Biochemistry Exam 2

0.0(0)
studied byStudied by 0 people
full-widthCall with Kai
GameKnowt Play
learnLearn
examPractice Test
spaced repetitionSpaced Repetition
heart puzzleMatch
flashcardsFlashcards
Card Sorting

1/122

encourage image

There's no tags or description

Looks like no tags are added yet.

Study Analytics
Name
Mastery
Learn
Test
Matching
Spaced

No study sessions yet.

123 Terms

1
New cards

trypsin 

  • endopeptidase

  • serine protease = recog Rn-1 (amino that contrib carbonyl C)

  • most specific

    • recog pos charged residues: Arg, Lys

  • does not work w Pro (induces kink so cannot cleave)

2
New cards

chymotrypsin

  • endopeptidase

  • serine protease = recog Rn-1 (amino that contrib carbonyl C)

  • recog bulky hydrophob residues: Phe, Tryp, Tyr (aromatic side chain)

  • does not work for Pro

3
New cards

pepsin

  • endopeptidase

  • aspartic protease = recog Rn (amino that contrib NH))

  • unspecific: Leu, Phe, Trp, Tyr

  • does not work with Pro

4
New cards

amide bond hydrolysis: acid mediated mechanism

  • for aspartic protease

  • not catalyzed event = reactant not regenerated

  • includes electrophile & nuc attack

<ul><li><p>for aspartic protease</p></li><li><p>not catalyzed event = <strong>reactant not regenerated</strong></p></li><li><p>includes electrophile &amp; nuc attack</p></li></ul><p></p>
5
New cards

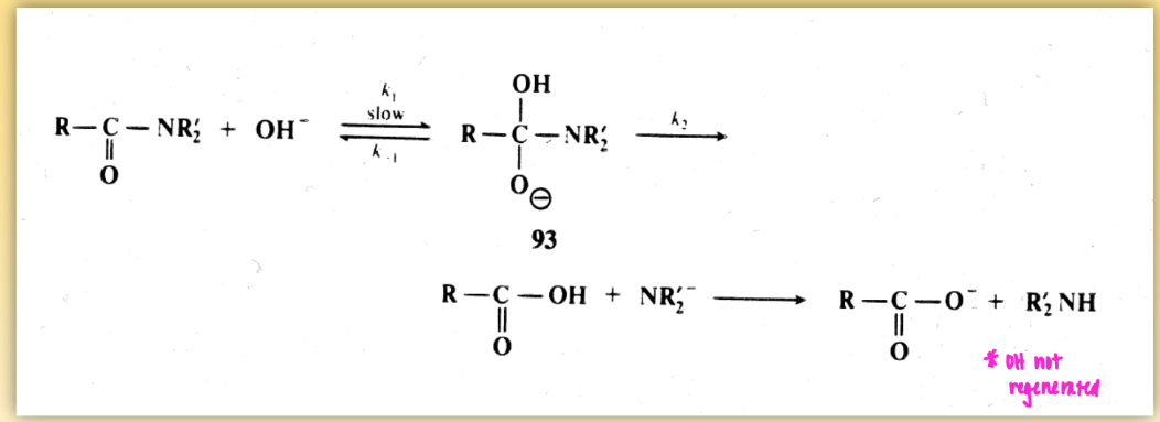
amide bond hydrolysis: base mediated mech

  • for serine proteases

  • OH not regenerated

<ul><li><p>for serine proteases</p></li><li><p>OH not regenerated</p></li></ul><p></p>
6
New cards

catalytic triad

  • Asp - His - Ser

  • always conserved in active site of enzyme of serine protease

  • uses low barrier H to enhance nucleophilicity/ base characteristics → leads to easier breakdown via nuc attack

  • acyl-enzyme intermediate = molec cov modified

7
New cards

cynanogen bromide (CNBr)

  • cleaves peptide bond (internally)

  • recog Met (high specificity)

  • analogous to serine protease (endo)

  • end w/ modified residue: homoserine

    • C-term not free

    • unlike ser prot that no mess w/ polypep chem

8
New cards

determining primary struc of prot

  • reduction of disulfide bonds to sep polypep chain

    • oxidation of disulfide bonds w/ performic acid = irreversible w/ no cap

  • break down polypep chain w/ two dif methods to gen dif set of peptide frag

    • ex. trypsin + CNBr (both v spec)

  • determine seq of each frag w/ edman degradation

  • use overlapping seq in each pep frag to determine seq of each polypep

  • repeat frag w/o breaking disulfide bonds so can detect Cys

9
New cards

edman degradation

  • used to sequence oligopep frags

  • acid hydrolysis of PTC polypep yields PTH amino acid & intact polypep minus 1 amino acid from N-term

  • one by one cleave from n-term and seq amino

  • tag n-term w/ dansyl

10
New cards

reductive cleavage and alkylation of disulfide bonds

  • oxidative process = reduce prot of interest & oxidize reducing agent

  • expose to electrophile (iodoacetate) & sulfur attacks to prevent auto oxidation and reformation of disulfide bonds

    • this leads to capping of S

<ul><li><p>oxidative process = reduce prot of interest &amp; oxidize reducing agent</p></li><li><p>expose to electrophile (<strong>iodoacetate)</strong> &amp; sulfur attacks to prevent auto oxidation and reformation of disulfide bonds</p><ul><li><p>this leads to capping of S</p></li></ul></li></ul><p></p>
11
New cards

merrifield synthesis process

  • use boc group to protect n-term & protecting group to protect side chain of amino acid of interest

  • couple resin w/ fxnal group to boc+aa+protecting

  • connects desired aa to resin via free COOH group

  • remove boc group to free amino group

  • attach second aa w/ free COOH (but has boc group to protect n-term)

  • continue w/ desired number of aa

  • remove protecting groups & then resin via chromatography

  • = mature oligopeptide

<ul><li><p>use boc group to protect n-term &amp; protecting group to protect side chain of amino acid of interest</p></li></ul><ul><li><p>couple resin w/ fxnal group to boc+aa+protecting</p></li><li><p>connects desired aa to resin via free COOH group</p></li><li><p>remove boc group to free amino group</p></li><li><p>attach second aa w/ free COOH (but has boc group to protect n-term)</p></li><li><p>continue w/ desired number of aa</p></li><li><p>remove protecting groups &amp; then resin via chromatography</p></li><li><p>= mature oligopeptide</p></li></ul><p></p>
12
New cards

merrifield synthesis overview

  • synthesize c-term to n-term

  • used to chemically synthesize polypep in solid phase (on column)

  • want to install aa on resin

  • ensure go to completion!

    • if low yield = nested frag = hard to purify

  • limitations: 100-150 aa

13
New cards

boc group

  • = protecting group on side chains w/ specificity

  • protects amino group

  • used in solid phase peptide synth (merrifield)

  • all have free COOH

<ul><li><p>= protecting group on side chains w/ specificity</p></li><li><p>protects amino group</p></li><li><p>used in solid phase peptide synth (merrifield)</p></li><li><p>all have free COOH</p></li></ul><p></p>
14
New cards

linkage of 2 peptides chemically = native chem ligation

  • activate c-term & turn into thioester (using cysteine residue on n-term)

  • link via side chain to cysteine S

  • end in peptide bond & regen cysteine residue

  • two peptides could be made via merrifield

  • first step = no change in energy

  • second step = favorable

<ul><li><p>activate c-term &amp; turn into thioester (using cysteine residue on n-term)</p></li><li><p>link via side chain to cysteine S</p></li><li><p>end in peptide bond &amp; regen cysteine residue</p></li><li><p>two peptides could be made via merrifield</p></li><li><p>first step = no change in energy</p></li><li><p>second step = favorable</p></li></ul><p></p>
15
New cards

mass spectrometry (MALDI)

  • MALDI = matrix-assisted laser desorption/ionization

  • mass usually = molec weight = vap/ionize molec = too strong & can break polypep chain

  • MALDI = get molec weight of polypep but gentle = keep prot intact during vap/ionize

    • can determine accuracy of synth prot if mass same as expected (count up aminos)

16
New cards

conjugated protein

prot prodiced via cov interactions

  • ex. glycoprot, phosphoprot, hemoprot

17
New cards

analytical purification

small prot applied to small, compact column (ug, ng)

18
New cards

preparative purification

bench work = big prot (mg, g) = purify a lot of prot

19
New cards

salting out (NH4)2SO4 precipitation

  • continuously increase concen of (NH4)2SO4 to keep precip out new prot

  • crude = does not lead to homogenous prot → but get as purified as possible & cut down contaminating prot

20
New cards

membrane dialysis

  • used to sep by molec weight = small and large molec

  • use dif pore sizes w/ cutoffs (keep desired prot in bag and everything else in solution)

  • used to desalt prot (use very small prot)

  • crude = not completely pure

21
New cards

osmotic pressure

water wants to goes back into bag so concen of big molecs = same

(why we need to seal bag in membrane dialysis)

22
New cards

gel filtration / size-exclusion chromatography

  • sep of prot based on dif in size (and secondary dep on shape)

  • use size-exclusion resin w/ dif porosities (large v small holes)

  • pack into column & load mixture

    • small molecs can penetrate beads = small elute slow

    • large molecs = excluded from column = big elute fast

23
New cards

residence time & band width

  • as prot size decreases = elutes slower = on coulmn for longer = last peak

  • small molecs = broader band = slower & greater diffusion

  • but same vol so area under curve of each peak = same

<ul><li><p>as prot size decreases = elutes slower = on coulmn for longer = last peak</p></li><li><p>small molecs = broader band = slower &amp; greater diffusion</p></li><li><p>but same vol so area under curve of each peak = same</p></li></ul><p></p>
24
New cards

exclusion limit

molecular mass of the smallest molecule unable to penetrate the pores (beads) of given gel

25
New cards

Vo

  • void volume

  • volume of solvent space surrounding the gel beads = determined experimentally by using large standard molec like blue dextran

26
New cards

Vx

volume occupied by gel beads

27
New cards

Vt

total bed vol (= Vx + Vo)

28
New cards

Ve

elution volume = volume of solvent required to elute a solute from the column

29
New cards

Ve/Vo

relative elution volume = indep of the size of the particular column used (used to compare elution behaviors)

30
New cards

SEC Ve/Vo plot

  • plotting Ve/Vo against logM = linear standard curve

  • use to determine mass of unknown prot

  • exceptions due to shape (assume globular nature)

    • ex. fibrinogen = behaves like larger molec than actual size

31
New cards

ion-exchange chromatography

  • uses stepwise elution

  • cation exchange

    • resin: neg charged, mobile cations as exchangers

    • large net pos = tightly bind to column

    • large neg = cannot interact w/ resin → elute fast (“salt out”)

  • ideal method = usually start so all have net pos charge at beginning of elution & then charge pI for gradual elution in order of increasing pI

32
New cards

ion-exchange resins

  • can have both ion-exchange & gel filtration habits

    • size also matters in some cases

  • size factors can lead to deviations in expected & predicted elution based on pI

33
New cards

elution profile

can predict elution based on pI but size factors can lead to deviations;’l;l

34
New cards

affinity chromatography

  • most powerful method of purification

  • effective resin must be used = hardest part

  • build column by self = extra specificity towards desired protein

    • only desired prot binds ligand (after washing column)

    • other contaminants are eluted out

35
New cards

effective resin production

  • covalently link ligand (amino group) to agarose gel using CNBr as an activator

  • activates OH group in agarose gel

  • amino group = spec to desired prot

<ul><li><p>covalently link ligand (<strong>amino group)</strong> to agarose gel using CNBr as an activator</p></li><li><p>activates OH group in agarose gel</p></li><li><p>amino group = spec to desired prot</p></li></ul><p></p>
36
New cards

derivatization of epoxy-activated agarose

  • gel pre-activated as epoxide

  • makes it easier to link & more reversible

    • link epoxide & ligand

  • spacer arm = dist between struc of ag bead & functional group

  • sterics important

    • if ligand too close to bead = sterically inaccessible & binding will not occur

37
New cards

purification of staphylococcal nuclease by affinity chromatography

  • on agarose

  • gel binds to nucleotides like amino acids

  • resin is built w/ T-residue

    • modified t-ligand = so amino group is attached & can bind resin surface

  • leads to very homogenous mixture

    • wash out excess prot = only desired prot bound

  • able to access bound prot

    • after washing = elute w/ actual ligand = easily and cleanly remove protein

38
New cards

slab gel electrophoresis

  • separation (rate of migration) based on differences in mass/charge ratios of proteins

  • prot migrate from cathode to anode

  • pH 9 buffer used

39
New cards

formation of cross-linked polyacrylamide gel for electrophoresis (PAGE)

  • polymerization of acrylamide & N,N-methylenebisacrylamide

  • use radical polymerization (not very structured)

    • can change ratio of acryl & N,N → changes porosity

      • thus changes % of cross-link

40
New cards

Ferguson plots

  • log mobility over % gel

  • free mobility at 0% gel

    • when size does not matter (only dependent on charge)

  • as % gel increases = size matters

    • lose mobility

      • small particle, high charge = high mobility

      • big particle, low charge = low mobility (greatly impeded)

41
New cards

SDS-PAGE

  • SDS = amphipathic

  • SDS-treated proteins = identical mass:charge ratios

  • separation is solely based on molecular mass

    • can allow us to estimate molec mass of unidentified prot using standards

  • relationship between motility & mass is logarithmic

42
New cards

SDS-PAGE & multi-subunit proteins

  • gives molec mass of prot subunits, not whole prot

    • each polypep chain will have own band

  • = disrupts the non-cov bonds that hold quat strucs tg

43
New cards

ultracentrifugation

  • sedimentation coefficients for some bio materials

    • vary from small (small prot) to big (mitochondria)

  • fractionate subcellular organelle

  • based on mass and shape secondarly

44
New cards

zonal ultracentrifugation

  • uses preformed sucrose density gradient

  • then add sample & spin at high speed (centrifugation)

  • let settle & see fractionation (particles sediment)

    • slow v fast sedimenting components

  • can then poke holes and sep each fraction

  • use sedimentation coefficients to separate (mass based)

  • okay for proteins!!!!

45
New cards

isopycnic ultracentrifugation

  • sep mixtures according to density

  • only involves fractionation of subcellular organelles

    • prot have same densities

    • no proteins only organelles

  • initially homogenous mixture becomes gradient based in density (in relation to density of CsCl or Cs2SO4 solution)

46
New cards

isoelectric focusing

  • create pH gradient using ampholyte soln incorporated in gel

  • pH gradient established (neg→pos)

  • protein added & migrate in column based on pI valued

<ul><li><p>create pH gradient using ampholyte soln incorporated in gel</p></li><li><p>pH gradient established (neg→pos)</p></li><li><p>protein added &amp; migrate in column based on pI valued</p></li></ul><p></p>
47
New cards

isoelectric focusing of hemoglobins

  • dif subunits of prot have dif absorbance

  • dif pI = dif fractionation & good separation of bands

<ul><li><p>dif subunits of prot have dif absorbance</p></li><li><p>dif pI = dif fractionation &amp; good separation of bands</p></li></ul><p></p>
48
New cards

2-dimensional gel-eletrophoresis

  • 1st dimension = isoelectric focusing

    • fractionation based on pI

    • prot fall in order of decreasing pI

  • 2nd dimension = SDS-PAGE

    • based on molec weight

  • = leads to much better & more complex sep of proteins

<ul><li><p>1st dimension = isoelectric focusing</p><ul><li><p>fractionation based on pI</p></li><li><p>prot fall in order of decreasing pI</p></li></ul></li><li><p>2nd dimension = SDS-PAGE</p><ul><li><p>based on molec weight</p></li></ul></li><li><p>= leads to much better &amp; more complex sep of proteins</p></li></ul><p></p>
49
New cards

peptide bond UV absorption

  • aromatic absorption at 280 nm

  • all prot absorb around 200 nm

    • due to amide fxnal group

  • not all prot behave similar in amide region of UV absorption

    • amide absorption bands are dif

    • dep on secondary bond to amide

<ul><li><p>aromatic absorption at 280 nm</p></li><li><p>all prot absorb around 200 nm</p><ul><li><p>due to amide fxnal group</p></li></ul></li><li><p>not all prot behave similar in amide region of UV absorption</p><ul><li><p>amide absorption bands are dif</p></li><li><p>dep on secondary bond to amide</p></li></ul></li></ul><p></p>
50
New cards

CD (circular dichroism) spectra of polypep

  • delta E = dif in circular polarized light (measure of chiral props exclusively)

  • uses polarized light = can distinguish between random coil, alpha, and beta

    • 3 distinctly dif curves (standards)

    • can use to estimate % of each 2nd struc in protein

<ul><li><p>delta E = dif in circular polarized light (measure of chiral props exclusively)</p></li><li><p>uses polarized light = can distinguish between random coil, alpha, and beta</p><ul><li><p>3 distinctly dif curves (standards)</p></li><li><p>can use to estimate % of each 2nd struc in protein</p></li></ul></li></ul><p></p>
51
New cards

trans peptide (amide) configuration

  • all atoms lie in same plane

  • due to geometry around C+N (120 degree bond angles)

  • C alpha and C alpha 180 from one another

  • more stable

  • favored by bigger R groups = less steric hindrance

    • so most prot trans

<ul><li><p>all atoms lie in same plane</p></li><li><p>due to geometry around C+N (120 degree bond angles)</p></li><li><p><strong>C alpha and C alpha 180 from one another</strong></p></li><li><p><strong>more stable</strong></p></li><li><p>favored by bigger R groups = less steric hindrance</p><ul><li><p>so most prot trans</p></li></ul></li></ul><p></p>
52
New cards

cis peptide (amide) configuration

  • C alpha and C alpha closer tg

    • hindered by R groups

  • C+N still 120 degree

  • less used by prot except glycine (H)

  • less stable

  • when many Gly = mixture of trans & cis = unstable protein

<ul><li><p>C alpha and C alpha closer tg</p><ul><li><p>hindered by R groups</p></li></ul></li><li><p>C+N still 120 degree</p></li><li><p>less used by prot except <strong>glycine (H)</strong></p></li><li><p><strong>less stable</strong></p></li><li><p>when many Gly = mixture of trans &amp; cis = unstable protein</p></li></ul><p></p>
53
New cards

peptide bonds on protein backbone

  • rigid peptide bond = C-N

  • rotatable phi = N-C alpha

  • rotatable psi = C alpha - C

  • can change config by rotating phi or psi (some more fav than others)

<ul><li><p>rigid peptide bond = C-N</p></li><li><p>rotatable phi = N-C alpha</p></li><li><p>rotatable psi = C alpha - C</p></li><li><p>can change config by rotating phi or psi (some more fav than others)</p></li></ul><p></p>
54
New cards

Ramachandran phi/psi plot for proteins

  • shaded areas = very stable (low E) bond configs = highly populated in backbone

  • white area = high energy, unfav configs

  • not every combo fav = sterically inhibited

  • axis = tortion angles

<ul><li><p>shaded areas = very stable (low E) bond configs = highly populated in backbone</p></li><li><p>white area = high energy, unfav configs</p></li><li><p>not every combo fav = sterically inhibited</p></li><li><p>axis = tortion angles</p></li></ul><p></p>
55
New cards

Ramachandran phi/psi plot for Gly

  • more shaded areas than normal = many more fav conformations

  • only have H side chain = no chiral center = less steric hindrance

  • = more flexibility to amide and can adopt phi/psi configs that other amino acids cannot 

  • = high mobility & highly disordered 2nd struc

<ul><li><p>more shaded areas than normal = many more fav conformations</p></li><li><p>only have H side chain = no chiral center = less steric hindrance</p></li><li><p>= more flexibility to amide and can adopt phi/psi configs that other amino acids cannot&nbsp;</p></li><li><p>= high mobility &amp; highly disordered 2nd struc</p></li></ul><p></p>
56
New cards

alpha helices

  • H bonds w/ carbonyl & N

  • R groups pointing outward = easily accessible

  • due to local folding

  • residues = big number = # of residues per 360 rotation

  • rise = overall rise

  • small number = # of atoms in H-bonded ring (how many atoms sep O from H)

57
New cards

comparing 310 , 3.613 (alpha) , 4.416 (pi) helices

  • 310 = 3 residues per turn

    • small cross-sectional area

    • thinner, stretched out

    • less amino acids

  • 3.613 = 3.6 residues per turn

  • 4.416 = fatter, contracted

  • all have intra H-bonds holding H tg & R groups on outisde

    • so all same stabilization

<ul><li><p>3<sub>10&nbsp;</sub>= 3 residues per turn</p><ul><li><p>small cross-sectional area</p></li><li><p>thinner, stretched out</p></li><li><p>less amino acids</p></li></ul></li><li><p>3.6<sub>13&nbsp;</sub>= 3.6 residues per turn</p></li><li><p>4.4<sub>16</sub>&nbsp;= fatter, contracted</p></li><li><p>all have intra H-bonds holding H tg &amp; R groups on outisde</p><ul><li><p>so all same stabilization</p></li></ul></li></ul><p></p>
58
New cards

analysis of alpha helix R-group composition

  • extract piece of backbone of myoglobin

    • determine location of e-helix = R group analysis

      • prot recog R group orientation (on outside surface of helix)

59
New cards

dipole moments in helices

  • fractional charges between neg c-term and pos n-term

  • all peptide bonds orientated in same positions = dipole moment in helix

  • can get electrostatic interactions

    • lead to fxnal role

    • ex. phosphate group binding

<ul><li><p>fractional charges between neg c-term and pos n-term</p></li><li><p>all peptide bonds orientated in same positions = dipole moment in helix</p></li><li><p>can get electrostatic interactions</p><ul><li><p>lead to fxnal role</p></li><li><p>ex. phosphate group binding</p></li></ul></li></ul><p></p>
60
New cards

beta (pleated) sheet

  • primary struc interacts to fold in on itself to align like beta sheet

  • H bonds stabilize NH and carbonyl O

  • R groups on top or bottom of sheet surface → determines fxnal properties

    • can make amphipathic by using differntly charged R-groups on each side

61
New cards

antiparallel beta sheet

  • more stable = intra H-bonds more strongly aligned

  • each carbonyl can be acceptor for 2-3 bonds

  • one sheet N→C and one C←N

62
New cards

parallel beta sheet

  • both in same orientation C←N

  • intra H-bonds offset (not as perfectly aligned) = less stable

  • non linear H-bond = weaker

63
New cards

beta sheet stacking

  • most rigid structure = Ala & Gly

  • very strong

  • beta can easily stack (intercalations) (conformations of R groups highly complementary)

  • H and methyl pack tightly

64
New cards

types of beta sheet connections

  • hairpin = antiparallel (just need single turn)

    • stabilized by 1 H-bond

    • 2 aa in turn but use C alpha 1 and C alpha 2

    • alternate turn by rotating tortion angles

  • out of plane crossovers = above & below plane (parallel)

    • more work / more complicated turn

65
New cards

gamma turns

  • caused by proline = ring struc induces bend

    • limits geometry & introduces bend / kink

  • C alpha 1 and C alpha 3 involved

66
New cards

omega loop

  • backbone bending motif

  • out of plane crossover of beta sheet

67
New cards

fibrous proteins

  • insoluble

  • usually comprised of 1 type of secondary struc

  • types: alpha keratins & collagens

68
New cards

alpha keratin

  • start as dimer

    • n-terminal head 

    • coiled coil rod = alpha helix wrapped tg

    • c-term tail

    • connected via hydrophobic interface (dissymmetric distribution of aa)

    • dimer interface due to hydrophob primary struc

  • protofilament

    • head and tail more globular = can self associate to form protofilament

  • microfibril = disulfide bonds lead to formation and stablization

69
New cards

collagen

  • very strong fiber = used in connective tissue

  • distinctive amino acid comp: Gly, Pro, Hyp

    • Hyl also present (involved in cross-linking & glycosylation w/ O)

  • triple helical structure = 3 polypep chains wrapped around one another

  • stabilized by H-bond at interface

    • Gly = contrib NH (donor)

    • Pro = contrib O (acceptor)

  • glycosylated at Hyl residues w/ Glc-Gal post-translational

  • covalently cross-links Lys, Hyl, and His side chains in collagen

70
New cards

x-ray diffraction

  • image produced from x-ray scatters

  • uses crystal of myoglobin (static state)

  • this image = well-behaved = each prot molec in crystal is identical = good resolution

  • compare multiple diffraction patterns = create 3D structure

  • lower resolution = hard to determine structure

    • h-bonding = no diffraction so must rely on heavy atoms

    • must have good resolution so can differentiate between atoms

71
New cards

2D NOESY spectra

  • must use 2D spectrometry to determine protein internuclear distances

    • 1D = too many overlapping signals

  • use “off-diagonal” method to determine internuc dist of all protons ( r )

    • many distances = put into computer program = determines how prot must be folded to account for all internuc distances

  • shows natural aq state behaviors

  • inconsistent fitting (less overlap) = intrinsic disorder in dynamic prot or insufficient number of distances

<ul><li><p>must use 2D spectrometry to determine protein internuclear distances</p><ul><li><p>1D = too many overlapping signals</p></li></ul></li><li><p>use “off-diagonal” method to determine internuc dist of all protons ( r )</p><ul><li><p>many distances = put into computer program = determines how prot must be folded to account for all internuc distances</p></li></ul></li><li><p>shows <strong>natural aq state behaviors</strong></p></li><li><p>inconsistent fitting (less overlap) = intrinsic disorder in dynamic prot or insufficient number of distances</p></li></ul><p></p>
72
New cards

helical wheel

  • represents distribution of polar & nonpolar residues in helix

  • helix = amphiphilic = one side np & one side polar

  • inner facing proteins = hydrophob = hide from aq environment

  • asymmetric primary struc of aa leads to folding of 2/3 structure

73
New cards

domain definition

  • long peptide chain can fold into single peptide domain (like myoglobin)

  • or single polypep chain can fold into 2 domains independent of one another

    • will fold same way or w/o presence of other = folding solely based on primary struc

  • if can truncate polypep & one express one & still folds same = domain

  • ex. immunoglobin

    • light & heavy chains

      • single polypep chains that fold into 4/2 indep domains

<ul><li><p>long peptide chain can fold into single peptide domain (like myoglobin)</p></li><li><p>or single polypep chain can fold into 2 domains independent of one another</p><ul><li><p>will fold same way or w/o presence of other = f<strong>olding solely based on primary struc</strong></p></li></ul></li><li><p><strong>if can truncate polypep &amp; one express one &amp; still folds same = domain</strong></p></li><li><p>ex. immunoglobin</p><ul><li><p>light &amp; heavy chains</p><ul><li><p>single polypep chains that fold into 4/2 indep domains</p></li></ul></li></ul></li></ul><p></p>
74
New cards

beta - alpha - beta

  • super secondary structure

  • parallel beta sheet

  • uses helix as cross over

  • stabilized by H bonds

<ul><li><p>super secondary structure</p></li><li><p>parallel beta sheet</p></li><li><p>uses helix as cross over</p></li><li><p>stabilized by H bonds</p></li></ul><p></p>
75
New cards

beta - hairpin

  • super secondary structure

  • 2 anti parallel beta

  • fold in on each other to produce hairpin turns

  • stabilized by H bonds

<ul><li><p>super secondary structure</p></li><li><p>2 anti parallel beta</p></li><li><p>fold in on each other to produce hairpin turns</p></li><li><p>stabilized by H bonds</p></li></ul><p></p>
76
New cards

alpha - alpha

  • super secondary structure

  • alpha and alpha separated by turn

  • stabilized by dissymmetric distrib of hydrophob/phil interactions at interface 

    • like alpha-keratin

<ul><li><p>super secondary structure</p></li><li><p>alpha and alpha separated by turn</p></li><li><p>stabilized by dissymmetric distrib of hydrophob/phil interactions at interface&nbsp;</p><ul><li><p>like alpha-keratin</p></li></ul></li></ul><p></p>
77
New cards

greek key motif

  • super secondary structure

  • series of antiparallel beta due to folding

  • create new interactions from folding

<ul><li><p>super secondary structure</p></li><li><p>series of antiparallel beta due to folding</p></li><li><p>create new interactions from folding</p></li></ul><p></p>
78
New cards

beta barrel

  • super secondary structure

  • 2 greek key motifs

  • cylindrical → pairing introduces pore/hole

  • found in memb-bound proteins where hole is needed to allow things to pass thru memb (transport protein)

<ul><li><p>super secondary structure</p></li><li><p>2 greek key motifs </p></li><li><p>cylindrical → pairing introduces pore/hole</p></li><li><p>found in memb-bound proteins where hole is needed to allow things to pass thru memb <strong>(transport protein)</strong></p></li></ul><p></p>
79
New cards

Cro dimer

  • dimer that binds DNA duplex

  • dimer = fxnal form

    • monomers cannot bind DNA duplex

  • H bonds hold each monomer tg

  • dimerization stabilized by antiparallel beta sheet interface

  • protruding R groups on alpha helix available to perfectly penetrate into major & minor groove of DNA

    • stabilized w/ H-bonding

<ul><li><p>dimer that binds DNA duplex</p></li><li><p>dimer = fxnal form</p><ul><li><p>monomers cannot bind DNA duplex</p></li></ul></li><li><p>H bonds hold each monomer tg</p></li><li><p>dimerization stabilized by antiparallel beta sheet interface</p></li><li><p><strong>protruding R groups on alpha helix</strong> available to perfectly penetrate into major &amp; minor groove of DNA</p><ul><li><p>stabilized w/ H-bonding</p></li></ul></li></ul><p></p>
80
New cards

zinc finger protein

  • combination of beta sheet, alpha helix, and random coil

  • Cys-Cys-His-His family

    • 2 His = imidazole ring

    • 2 Cys = S

  • Zn anchors structures and forces fold

  • very strong ability to bind protein → often attached to DNA

  • when multiple zinc fingers bound tg = at least one able to bind to DNA

    • via alpha helix and protruding R groups w/ specificity to bind grooves

<ul><li><p>combination of beta sheet, alpha helix, and random coil</p></li><li><p>Cys-Cys-His-His family</p><ul><li><p>2 His = imidazole ring</p></li><li><p>2 Cys = S</p></li></ul></li><li><p>Zn anchors structures and forces fold</p></li><li><p>very strong ability to bind protein → often attached to DNA</p></li><li><p>when multiple zinc fingers bound tg = at least one able to bind to DNA</p><ul><li><p>via alpha helix&nbsp;and protruding R groups w/ specificity to bind grooves</p></li></ul></li></ul><p></p>
81
New cards

leucine zipper

  • dimer bound to DNA

  • 2 alpha helix bound tg by Leu-Leu interface

    • not hydrophob residues!!!

  • protruding R-groups bind to DNA

<ul><li><p>dimer bound to DNA</p></li><li><p>2 alpha helix bound tg by<strong> Leu-Leu interface</strong></p><ul><li><p>not hydrophob residues!!!</p></li></ul></li><li><p>protruding R-groups bind to DNA</p></li></ul><p></p>
82
New cards

structural hierarchy in proteins

  • primary (amino seq in polypep chain)

  • secondary structure (helix)

  • tertiary structure (polypep chain folding into 3D struc)

  • quaternary structure (four sep chains associating thru non-cov interactions

83
New cards

quaternary structure (hemoglobin)

  • 2 types of chains: 2 alpha & 2 beta

  • fxnal form = due to order of association

  • associated thru noncov interactions (very weak so easily disrupted)

  • hemoglobin = O2 binding prot

    • binding to one site in one domain effects entire molec

    • binding = leads to struc change = changes affinity of all other sites

    • = cooperativity (communication)

  • differs from single domain in 3 struc (myoglobin) = independent binding (O2 binding one sit does not effect others)

<ul><li><p>2 types of chains: 2 alpha &amp; 2 beta</p></li><li><p>fxnal form = due to order of association</p></li><li><p>associated thru noncov interactions (very weak so easily disrupted)</p></li><li><p>hemoglobin = O2 binding prot</p><ul><li><p>binding to one site in one domain effects entire molec</p></li><li><p>binding = leads to struc change = changes affinity of all other sites</p></li><li><p>= <strong>cooperativity</strong> (communication)</p></li></ul></li><li><p>differs from single domain in 3 struc (myoglobin) = independent binding (O2 binding one sit does not effect others)</p></li></ul><p></p>
84
New cards

chemical cross-linking of oligomeric proteins

  • start w/ 2 subunits of quat prot & dimethylsuberimidate or glutaraldehyde

  • Lys on subunits reacts & creates cov bridge / cross-link between subunits/monomers

  • allows quat prot to undergo SDS or native so can properly determine molecular weight of proteins

    • SDS denatures and breaks down non-cov bonds that normally hold quat struct tg

    • get multiple bands (one per secondary struc)

  • limitations: concentration important

    • too much = cross linking of other dimers = create new, unwanted tetramers

<ul><li><p>start w/ 2 subunits of quat prot &amp; dimethylsuberimidate or glutaraldehyde</p></li><li><p><strong>Lys on subunits reacts &amp; creates cov bridge / cross-link between subunits/monomers</strong></p></li><li><p>allows quat prot to undergo SDS or native so can properly determine molecular weight of proteins</p><ul><li><p>SDS denatures and breaks down non-cov bonds that normally hold quat struct tg</p></li><li><p>get multiple bands (one per secondary struc)</p></li></ul></li><li><p>limitations: concentration important</p><ul><li><p>too much = cross linking of other dimers = create new, unwanted tetramers</p></li></ul></li></ul><p></p>
85
New cards

protein-protein interactions

  1. surface-string

    1. primary struc of 1 subunit inserts self into another subunit

  2. helix-helix

    1. 2 polypeps react to form helical interface

  3. surface-surface

    1. 1 surface complementary to other = topology allows perfect fit/binding of interfaces

    2. most common

<ol><li><p>surface-string</p><ol><li><p>primary struc of 1 subunit inserts self into another subunit</p></li></ol></li><li><p>helix-helix</p><ol><li><p>2 polypeps react to form helical interface</p></li></ol></li><li><p>surface-surface</p><ol><li><p>1 surface complementary to other = topology allows perfect fit/binding of interfaces</p></li><li><p>most common</p></li></ol></li></ol><p></p>
86
New cards

induced fit model

  • free form (random coil) induced to change conf to adopt defined secondary struc upon binding 

  • shows plasticity of geometry

  • leads to stronger binding upon fold

<ul><li><p>free form (random coil) induced to change conf to adopt defined secondary struc upon binding&nbsp;</p></li><li><p>shows plasticity of geometry</p></li><li><p>leads to stronger binding upon fold</p></li></ul><p></p>
87
New cards

GRASP

  • graphical representation and analysis of surface properties

  • uses colors to determine distributions of ionic charge

    • ex. red = neg, blue = pos, white = neutral

  • can use to predict how prot will interact w/ other charged molecs

  • computer-derived molec

<ul><li><p>graphical representation and analysis of surface properties</p></li><li><p>uses colors to determine distributions of ionic charge</p><ul><li><p>ex. red = neg, blue = pos, white = neutral</p></li></ul></li><li><p>can use to predict how prot will interact w/ other charged molecs</p></li><li><p>computer-derived molec</p></li></ul><p></p>
88
New cards

Chou-Fasman method

  • set of rules that allows you to determine what secondary structure will arise based on characteristics of primary structure/amino acid composition

  • uses frequency and propensity

  • input primary struc into computer = determine where alpha, beta, and turns will occur based on polypep chain & propensity & hydropathy values

<ul><li><p>set of rules that allows you to determine what secondary structure will arise based on characteristics of primary structure/amino acid composition</p></li><li><p>uses frequency and propensity</p></li><li><p>input primary struc into computer = determine where alpha, beta, and turns will occur based on polypep chain &amp; propensity &amp; hydropathy values</p></li></ul><p></p>
89
New cards

frequency

  • the statistically derived likelihood or propensity that a specific amino acid will be found in a particular type of protein secondary structure

  • greater frequency = greater likelihood amino acid will contribute to forming structure 

  • = f alpha = n alpha / n

    • n alpha = number of amin acid residues of the given type (ex. alanine) that occur in alpha helices

    • n = total number of residues in of this type (ex. total number of alanines in protein set)

90
New cards

propensity

  • the tendency of an amino acid to prefer one type of amino acid structure over another

  • determined by: P alpha = f alpha / <falpha>

    • <falpha> = average value of f alpha for all 20 residues 

  • when P alpha > 1 = residue occurs w/ greater than average frequency in an alpha helix

    • 1 = average frequency

    • if p very low = strong break = usually Proline or Glycine (induces kink & disrupts secondary structure)

  • changes over time as more prot analyzed = living study

91
New cards

Rose method

  • occur on surface of protein

  • occur at positions along a polypep chain when hydropathy goes from max to min (excluding helical regions)

  • predicts where turns in struc will occur

92
New cards

hydropathy scale

  • very high positive values = very hydrophobic (interior)

  • very negative = very hydrophilic (exterior)

<ul><li><p>very high positive values = very hydrophobic (interior)</p></li><li><p>very negative = very hydrophilic (exterior)</p></li></ul><p></p>
93
New cards

reductive denaturation & oxidative renaturation

  • use reducing agent (mercaptoethanol) & denaturing agent (urea) to break down tertiary and secondary struc = become random coil

    • reduction = remove disulfide bonds (S-S to SH)

    • denature = unravel (cystine → cysteine)

  • remove both at once = back to same (FOR RNase and some prot)

  • remove just reducing agent = disulfide bonds form in wrong places

    • then remove urea = enzymatically inactive prot generated

    • have to add small amt of reducing back to loosen bond just enough for port to hopefully refold into correct protein

<ul><li><p>use reducing agent (mercaptoethanol) &amp; denaturing agent (urea) to break down tertiary and secondary struc = become random coil</p><ul><li><p>reduction = remove disulfide bonds (S-S to SH)</p></li><li><p>denature = unravel (cystine → cysteine)</p></li></ul></li><li><p>remove both at once = back to same<strong> (FOR RNase and some prot)</strong></p></li><li><p>remove just reducing agent = disulfide bonds form in wrong places</p><ul><li><p>then remove urea = <strong>enzymatically inactive</strong> prot generated</p></li><li><p>have to add small amt of reducing back to loosen bond just enough for port to hopefully refold into correct protein</p></li></ul></li></ul><p></p>
94
New cards

heat-induced protein denaturation curve (for RNase A)

  • plot fractional change against Tm

    • fractional change = any measured parameter

  • S-shaped curve = implies cooperativity

    • once begins denaturing at one site = everything begins to denature

    • steeper slope = greater cooperativity

  • denaturing & renaturing = reversible process

    • due to temp (denature w/ heat & renature upon cooling)

    • conclusion: everything polypep needs to fold is in primary struc

      • catalytically active after each transition thru curve

<ul><li><p>plot fractional change against Tm</p><ul><li><p>fractional change = any measured parameter</p></li></ul></li><li><p>S-shaped curve = implies <strong>cooperativity</strong></p><ul><li><p>once begins denaturing at one site = everything begins to denature</p></li><li><p>steeper slope = greater cooperativity</p></li></ul></li><li><p>denaturing &amp; renaturing = reversible process</p><ul><li><p>due to temp (denature w/ heat &amp; renature upon cooling)</p></li><li><p><strong>conclusion</strong>: everything polypep needs to fold is in primary struc</p><ul><li><p>catalytically active after each transition thru curve</p></li></ul></li></ul></li></ul><p></p>
95
New cards

Tm

  • melting temp for proteins

  • characteristic value

  • measures thermal stability of protein

  • higher Tm = harder to unravel = more stable prot

96
New cards

Hofmeister series

  • shows the effect of concentration and slats on Tm

  • chaotropic salts = reduce Tm & destabilize protein

    • make easier to denature & unravel prot by weakening hydrophob bonds

<ul><li><p>shows the effect of concentration and slats on Tm</p></li><li><p><strong>chaotropic salt</strong>s = reduce Tm &amp; destabilize protein</p><ul><li><p>make easier to denature &amp; unravel prot by<strong> weakening hydrophob bonds</strong></p></li></ul></li></ul><p></p>
97
New cards

some determinants of protein folding

  • helices/sheets predominate in proteins bc they fill space efficiently

    • why prot density = same

    • secondary struc pack very efficiently

  • prot folding is directed mainly by interna; residues (protein folding is driven by hydrophobic forces → the hydrophobic effect)

    • hydrophob must be folded in core

    • immobile H2O molecs in unfolded prot in core → more mobile in aq

    • increases S = neg G

  • prot folding dep on primary struc (amino acid sequence)

    • but not case for all prot → may have other influencing factors

      • slow rate of folding = post-trans folding

      • fast rate of folding = folding during trans (on ribosome)

98
New cards

hydrophobic effect & protein folding

  • ex. fav folding for hydrophob molec moving from water to hydrophob solvent

  • H = post

  • S = neg

    • water molec release from hydrophob molec = increase entropy

  • = -G

    • fav to fold (denature prot to folded prot)

99
New cards

Levinthal Paradox

  • crude estimate of the time required for protein folding

  • conclusion: proteins must fold via ordered pathway or set of pathways bc time for random folding = greater than age of universe

    • based on conformations of phi and psi (not based on Ramachandran bc unfold prot)

100
New cards

stopped-flow device

  • very fast way to mix two solutions (very low dead time)

    • ex. reducing & dentauring agent

  • then observe prot folding in detector

    • denat/renat or earlu stages of prot folding

  • vary dead times to observe dif stages of prot folding

  • detection/analysis via:

    • UV absob (look at aromatic aa = primary struc)

    • CD spectrum (measure secondary struc) = better method

<ul><li><p>very fast way to mix two solutions (very low dead time)</p><ul><li><p>ex. reducing &amp; dentauring agent</p></li></ul></li><li><p>then observe prot folding in detector</p><ul><li><p>denat/renat or earlu stages of prot folding</p></li></ul></li><li><p>vary dead times to observe dif stages of prot folding</p></li><li><p>detection/analysis via:</p><ul><li><p>UV absob (look at aromatic aa = primary struc)</p></li><li><p>CD spectrum (measure secondary struc) = <strong>better method</strong></p></li></ul></li></ul><p></p>