1/16
Looks like no tags are added yet.
Name | Mastery | Learn | Test | Matching | Spaced |
|---|
No study sessions yet.



ROH (or RONa), pyr

H2O or NaOH

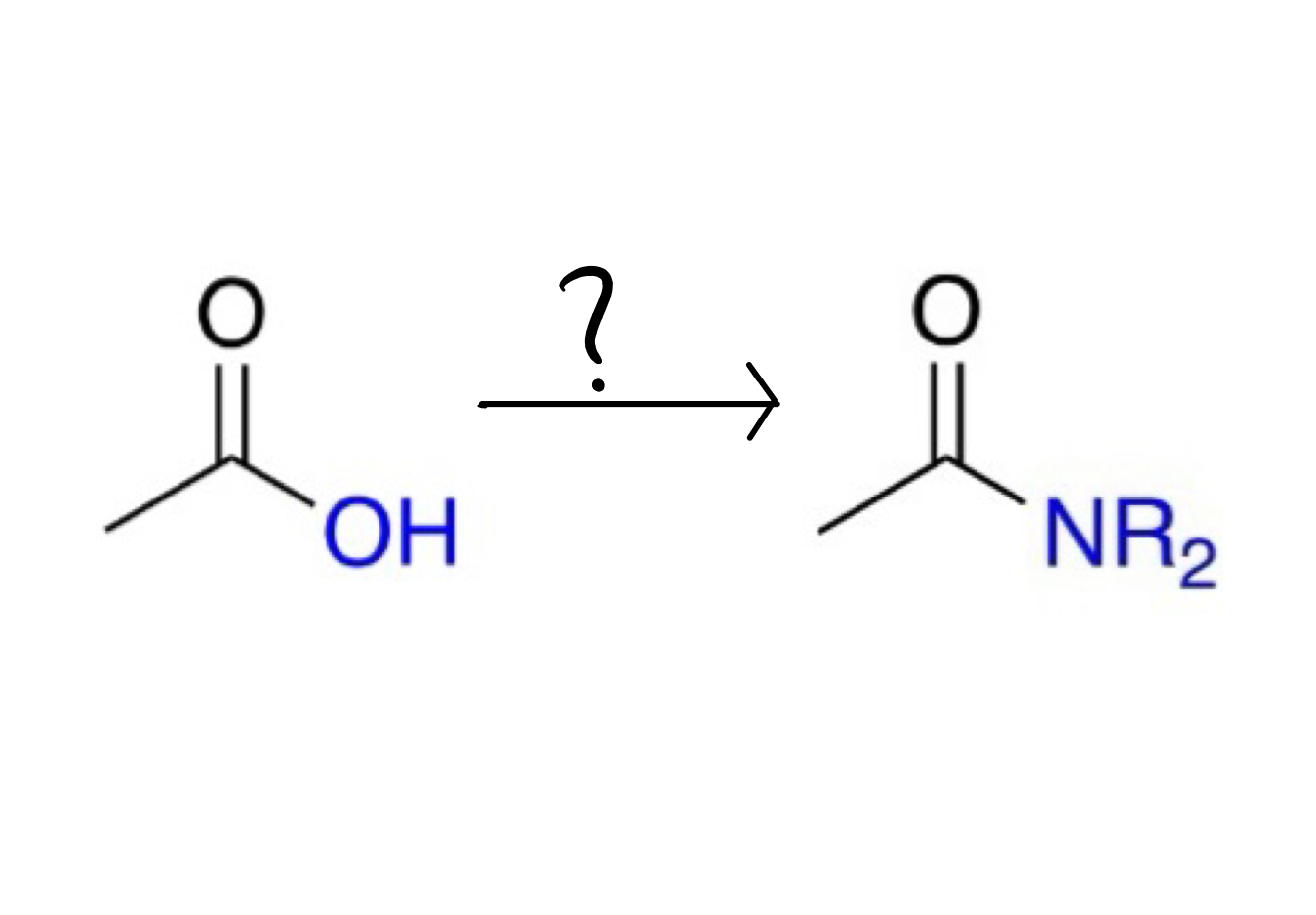
HNR2 (2 equivalents)

H2O or NaOH

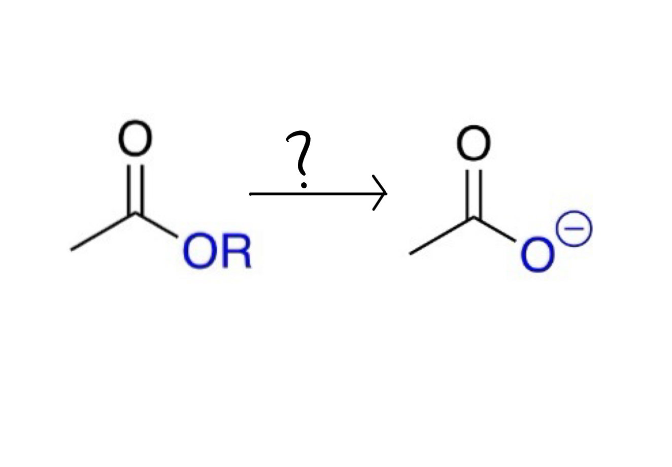
ROH or NaOR

HNR2 (2 equivalents)

H3O+, heat

HNR2 (2 equivalents)

NaOH

ROH, [H+]

NO REACTION

Base

NaOH

Acid

H3O+, heat

SOCl2