IBP

IBP

IBP

IBP

IBP

IBP

IBP

practice this one
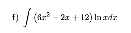
IBP

IBP

IBP

IBP

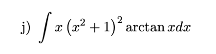
IBP

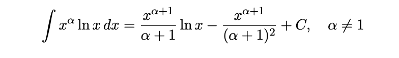
DEDUCE FORMULA
IBP

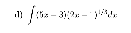
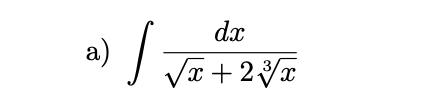
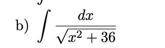
SUB

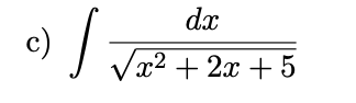
SUB

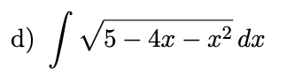
SUB

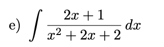
SUB

SUB

SUB

SUB

SUB

SUB

SUB

SUB

SUB

SUB

SUB

SUB

SUB

SUB

SUB

SUB

SUB

SUB

SUB

SUB

SUB

SUB

SUB

SUB

SUB

























