AP CALC BC SA ASSESMENT

0.0(0)
studied byStudied by 0 people
0.0(0)
full-widthCall with Kai
GameKnowt Play
New
learnLearn
examPractice Test
spaced repetitionSpaced Repetition
heart puzzleMatch
flashcardsFlashcards
Card Sorting

1/18

encourage image

There's no tags or description

Looks like no tags are added yet.

Study Analytics
Name
Mastery
Learn
Test
Matching
Spaced

No study sessions yet.

19 Terms

1
New cards

Evaluating limits analytically

  • plug in to get an answer. If you get 0/0, there may still be a limit.

  • Factor, simplify, use conjugates to find potential holes in your graph that could be cancelled to reveal the limit. If it’s an asymptote, it’s either infinity or (-) infinity

  • If still sumn/0, it DNE. Occurs w/ asymptote in opposite directions

2
New cards

Squeeze theorem

knowt flashcard image
3
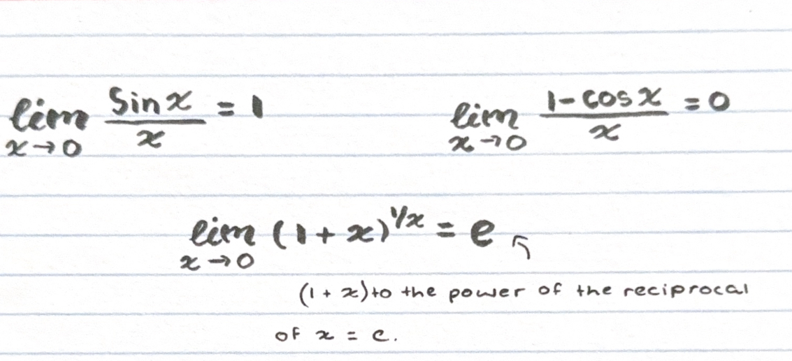
New cards

Trig limits

knowt flashcard image
4
New cards

Continuity & discontinuity

knowt flashcard image
5
New cards

Greatest integer function

knowt flashcard image
6
New cards

IVT

knowt flashcard image
7
New cards

Infinite limits

knowt flashcard image
8
New cards

Average Rate of Change

knowt flashcard image
9
New cards

Instantaneous Rate of Change

find the derivative of the given x value

10
New cards

differentiation rules

knowt flashcard image
11
New cards

Physics C

knowt flashcard image
12
New cards

Trig Derivatives

knowt flashcard image
13
New cards

Product & Quotient rules

knowt flashcard image
14
New cards

Derivative notations & higher order derivatives notations

theres no shortcut. you find the derivative, then find the derivative of that.

<p>theres no shortcut. you find the derivative, then find the derivative of that.</p>
15
New cards

Limit Definition

knowt flashcard image
16
New cards

Alternate form

knowt flashcard image
17
New cards

Volume of specific shapes

knowt flashcard image
18
New cards

Reminders

  • rewrite negative exponents

  • Units when possible

  • Simplify fractions as much as possible.

19
New cards

Implicit higher order

Plug in 1st derivitive if you still hv a y’ in the 2nd derivative