1/10
Looks like no tags are added yet.
Name | Mastery | Learn | Test | Matching | Spaced |
|---|
No study sessions yet.

Benennen sie folgende Moleküle mit dem richtigen Namen:

Zeichnen sie die Strukturformel(Skelettformel) von vier verschiedenen Isomeren Octanen C8H18 und benennen sie diese eindeutig. Das Unverzweigte Octan zählt nicht zu den Vier Isomeren Octanen.

Zeichnen sie die Skelettformel von folgenden Verbindungen:
a) 3-Methylhexan
b) 2,3-Dimethylhept-1,5-dien
c) 1-Chlor-3-ethyl-2-methyl-cytopentan
d) (E)-3-Hydroxy-4,7-dimethyloct-5-ensäurepropylester


Stellen sie folgende Organische Moleküle mittels Skelettformel das und benennen sie sie:

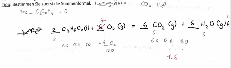
Formulieren sie unter Angabe der Aggregatszustände die Reaktionsgleichung für die vollständige Verbrennung der im Bild abgebildeten Teilaufgabe genannter Molekularverbindung - dabei handelt es sich um eine Flüssigkeit.

Formulieren sie die Folgende Reaktion als Reaktionsgleichung mit Strukturformeln ( Skelettformel wählen)


Identifizieren sie im folgenden Molekül acht verschiedene funktionelle Gruppen und beschriften diese.

Zeichnen sie das Molekül Pentaoctan in der Lewisstruktur und notieren sie ver mögliche stabile Crackprodukte.

welche drei Mechanismen gibt es beim Cracken( Stichworte genügen)
H-Atome werden übergeben
Homolytische Bindung(Spaltung einer Elektronenpaarbindung)
Ungepaarte Elektro
Stellen sie sich vor, dass sie im Tiefsten Winter in Finnland an der Tankstellen stehen. Die Temperatur beträgt 258 Kelvin( Dies entspricht ungefähr -15°C). Dürfen sie sich reintheoetisch gefahrlos eine Zigarette unter den gegebenen Umständen anzünden? Begründen sie:
Dies wäre eine schlechte Idee. Die Zigarette brennt mit einer viel höheren Temperatur als die von Benzin. Wenn also ein Funke von der Zigarette ins Benzin fällt, entzündet es sich. Die Umgebungsthemperatur von -15°ist auch warm genug, dass das Benzin weiterbrennen wird, da dessen flemmenthempe
Erkläre den Unterschied zwischen einem Feuer, einer Verpuffung und einer Explosion.