Trig Integrals and Derivatives

0.0(0)
studied byStudied by 0 people
full-widthCall with Kai
GameKnowt Play
learnLearn
examPractice Test
spaced repetitionSpaced Repetition
heart puzzleMatch
flashcardsFlashcards
Card Sorting

1/11

flashcard set

Earn XP

Description and Tags

Trig integrals for Cal II Test 2 (also includes derivatives and integrals of exponential functions)

Study Analytics
Name
Mastery
Learn
Test
Matching
Spaced

No study sessions yet.

12 Terms

1
New cards

∫ tanx dx = ?

-ln|cosx| + C

2
New cards

∫ secx dx = ?

ln|secx+tanx| + C

3
New cards

∫ cscx dx = ?

-ln|cscx+cotx| + C

4
New cards

∫ cotx dx = ?

-ln|cscx| + C

5
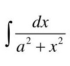
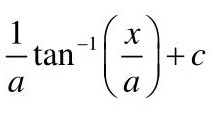
New cards
<p>How would you write the antiderivative of the expression in the following image?</p><p></p>

How would you write the antiderivative of the expression in the following image?

knowt flashcard image
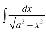
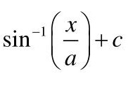
6
New cards
<p>How would you write the antiderivative of the expression in the following image?</p>

How would you write the antiderivative of the expression in the following image?

knowt flashcard image
7
New cards
<p>How would you write the antiderivative of the expression in the following image? (Where u replaces the variable x)</p>

How would you write the antiderivative of the expression in the following image? (Where u replaces the variable x)

knowt flashcard image
8
New cards

dy/dx cotx = ?

-csc²x

9
New cards

dy/dx cscx = ?

-cscxcotx

10
New cards

dy/dx a^{x} = ?

a^{x}\ln\left(a\right)

11
New cards

\int e^{ax+b}  = ?

\frac{1}{a}e^{ax+b}+C

12
New cards

\int ae^{ax} = ?

e^{ax}+C