1/39
Looks like no tags are added yet.
Name | Mastery | Learn | Test | Matching | Spaced |
|---|
No study sessions yet.
Oxidation of aromatic carbon atoms (aromatic hydroxylation)

Oxidation of Olefins (C=C BONDS)

Oxidation of Olefins (C=C BONDS)

Oxidation of allylic carbon atoms

Oxidation of carbon atoms alpha to carbonyls and imines

Oxidation of aliphatic carbons atoms (aliphatic hydroxylation)

Oxidation of alicyclic carbon atoms (alicyclic hydroxylation)

N-dealkylation

N-hydroxylation

S-dealkylation

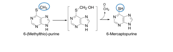
Desulfuration

Desulfuration

S-oxidation
Chloropromazine undergo
O-dealkylation

O-dealkylation

O-dealkylation

O-dehalogenation

Hepatic microsomal flavin containing monooxygenases (S-Oxidation)

Alcohol dehydrogenase

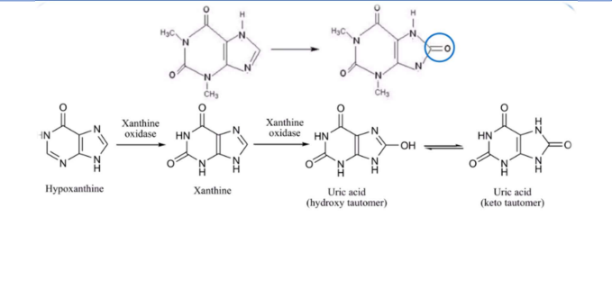
Xanthine oxidase

Amine oxidase (N oxidation)

Reductive reaction (-N=N- ——> NH₂ + NH₂)

Reduction of Nitrogroup

Reduction of carbonyls

Reduction of aliphatic aldehydes

Reduction of aliphatic ketones

Reduction of aliphatic ketones

Reduction of alicyclic ketones

Reduction of aromatic ketones

Reduction of dehalogenation

Ester hydrolysis

Amide hydrolysis (slower)

Carbonate hydrolysis

Carbamate hydrolysis

Urea hydrolysis

Hydrazide hydrolysis

Hydrolysis of esters (Inorganic acid esters)

Hydrolysis of esters (Hydrolysis of amide (C-N cleavage) - secondary amide with aliphatic substitution

Hydrolysis of esters (Hydrolysis of amide (C-N cleavage) -Secondary amide with aromatic substitution

Hydrolysis of esters (Hydrolysis of amide (C-N cleavage) - tertiary amide
