Carbohydrate Metabolism

0.0(0)
studied byStudied by 0 people
full-widthCall with Kai
GameKnowt Play
learnLearn
examPractice Test
spaced repetitionSpaced Repetition
heart puzzleMatch
flashcardsFlashcards
Card Sorting

1/46

encourage image

There's no tags or description

Looks like no tags are added yet.

Study Analytics
Name
Mastery
Learn
Test
Matching
Spaced

No study sessions yet.

47 Terms

1
New cards

Classification of Carbohydrates:

  1. Size of base carbon chain: triose (3 carbons), tetrose (4), pentose (5), hexose (6)

  2. Location of CO Function group

    1. Aldose: terminal carbonyl group (aldehyde group)

    2. Ketose: Carbonyl group in the middle, linked to 2 other carbon atoms (ketone group)

  3. Stereochemistry of compound

    1. Different spacial arrangements around each asymmetric

      carbon, forming stereoisomerscarbon, forming stereoisomers

    2. Two different series are possible: D and L.

  4. Number of sugar units in chain

    1. Monosaccharides: 1 unit (glucose, fructose, galactose)

    2. Disaccharides: 2 units (maltose, lactose, sucrose)

    3. Polysaccharides: >10 units (starch [glucose], glycogen)

2
New cards

Stereochemistry of compound:

  • Different spatial arrangements around each asymmetric carbon, forming steroisomers

  • Two different series are possible: D and L

3
New cards

Number of sugar units in chain:

  • Monosaccharides: 1 unit (glucose, fructose, galactose)

  • Disaccharides: 2 units (maltose, lactose, sucrose)

  • Polysaccharides: >10 units (starch [glucose], glycogen)

4
New cards

Size of base carbon chain:

  • Triose (3 carbons), Tetrose (4), Pentose (5), hexose (6)

5
New cards

Location of CO function group:

  • Aldose

    • Terminal carbonyl group (aldehyde group)

  • Ketose

    • Carbonyl group in middle, linked to 2 other carbon atoms (ketone group)

6
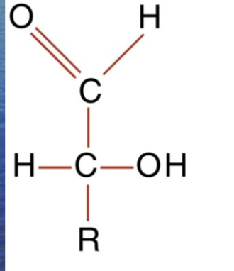
New cards
term image
  • Aldose

7
New cards
term image
  • Ketose

8
New cards
term image
  • Two forms of carbohydrates

9
New cards

Chemical properties of Carbohydrates: Reducing carbohydrates:

  • Carbohydrate must have ketone or aldehyde group

  • All monosaccharide & disaccharides = reducing agents

  • Examples: glucose, maltose, fructose, lactose, galactose

10
New cards

Chemical properties of Carbohydrates: Nonreducing carbohydrates:

  • Do not have ketone or aldehyde group & will not reduce

11
New cards

Glucose metabolism:

  • Primary source of energy for humans; nervous system totally depends on glucose from extracellular fluid

12
New cards

Fate of glucose:

  • Most ingested carbohydrates are polymers (starch, glycogen)

  • These are converted to disaccharides, & disaccharides are converted to monosaccharides by enzymes

  • Monosaccharides are absorbed by the gut & transported to liver

  • THE ONLY CARBOHYDRATE DIRECTLY USED FOR ENERGY OR STORED AS GLYCOGEN;GALACTOSE & FRUCTOSE MUST BE CONVERTED TO GLUCOSE

  • Once glucose enters cell, it is shunted into 1 of 3 metabolic pathways

  • ULTIMATE GOAL OF THE CELL IS TO CONVERT GLUCOSE TO CARBON DIOXIDE AND WATER

13
New cards

Regulation of Carbohydrate Metabolism:

  • Liver, pancreas & other endocrine glands control blood glucose concentrations within a narrow range

14
New cards

Hormones that control glucose levels (gl):

  • Insulin: from pancreas; decreases glucose

  • Glucagon: from pancreas: increases glucose

  • Epinephrine & glucocorticoids: from adrenal gland: increases glucose

  • Growth hormone & ACTH: from anterior pituitary: increases glucose

  • Thyroxine (thyroid gland) & somatostatin (pancreas): increases glucose

  • Will be question asking which one is NOT one that increases glucose levels

15
New cards

Hyperglycemia:

  • An increase plasma glucose levels caused by imbalance of hormones

16
New cards

Diabetes Mellitus:

  • A group of metabolic diseases characterized by hyperglycemia resulting from defects in insulin secretion, insulin action, or both

17
New cards

Type 1 Diabetes Mellitus:

  • Results from cellular-mediated autoimmune destruction of beta cells of pancreas, causing absolute deficiency of insulin

  • Constitutes 10-20% of all diabetes cases; occurs in childhood & adolescence and is genetic/hereditary

18
New cards

Type 2 Diabetes Mellitus:

  • Characterized by hyperglycemia caused by an individual’s resistance to insulin, resulting in a relative insulin deficiency

  • Constitutes majority of diabetes cases & is adult onset

  • Risk factors include age, obesity, lack of exercise, genetic predisposition

19
New cards

Other specific types of diabetes mellitus:

  • Associated with genetic defects of beta cell function or insulin action, pancreatic/endocrine diseases, etc.

20
New cards

Gestational diabetes mellitus:

  • Glucose intolerance with onset during pregnancy

21
New cards

Pathophysiology of Diabetes Mellitus:

  • Hyperglycemia, possibly severe

  • Glucosuria can occur after renal tubular transporter system for glucose becomes saturated

22
New cards

Pathophysiology of Diabetes Mellitus: Type 1:

  • Absence of insulin with excess of glucagon

  • Greater tendency to produce ketones

23
New cards

Pathophysiology of Diabetes Mellitus: Type 2:

  • Presence of insulin & hyperinsulinemia, attenuated glucagon

  • Greater tendency to develop hyperosmolar nonketotic states

24
New cards

Criteria for Testing for Pre-Diabetes and Diabetes:

  • All adults >45 years old should have fasting blood glucose measured every 3 years, unless already diagnosed with diabetes

25
New cards

Testing of glucose should be earlier or more frequent with these risk factors:

  • Overweight tendencies (BMI greater than or equal to 25 kg/m²)

  • Habitual physical inactivity

  • Family history of diabetes in a first-degree relative

  • High-risk populations

  • History of gestational diabetes or delivering a baby >9lb

  • Hypertension (>140/90)

26
New cards

Criteria for testing for pre-diabetes and diabetes: Type 2 diabetes

  • Testing in children, beginning at age 10 or at onset of puberty & with follow-up testing every 2 years

    • Family history (first-or second degree) of type 2 diabetes

    • Race/ethnicity

    • Signs of insulin resistance

    • Maternal history of diabetes or gestational diabetes mellitus

27
New cards

Three methods of diagnosis:

  • Must each be confirmed by one of the others on a subsequent day

  1. HbA1c > or = 6.5% using a method that is NGSP certified

  2. A fasting plasma glucose of > or = 126 mg/dL

  3. An oral glucose tolerance test (OGTT) w/ 2-hour postload (75g- glucose level) > or = 200 mg/dL (mostly to confirm gestational diabetes)

  4. Diabetes symptoms + random glucose level of > or = 200 mg/dL

28
New cards

Diabetes symptoms:

  • Excessive urination

  • Rapid weight loss

  • Drinking a lot of water

29
New cards

Patients with following criteria have “pre-diabetes”:

  • Fasting glucose of > or = 100 mg/dl but <126 mg/dL

  • OGTT 2-hour level of > or = mg/dL but <200 mg/dL

30
New cards

Normal glucose level:

  • ~99 mg/dL

31
New cards

When does a glucose level start to be concerning?:

  • ~180 mg/dL

32
New cards

Criteria for Testing & Diagnosis of Gestational Diabetes:

  • Age >25 years

  • Overweight

  • Strong family history of diabetes

  • History of abnormal glucose metabolism

  • History of poor obstetric outcome

  • Presence of glycosuria

  • Diagnosis of polycystic ovarian syndrome

33
New cards

Hypoglycemia:

  • Decreased plasma glucose levels

  • Can be transient & relatively insignificant or life-threatening

  • Occurs in health-appearing and sick patients, as a result of reaction to medication or of illness

  • Symptoms appear at glucose level of about 50-55mg/dL

34
New cards

Symptoms of hypoglycemia:

  • Increased hunger

  • Sweating

  • Nausea

  • Vomiting

  • Dizziness

  • Nervousness

  • Shaking

  • Blurred speech

  • Blurred sight

  • Mental confusion

35
New cards

Methods of Glucose Measurement:

  • Can be measured from serum, plasma, or whole blood

  • Serum or plasma must be refrigerated & separated from cells within 1 hour to prevent loss of glucose

  • Fasting blood glucose should be obtained in morning after 8-10 hour fast

  • Most common methods of glucose analysis use enzymes glucose oxidase or hexokinase

  • Nonspecific methods are used in urinalysis section of lab to detect reducing substances other than glucose

36
New cards

Self-Monitoring of Blood Glucose:

  • Those with type 1 diabetes should check levels 3 or 4 times/day

37
New cards

Glucose Tolerance and 2-Hour Postprandial Tests:

  • Patient drinks standardized (75g) glucose load

  • Glucose measurement is taken 2 hours later

38
New cards

What is used as a point of care method:

  • Statstrip

  • Results/Flowsheets Glucose Level

39
New cards

Glycosylated Hemoglobin/Hemoglobin A1C:

  • Long-term blood glucose regulation can be followed by measurement of glycosylated hemoglobin

  • Provides clinician with time-averaged picture of patient’s blood glucose concentration over past 3 months

  • Glycosylated hemoglobin: Formation of a hemoglobin compound produced when glucose reacts with amino group of hemoglobin

  • Hemoglobin A1C (HbA1C) is most commonly detected glycosylated hemoglobin

  • Affinity chromatography is preferred method of measurement

40
New cards

Ketones:

  • Produced by liver through metabolism of fatty acids

  • Provide a ready energy source from stored lipids

  • Increase with carbohydrate deprivation or decreased carbohydrate use (diabetes, starvation/fasting, high fat-diets)

  • Specimen requirement is fresh serum or urine

41
New cards

Three ketone bodies:

  • Acetone (2%)

  • Acetoacetic acid (20%)

  • 3 beta-hydroxybutyric acid (78%)

42
New cards

Acetone:

  • 2%

43
New cards

Acetoacetic acid:

  • 20%

44
New cards

2-beta-hydroxybutryric acid:

  • 78%

45
New cards
term image
  • Three ketone bodies

46
New cards

Microalbuminuria:

  • Increase in urinary albumin is an early sign of renal nephropathy, a complication of diabetes mellitus

  • Annual assesment of kidney function by determination of urinary albumin excretion is recommended for diabetic patients

  • Defined as persistent albuminuria in range of 30-299 mg/24 hr or albumin-creatinine ratio of 30-300 ug/mg

47
New cards

Islet Autoantibody and Insulin Testing:

  • Presence of autoantibodies to beta-islet cells of pancreas is characteristic of type 1 diabetes

  • Not currently recommended for diabetes diagnosis