1/12
For the cram
Name | Mastery | Learn | Test | Matching | Spaced | Call with Kai |
|---|
No analytics yet
Send a link to your students to track their progress
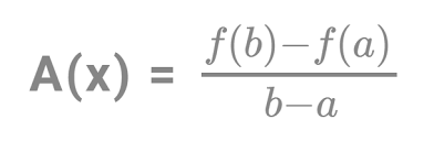
AROC
Over interval [a, b]
![<p>Over interval [a, b]</p>](https://knowt-user-attachments.s3.amazonaws.com/8192814e-3c05-4368-ab14-a9a3dae0dba3.png)
IROC
f’(x) = dy/dx
Formal definition of a limit

Types of discontinuities
Points where a function is not continuous, including removable(hole) , jump(step), and infinite(vertical asymptote) discontinuities.
Variables for limits with infinites
x → ∞ use D and attempt to find D in terms of epsilon.
lim f(x) = ∞ use E and attempt to find delta in terms of E such that f(x) is greater than E when x is within delta of c.
Differentiable
A function is deemed differentiable at a point if it has a well-defined tangent line at that point. (if it has a derivative)
Continuity

Intermediate Value Theorem (IVT)
States that for any value between f(a) and f(b), there exists at least one c in (a, b) such that f(c) equals that value, given that f is continuous on [a, b].
![<p>States that for any value between f(a) and f(b), there exists at least one c in (a, b) such that f(c) equals that value, given that f is continuous on [a, b]. </p>](https://knowt-user-attachments.s3.amazonaws.com/686d7299-a8cf-4ace-9ba4-f64d989479a6.png)
Formal Definition of Derivative at a Point

Formal Definition of the Derivative

Examples of when there is no derivative
include points of non-differentiability, such as cusps, vertical tangents, or discontinuities.

Derivative of trig functions
cosx → -sinx
sinx → cosx
secx → secx tanx
cscx → -cscx cotx
cotx → -csc²x
tanx → sec²x

Laws of limits
