1/51
Looks like no tags are added yet.
Name | Mastery | Learn | Test | Matching | Spaced | Call with Kai |
|---|
No analytics yet
Send a link to your students to track their progress
Hereditary information (with the exception of some viruses) is preserved in:
Deoxyribonucleic acid
Accurate folding of a protein does NOT depend on:
Binding to DNA

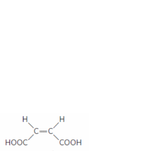
What is the correct name for the configuration of the molecule shown?
Cis
Which statement is NOT true about the formation of early organisms?
Oxygen, a powerful oxidant, was probably welcomed by anaerobic organisms as a preferable choice for metabolic reactions
Enzymes are biological catalysts that enhance the rate of a reaction by:
Decreasing the activation energy

Which ranking correctly describes the rigidity of the red bond (the central bond) shown in the figure?
4 = most rigid, 3 = least rigid
When Stanley Miller, in Harold Urey's laboratory, subjected a gaseous mixture mimicking the prebiotic atmosphere on Earth to electrical sparks, he found that were formed.
Both amino acids and aldehydes
In the theory for the origin of life that was tested by Miller and Urey, the prebiotic atmosphere was presumed to:
Have an abundance of methane, ammonia, hydrogen, and water.
An increase in the entropy of a system can be described as an increase in the total amount of of a system.
Disorder
Which statement about living systems is NOT true?
Living systems are in equilibrium with their surroundings
The of homologous proteins or genes can be used to estimate the degree of evolutionary relatedness.
Sequence similarity
The typical three-dimensional structure of a protein in a cell, or conformation, is critical to a protein's function.
Native
The sum of all the proteins functioning in a cell is the:
Proteome
Which discipline uses an approach that tries to understand complex interactions among intermediates and pathways in quantitative terms?
Systems biology
The enzyme fumarase catalyzes the reversible hydration of fumaric acid to L-malate, but it will not catalyze the hydration of maleic acid, which is the cis isomer of fumaric acid. This is an example of:
Stereospecificity
If a scientist wanted to know whether a particular hydrocarbon was in use in a cell's plasma membrane, they could search the organism's:
Lipidome
If an organism is a facultative anaerobe, which statement is true?
The organism does not require oxygen to live but will not die if exposed to oxygen
Which is NOT found in both animal and plant cells?
Vacuole
Which statement is true about genetic mutations?
All of the statements are true
Which list has the cellular components arranged in order of increasing size?
nucleotide < DNA < chromatin < nucleus
Which element is NOT among the four most abundant in living organisms?
Phosphorus
Which is NOT a property of living organisms?
Conversion of energy into matter
Which is the major feature that distinguishes eukaryotes from Bacteria and Archaea?
The nucleus
Reaction 1 has a ΔG° of –12.3 kJ/mol, and reaction 2 has a ΔG° of –23.4 kJ/mol. Which statement is true of these two reactions?
It is impossible to know which reaction occurs faster with this information.
Which organelle probably originated as an endosymbiotic engulfing of an aerobic bacterium by a eukaryotic cell?
Mitochondrion
In a bacterial cell, the DNA is in the:
Nucleoid
Pathways large molecules, energy.
Catabolic; break down; releasing

Which statement correctly describes the molecules shown?
A and D are enantiomers, and B and C are enantiomers.
Which method is the MOST versatile for separating subcellular components of tissue into fractions containing things ranging from large (e.g., whole cells) to small (e.g., ribosomes)?
Centrifugation
When two genes share detectable sequence similarity, those genes or their gene products, are said to be:
Homologs
Which statement is NOT true regarding the plasma membrane?
The individual lipids and proteins of the plasma membrane are covalently linked.
Which factor can be changed without breaking covalent bonds?
Conformation
Stereoisomers that are nonsuperimposable mirror images of each other are known as:
Enantiomers
Which statement is true when Keq >> 1?
ΔG° is large and negative
Which is true about a racemic mixture?
It has no optical rotation
Which group of single-celled microorganisms has many members found growing in extreme environments?
Archaea
The joining of two amino acids via a peptide bond (the process of protein synthesis) has a positive ΔG value. What does this imply?
Forming a peptide bond is endergonic and must be coupled to another reaction.
Which reason is MOST probable for why carbon is the main element used in living organisms?
Carbon has a great capacity to make substances of widely different sizes, shapes, and composition.
Organisms that derive energy from the oxidation of chemical fuels and require organic compounds as sources of carbon are classified as:
Chemoheterotrophs
Which choice correctly lists the molecular masses from smallest to largest?
1.8 mDa < 15,000 Da < 15,100 amu < 18 kDa < 1.8 MDa

What functional groups are present on this molecule?
Hydroxyl and aldehyde
The macromolecules that serve in the storage and transmission of genetic information are:
Nucleic acids
Which statement is true regarding energy sources used by organisms?
Phototrophs can use carbon dioxide as a carbon source.
In double-stranded DNA, the two polynucleotide strands are held together by bonds.
Hydrogen
In supramolecular complexes, macromolecules are held primarily through noncovalent interactions. Which one is NOT considered a noncovalent interaction?
Carbon–carbon bonds
When energy is used by a system, can it be "used up"?
No, energy can be converted into kinetic and potential energy.
The four covalent bonds in methane (CH4) are arranged around carbon to give which geometry?
Tetrahedral
Which does NOT contain a double membrane?
Ribosome
Which present-day observable piece of evidence supports the RNA world hypothesis?
RNA molecules participate in biologically significant reactions, RNA can serve as an information- carrying molecule, and RNA nucleotides catalyze peptide bond formation
In eukaryotes, the nucleus is enclosed by a double membrane called the:
Nuclear envelope
Jacques Monod wrote, "What is true of E. coli is true of the elephant." What did he mean?
Bacterial cells contain enzymes similar to those found in animal cells.