 Call Kai
Call Kai Learn
Learn Practice Test
Practice Test Spaced Repetition
Spaced Repetition Match
Match1/11
Chapter 2 ONLY
| Name | Mastery | Learn | Test | Matching | Spaced | 
|---|
No study sessions yet.
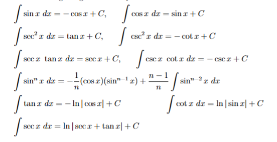
Provided list of integrals.

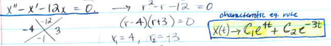
(sec 2.2) Solve x’’-x’-12x = 0.

(sec 2.2) Solve x’’+4x’+4x = 0.

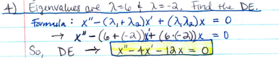
(sec 2.2) If the eigenvalues are λ=6 and λ=-2, then find the DE.

(sec 2.2) Solve the DE x’’+2x’+5x = 0.

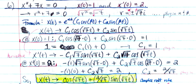
(sec 2.2) Solve x’’+7x = 0, x(0)=1 and x’(0)=2.

Solve x’’+3x = 4e-5t.

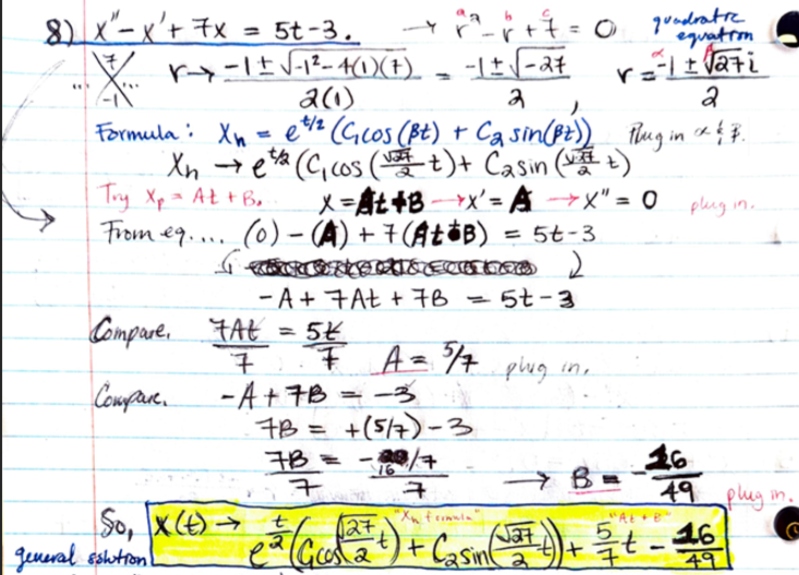
(sec 2.3) Find the general solution of x’’-x’+7x = 5t-3

(sec 2.3) Find the general solution of x’’-x = 5e-t.

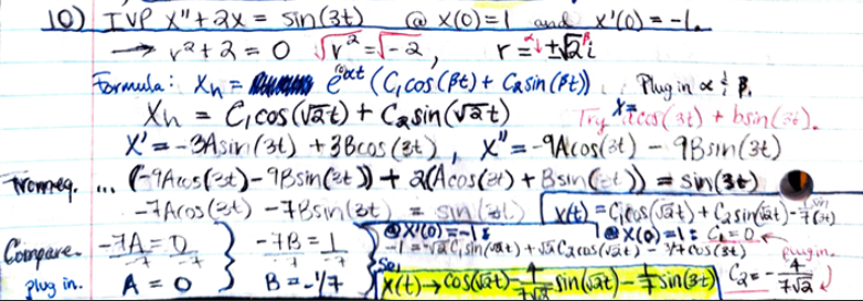
(sec 2.3) Solve IVP of x’’+2x = sin3t, x(0)=1 and x’(0)= -1.

(sec 2.3) Consider an RCL circuit with R = 2, L = C = 1, with current being driven by an electromotive force of 2 sin 2t. The circuit equation for the charge Q(t) across the capacitor is Q′′ +2Q′ +Q = 2 sin 2t, with Q(0) = 4 and Q′(0) = 0. Solve the equation.

(sec 2.5) Solve the nonhomogeneous DE of x′′′ − 2x′′ − 3x′ = 5e4t.
