1/38
Looks like no tags are added yet.
Name | Mastery | Learn | Test | Matching | Spaced |
|---|
No study sessions yet.
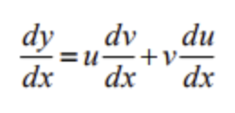
Product rule
if y=uv then
dy/dx = v(du/dx) + u(dv/dx)

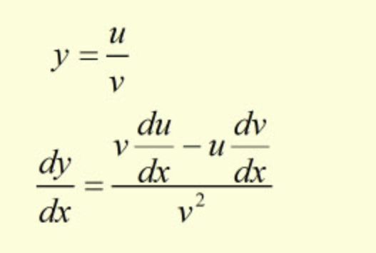
Quotient rule
if y=u/v
dy/dx = (v(du/dx) - u(dv/dx))/v^2




cos double angle formulae
cos2A = cos^A - sin^A
cos2A = 2cos^A - 1
cos2A = 1 - 2sin^A

tan double angle formula
tan2A = 2tanA/(1 - tan^2A)

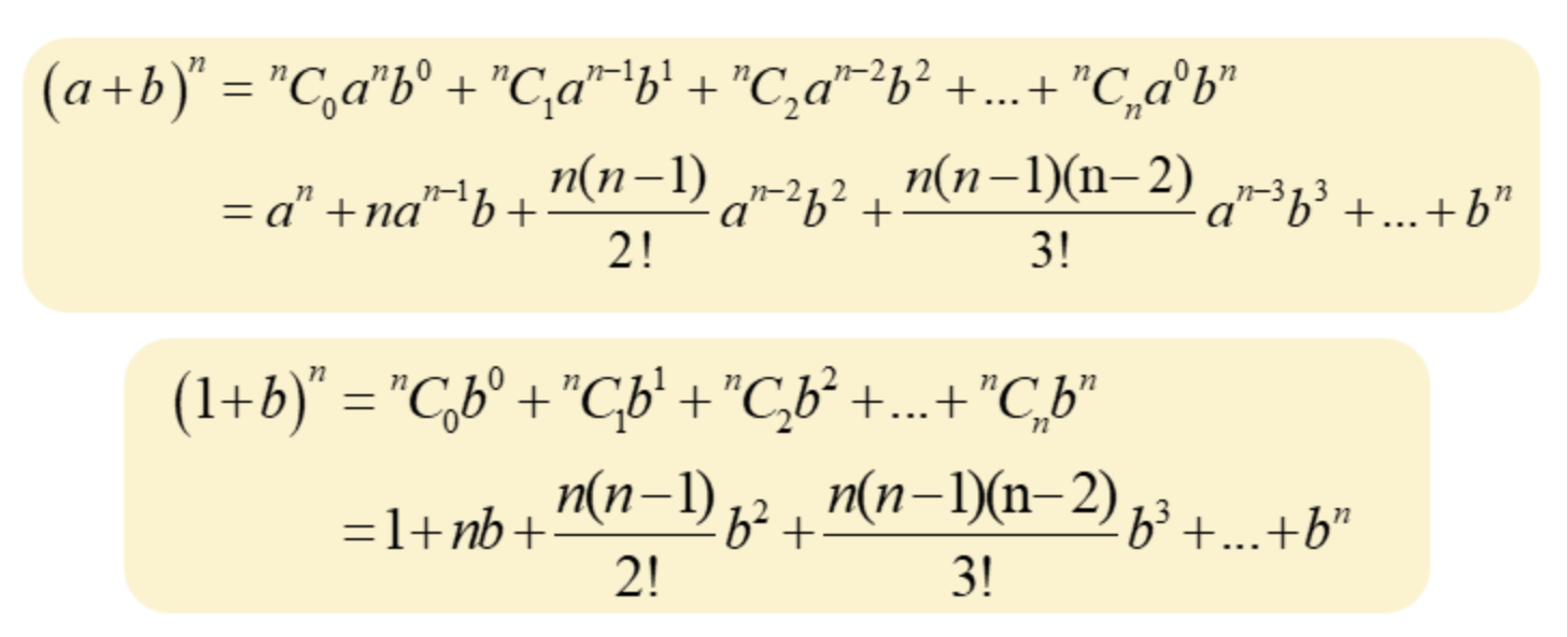
Binomial: (1+ax)^n
1 + ax + n(n-1)(ax)^2/2! + n(n-1)(n-2)(ax)^3/3!

Power reduction formula: cos
cos^2A = (1 + cos2A)/2

Power reduction formula: sin
sin^2A = (1-cos2A)/2

Power reduction formula: tan

conditional probability formula

basic probability formulae

mean and standard deviation formulae

Expected value for discrete probability distributions
E(X)=Σx*P(X=x)
Binomial and geometric distribution

Conditions needed for binomial distribution
A fixed number of trials
Each trial must be independent of the others.
There are only two mutually exclusive outcomes for each trial (success or failure).
Constant probability of success.
Geometric sequence Un

Geometric sequence Sn

Geometric sequence sum to infinity
-1<r<1

Coding
Y= aX+b
E(Y)=aE(X)+b
Var(Y)=a²Var(X)
Normal distribution: finding Z

conditions for binomial to be approximated to normal
np>5
nq>5
Normal distribution of the sample mean
