20 Amino Acids

0.0(0)
studied byStudied by 6 people
0.0(0)
full-widthCall with Kai
GameKnowt Play
New
learnLearn
examPractice Test
spaced repetitionSpaced Repetition
heart puzzleMatch
flashcardsFlashcards
Card Sorting

1/19

encourage image

There's no tags or description

Looks like no tags are added yet.

Study Analytics
Name
Mastery
Learn
Test
Matching
Spaced

No study sessions yet.

20 Terms

1
New cards
term image

Glycine (Gly or G), hydrophobic, nonpolar 

2
New cards
term image

Alanine (Ala or A), hydrophobic, nonpolar

3
New cards
term image

Valine (Val or V), hydrophobic, nonpolar

4
New cards
term image

Leucine (Leu or L), hydrophobic, nonpolar

5
New cards
term image

Isoleucine (ILe or I), nonpolar, hydrophobic

6
New cards
term image

Methionine (Met or M), nonpolar, hydrophobic

7
New cards
term image

Phenylalanine (Phe or F), nonpolar, hydrophobic

8
New cards
term image

Trytophan (Trp or W), nonpolar, hydrophobic

9
New cards
term image

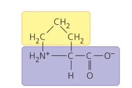
Proline (Pro or P), nonpolar, hydrophobic

10
New cards
term image

Serine (Ser or S), polar, hydrophilic

11
New cards
term image

Threonine (Thr or T), polar, hydrophilic

12
New cards
term image

Cysteine (Cys or C), polar/nonpolar, hydrophilic

13
New cards
term image

Tyrosine (Tyr or Y), polar, hydrophilic

14
New cards
term image

Asparagine (Asn or N), polar, hydrophilic

15
New cards
term image

Glutamine (Gln or Q), polar, hydrophilic

16
New cards
term image

Aspartic acid (Asp or D), acidic, hydrophilic, negatively charged

17
New cards
term image

Glutamic acid (Glu or E), acidic, hydrophilic, negatively charged

18
New cards
term image

Lysine (Lys or K), basic, hydrophilic, positively charged

19
New cards
term image

Arginine (Arg or R), basic, hydrophilic, positively charged

20
New cards
term image

Histidine (His or H), basic, hydrophilic, positively charged