MD 2: LEC 1: V-BELT AND DRIVES FORMULAS

0.0(0)
studied byStudied by 0 people
full-widthCall with Kai
GameKnowt Play
learnLearn
examPractice Test
spaced repetitionSpaced Repetition
heart puzzleMatch
flashcardsFlashcards
Card Sorting

1/20

encourage image

There's no tags or description

Looks like no tags are added yet.

Study Analytics
Name
Mastery
Learn
Test
Matching
Spaced

No study sessions yet.

21 Terms

1
New cards

open: angle and length
sin α, θ1, θ2, L-belt

<p></p>
2
New cards

cross: angle and length
sin α, θ1, θ2, L-belt

<p></p>
3
New cards

belt speed and velocity ratio

knowt flashcard image
4
New cards

belt slip

knowt flashcard image
5
New cards

Flat belt: Tension of belt

knowt flashcard image
6
New cards

Torque

knowt flashcard image
7
New cards

Net belt pull

knowt flashcard image
8
New cards

Bending Load

knowt flashcard image
9
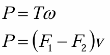
New cards

Power

knowt flashcard image
10
New cards

Centrifugal Tension

knowt flashcard image
11
New cards

Mass for Centrifugal Tension

knowt flashcard image
12
New cards

Belt Tension with Fc

knowt flashcard image
13
New cards

Belt Max Stress w/ and w/o Fc

knowt flashcard image
14
New cards

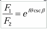
V-belt: Ratio of Driving Tension

knowt flashcard image
15
New cards

Fibre Rope: Ratio of Driving Tension

knowt flashcard image
16
New cards

Roller Chain: Pitch and Pitch Circle Diameter

knowt flashcard image
17
New cards

Roller Chain: Velocity Ratio

knowt flashcard image
18
New cards

Roller Chain: Average Velocity

knowt flashcard image
19
New cards

Roller Chain: Length of Chain

knowt flashcard image
20
New cards

Roller Chain: # of Chain Links

knowt flashcard image
21
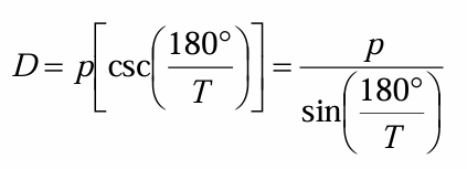
New cards

Roller Chain: Center Distance

knowt flashcard image