Orgo 2 Test 2 reactions

0.0(0)
studied byStudied by 1 person
0.0(0)
full-widthCall with Kai
GameKnowt Play
New
learnLearn
examPractice Test
spaced repetitionSpaced Repetition
heart puzzleMatch
flashcardsFlashcards
Card Sorting

1/48

encourage image

There's no tags or description

Looks like no tags are added yet.

Study Analytics
Name
Mastery
Learn
Test
Matching
Spaced

No study sessions yet.

49 Terms

1
New cards

Acid Catalyzed condesation of alchohols (+ mech)

2
New cards

Prepare ethers by adding alkoxides to primary or methyl alkyl halides. (Williamson ether synthesis)

3
New cards

Alkoxymeruration alkene

4
New cards

acid-catalyzed cleavage of ethers by excess HBr or HI

5
New cards

Claisen Rearrangement

6
New cards

Alkene with peroxyacid (mCBPA).

7
New cards

Provide products and mechanisms for the reaction of vicinal halohydrins in base to form epoxides

8
New cards

Provide products for nucleophilic ring-opening reactions of epoxides involving either anionic nucleophiles or acid-catalyzed reactions of neutral nucleophiles.

9
New cards

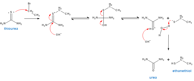
Provide missing reagents, products, and a mechanism for the synthesis of thiols by the alkylation and hydrolysis of thiourea.

10
New cards

Provide products of the reaction between an alkane thiolate and an alkyl halide. (SN2)

11
New cards

Provide products or missing reagents for the oxidation of thiols to disulfides using iodine and the reverse reduction using sodium borohydride or zinc/acid.

12
New cards

Synthesize aldehydes from primary alcohols, from alkenes, or from esters

13
New cards

Synthesize ketones by oxidation of secondary alcohols, from the ozonation of alkenes, by addition of water to an alkyne , or from the reaction of an acid chloride and a cuprate

14
New cards

Provide products or missing reagents (but not a mechanism) for the oxidation of aldehydes to carboxylic acids.

15
New cards

Provide products and mechanism for hydration of aldehydes and ketones under either acidic or basic conditions

16
New cards

Provide products and a mechanism for the addition of HCN to an aldehyde or ketone to form a cyanohydrin

17
New cards

Provide products for the reduction of a cyanohydrin to yield a vicinal aminoalcohol.

18
New cards

Provide products and mechanism for the formation of imines from aldehyde or ketone plus primary amine.

(NO BASE)

19
New cards

Provide a product and mechanism for the formation of enamines from aldehyde or ketone plus secondary amine.

20
New cards

aldehydes and ketones with

hydroxylamine

21
New cards

aldehydes and ketones with

hydazine

22
New cards

aldehydes and ketones with

phenolhydrazine

23
New cards

aldehydes and ketones with

semicarbazide

24
New cards

Wolff-Kishner

25
New cards

Provide products and mechanism for the acid-catalyzed formation of acetals (from aldehydes or ketones.)

26
New cards

 Provide products and mechanisms for the conversion of acetals to aldehydes or ketones

27
New cards

Use acetals as protecting groups for synthetic schemes

28
New cards

Synthesize phosphorus ylides from alkyl halides (NBuLi to make it + and -)

29
New cards

Synthesize alkenes using the Wittig reaction of a phosphorus ylide with an aldehyde or ketone.

30
New cards

carbox acid by oxidation primary alc

Strong oxidizer KMNO4 or H2CrO4

31
New cards

carbox by oxididation aldehyde

Na2Cr2O7/H2SO4, KMnO4, CrO4, Tollens’ (Ag), Benedict Reagent (Cu) specifically for aldehyde to carboxylic acid, won’t do OH

32
New cards

Cabrox by ox of benzene C-H

33
New cards

reaction of Grignard, organolithium, or organosodium reagents with CO2 

34
New cards

acid catalyzed hydrolysis of a nitrile.

35
New cards

Ozonation of an alkene followed by an oxidative workup will yield ___

36
New cards

Provide a synthesis and mechanism (SN2) for nitriles from methyl or primary alkyl halides + KCN.

37
New cards

 Provide products or missing reagents for the dehydration of amides to nitriles upon addition of SOCl2 or P4O10 or POCl3.

38
New cards

Provide products, missing reagents, or a mechanism for the dehydration of primary amides to nitriles upon addition of SOCl2.

39
New cards

Provide products and a mechanism for the reaction of a nitrile with a Grignard followed by an aqueous acidic workup

40
New cards

Provide products and a mechanism for the reduction of nitriles by the addition of LiAlH4.

41
New cards

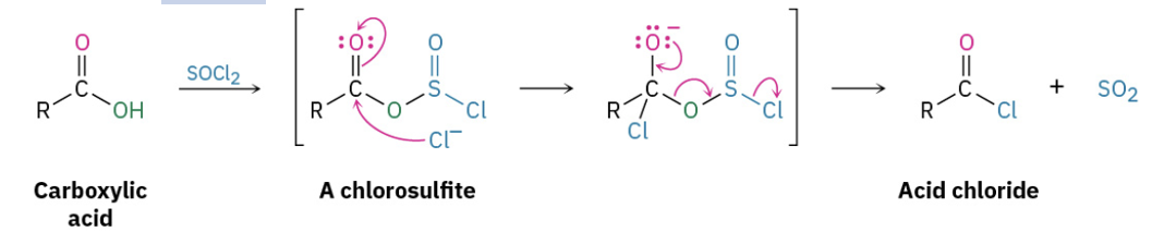
carboxylic acids and SOCl2 or PCl3. (21.3)

42
New cards

Interconvert between the carboxylic acid derivatives (table)

43
New cards

Provide products and a mechanism for the conversion of carboxylic acids + amines to amides using DCC.

44
New cards

Provide complete electron-pushing mechanisms for any of the carboxylic acid derivative conversions.

show it

45
New cards

Provide products or missing reagents for the reduction of carboxylic acids to _____upon addition of BH3. (the fastest reducer)

46
New cards

Provide products and a mechanism for the reaction of 2 equivalents of organolithium, organosodium, or Grignard reagents to an acid chloride

47
New cards

Provide the products of the reaction of 1 eq. DIBAL (= DIBAH), cold, with an ester AND to an amide

48
New cards

Provide products and a mechanism for the reduction of amides by LiAlH4. (C=O becomes CH2.)

49
New cards

Provide the products (but not a mechanism) for the addition of an organocuprate to acid chloride