1/10
Looks like no tags are added yet.
Name | Mastery | Learn | Test | Matching | Spaced |
|---|
No study sessions yet.
What is the equation for the Force of Gravity/weight acting on an object?
Fg = mog
mo- mass of object that gravity is acting on
Newton’s Universal Law of Gravitation
Fg = Gm1m2/r2
Vector Form: Fg, vectorized = Gm1m2/r2 * r12 where r12 is the unit vector
another way of defining the force of gravity
Shows the force of gravitational attraction between any two masses
What is G?→ The universal gravitational constant
G = 6.67 × 10-11 Nm2/kg2
r is the distance between the centers of mass of the two objects
This equation gives you the magnitude of the force of gravitational attraction between two objects
Direction is always towards the other object
How to solve for the acceleration due to gravity?
GM/r2
What is the acceleration due to gravity for earth?
gearth = Gmearth/(rearth+altitude)2
need to take into account the altitude!
as long as the radius of the earth is much much greater than the altitude, the acceleration due to gravvity is constant and thus the gravitational potential energy is constant as well Ug = mgh
When viewed from a frame of reference which is not on the surface of the planet, what happens to the acceleration due to gravity?
It isn’t constant and we need a different equation for GPE
Universal gravitational potential energy would be Ug = -Gm1m2/r
Key features:
The zero line is at infinity so (r = infinity)
The universal gravitational potential energy is always less than or equal to 0
It requires two objects
Binding energy
The minimum amount of work necessary to completely remove an object from a planet if the object is resting on the surface of the planet
Have to assume the object is moved infintely far away and has zero velocity when it gets there
ΔEsystem = ΣT = ΔME + ΔEinternal = Wforce applied
where ΣT is the total energy transferred in and out of the system
Minimum amount of work:
Wforce applied = MEf-MEi + 0 = -MEi (doesn’t have any mechanical energy at end and no internal energy)
Therefore, Wf,a = GMoMp/Rp
**If anything less than this amount of energy is given to the object, object will return back to surface
Escape Velocity/Speed
The minimum velocity to launch an object off the Earth and have it never return
We assume that there is no atmosphere and no Earth rotation:
Therefore no external forces acting on system so mechanical energy conserved
Vescape = √(2GME)/RE
Orbital energy
Total mechanical energy of an object in circular motion
MEtot = -Gmomp/(2r)
Kepler’s First Law
Law of orbits:
All orbits are elliptical
Check diagram for more details

Kepler’s Second Law
Law of areas:
States that a line between the sun and an orbitting planet sweeps out an equal area in an equal time interval
Means that the closer an object is to what it is orbitting, the faster the orbital object’s tangential speed will be (area depends on distance from center and velocity, meaning if the distance is lower, velocity must be higher to compensate)
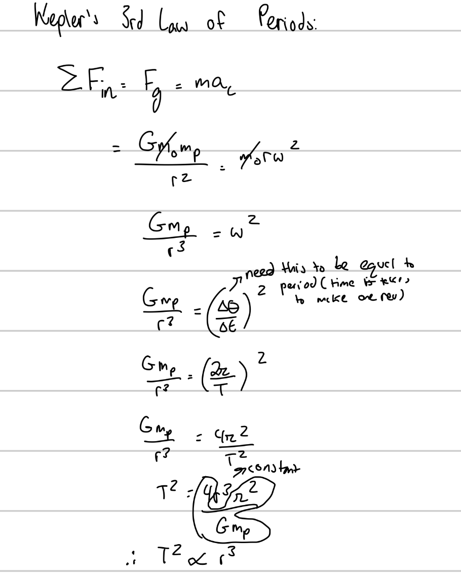
Kepler’s Third Law
The Law of Periods (shows the relationship between the period of the object and its radius)
Must recognize that the only force acting on the orbital object is the force of gravity and that force of gravity acts inward towards the center of the circle (circular orbit)
