1/7
Looks like no tags are added yet.
Name | Mastery | Learn | Test | Matching | Spaced |
|---|
No study sessions yet.
General: Arithmetic Formula
tn= tsub1 +(n-1) d

General: Geometric Formula
tn= t sub 1 x r exponent (n-1)

Sum of a Finite Arithmetic Series:
S of n = n(t sub 1 +t sub n) / 2 or

Sum of a Finite Geometric Series
S of n = t sub 1 (1 - r exponent n) / 1 -r
OR
S of n = t sub 1 - t sub n x r / 1 - r

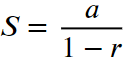
Sum for an infinite geometric series:

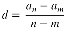
How do you find the common difference of an arithmetic sequence if the gap is to large?

How do you find the rate of an geometric sequence if the gap is to large?
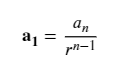
THIS FORMULA CAN BE ADAPTED IN ORDER TO FIND THE LATER TERM AND ITS POSITION * REFER TO SECOND PICTURE
THIS ONLY APPLIES TO GEOMETRIC SEQUENCES

WHAT IS THE DIFFERENCE BETWEEN A SEQUENCE AND A SERIES?
a sequence is an ordered list of numbers, while a series is the sum of those numbers in the list.