1/34
Continuity and epsilon, delta limit def, limits of function
Name | Mastery | Learn | Test | Matching | Spaced | Call with Kai |
|---|
No analytics yet
Send a link to your students to track their progress
Epsilon, delta limit definition

Epsilon, delta continuity

Definition of uniform continuity

Uniform continuity vs. regular continuity
Pointwise continuity can be used to determine if the function is continuous at a point.
Uniform continuity can be used to determine if the function is continuous over an entire field or interval.

Thrm 19.2: If f is continuous on [a,b] then ___________________
Then f is uniformly continuous on [a,b]
(If a function is continuous on a closed interval then it is uniformly continuous on a closed interval)
(This is not true on an open interval since on an open interval the function may approach positive/negative infinity at a/b.)
Thrm 19.4: Let f be uniformly continuous on the set S. Then if (sn) is a cauchy sequence in S, then f(sn) ____________
Is a cauchy sequence.
(When testing if f(sn) is cauchy remember all cauchy sequences are convergent and every convergent sequence is cauchy)
Method to show that a function is not uniformly continuous on an interval using them 19.4
Think of a cauchy sequence that that converges to a number outside the interval/set.
Plug into f(sn) and simplify.
Show that f(sn) does not converge and is hence not cauchy.
What does the definition of uniform continuity mean intuitively?
"If two input numbers (x and y) are within some distance δ of each other, then their outputs f(x) and f(y) will be within ε of each other”
If f is continuous on (-3,3) but not continuous on [3,-3] is it uniformly continuous on (-3,3)
No, for a function to be uniformly continuous on an interval it must be continuous on the both closed and open interval.
(If it’s not then you know the function is not uniformly continuous which will make it easier to prove the function isn’t UC using 19.4 since you know to look for a cauchy sequence that will make f(sn) not cauchy)
Stratagey on how to find a cauchy sequence that will make f(sn) not cauchy?
(for when you are using them 19.4 . to prove a function is not UC on an interval)
Find boundary points where f becomes unbounded
Construct sequence approaching that boundary:

Let I be an open interval containing a and let f be defined on I (except for possibly at a) Then
limf(x) = L as x approaches a iff
The RHS limit = LHS limit


Complete the definition for the two sided case.


What would you replace 0<abs(x-s) < delta with for the LHS limit


What would you replace 0<abs(x-s) < delta with for the RHS limit

Finish the thrm:
F is continuous at a iff for every sequence (Xn) in dom (f) with lim Xn = a (as n → infinity)
lim (f(Xn)) = f(a) (as the limit approaches infinity)

Finish the thrm:
Let f be a function. Let a be in dom(f). Then f is continuous at a iff
lim(f(x) = f(a) (as x approaches a)
When is f continuous on a set S?
IF the function f is continuous at each a in S

What is important to remember about this thrm?
a must be in dom(f)
(Thrm 17.3/17.4) What are the 5 rules for combos of continuous functions?

Let f be contious on a closed interval [a,b] then ____________________
f is bounded on [a,b]
f will reach a min and max somewhere within the interval
Intermediate value thrm?
If f is a continuous real valued function on an interval I with a and b in I. Whenever a<b and y is between f(a) and f(b) there exists some x in (a,b) such that f(x) = y.
(y is all y values between a and b)
What thrm would you use to solve the question:
does x³ + x² + 1 = 0 have a solution?
Intermediate value theorem. (IVT)
(Find two x values a and b (a<b) that produce two y values with zero in between the m because that means the function must be continuous when y = 0)
What condition must hold to use the intermediate value theorem?
f must be continuous on the interval (a,b)

Continuity thrm for composite functions
(fog) is continous at Xo if both f and g are continous at Xo.

What changes about this definition if the function approaches negative infinity?
M < 0 not M > 0
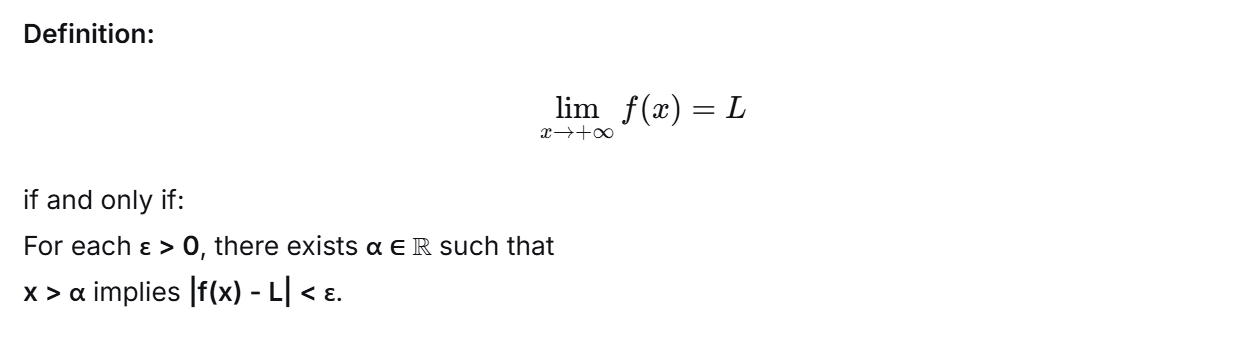
Definition for the limit of a function as x→ + infinity where the function approaches a finite limit

Definition for the limit of a function as x→ + infinity where the function approaches - infinity

Definition for the limit of a function as x→ + infinity where the function approaches + infinity

What changes about the limit at infinity definition for a limit approaching NEGATIVE infinity?
x > alpha turns to x < alpha


Finish the definition

One sided limit def (RHS)

One sided limit def (LHS)

What is the difference between the regular epsilon delta limit definition and one sided defintions?
In the regular definition the delta condition: 0< abs(x-a) < delta (this means that x is within a of delta from both sides)
In the RS definition you get rid of the absolute values around (x-a) to make [0< (x-a) < delta] so it implies x is within delta of a when approached from the right side only.
The LS definition of the delta condition is [-delta < (x-a) < 0] this implies that x is within a delta when approached from the left side only.
What are the three variations of the epsilon/delta limit definition?
Apoaching finite number x from rs/ls/both sides where limit is also finite.(3 cases depending on what side x is approaching from)
Approaching finite number x from rs/ls/both sides but the limit is infinity. (3 cases depending on what side x is approaching from)
Approaching -/+ infinity x the limit is finite, + or - infinity. (3 sub cases depending on limit type)
Summary:
Finite point, Finite Limit.
Finite point, infinite limit
Infinite point, finite or infinite limit

What are the two criteria for this to be true?
