1/22
Looks like no tags are added yet.
Name | Mastery | Learn | Test | Matching | Spaced |
|---|
No study sessions yet.

Alginate

Agar

cellulose

chitosan

collagen

elastin

hyaluronic acid

keratin

myosin

PCL

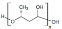
PEG

PGA

PGS

PH4B

PHB

PHBH

PHBV

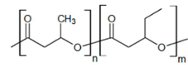
PLA

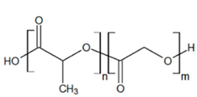
PLGA

POC

PSeD-UX

PVA

silk fibroin