1/8
Looks like no tags are added yet.
Name | Mastery | Learn | Test | Matching | Spaced |
|---|
No study sessions yet.

Reaction 1
Enzyme: citrate synthase
Oxaloacetate + Acetyl CoA —— citryl CoA —-- citrate
Purpose : bring new carbons into the citric acid cycle
IRREVERSIBLE

Reaction 2
Enzyme: aconitase
citrate — isocitrate
Purpose : moving hydroxyl to C2, create a secondary (2°) alcohol so that electrons can be generated in the subsequent reaction.

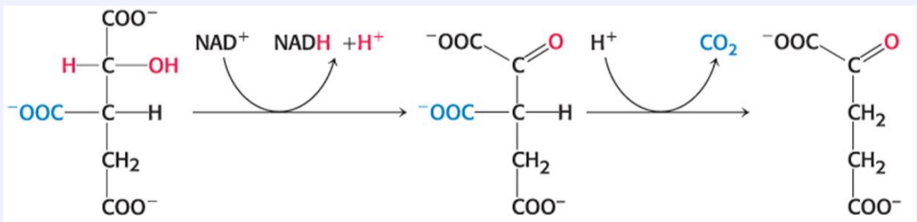
Reaction 3
Enzyme: isocitrate dehydrogenase
isocitrate —- oxalosuccinate —- alpha-ketoglutarate
Purpose : directly generate electrons for electron transport
IRREVERSIBLE

Reaction 4
Enzyme: alpha-ketoglutartate dehydrogenase complex
alpha-ketoglutarate —- succinyl CoA
Purpose : directly generate electrons for electron transport.
IRREVERSIBLE

Reaction 5
Enzyme: succinyl CoA Synthetase
succinyl CoA —- succinate
Purpose: produce a molecule of ATP by substrate level phosphorylation.

Reaction 6
Enzyme: succinate dehydrogenase
succinate —- fumarate
Purpose: directly generate electrons for electron transport.
inner mitochondrial matrix, electron transport complex II

Reaction 7
Enzyme: fumerase
fumarate —-- malate
Purpose: create a secondary (2°) alcohol so that electrons can be generated in the subsequent reaction.

Reaction 8
Enzyme: malate dehydrogenase
malate —- oxaloacetate
Purpose: directly generate electrons for electron transport.
What substrates are biosynthetic precursors?
oxaloacetate, citrate, alpha-ketoglutarate, succinyl CoA