Lecture 5 Polymer Degradation and Design of Degradable Biomaterials

0.0(0)
studied byStudied by 0 people
full-widthCall with Kai
GameKnowt Play
learnLearn
examPractice Test
spaced repetitionSpaced Repetition
heart puzzleMatch
flashcardsFlashcards
Card Sorting

1/17

encourage image

There's no tags or description

Looks like no tags are added yet.

Study Analytics
Name
Mastery
Learn
Test
Matching
Spaced

No study sessions yet.

18 Terms

1
New cards

Degradation and Erosion

  • Degradation: ____ process resulting in the ____
    of covalent bonds in the ___ or ____.

    • _____

    • ______

    • _____

  • Erosion: ____ change in size, shape or mass as a
    result of either ____ or simply ___

  • Bioerosion

    • Water-____ being converted into water-___ under physiological condition. Including both physical (___) and chemical (____ __  _____) process.

  • Degradation: chemical process resulting in the cleavage
    of covalent bonds in the backbone or crosslinks.

    • Oxidative

    • Enzymatic

    • Hydrolytic

  • Erosion: physical change in size, shape or mass as a
    result of either degradation or simply dissolution

  • Bioerosion

    • Water-insoluble being converted into water-soluble under physiological condition. Including both physical (dissolution) and chemical (cleavage of backbone) process.

2
New cards

How does erosion driven by chemical processes look 1?

Cleavage of crosslinks between water soluble polymer chains

<p>Cleavage of crosslinks between water soluble polymer chains</p>
3
New cards

How does erosion driven by chemical processes look 2?

Transformation or cleavage of side chains (X) leading to
the formation of polar or charged groups (Y).

<p><span style="color: rgb(255, 255, 255);">Transformation or cleavage of side chains (X) leading to</span><span style="color: rgb(255, 255, 255);"><br></span><span style="color: rgb(255, 255, 255);">the formation of polar or charged groups (Y).</span></p>
4
New cards

How does erosion driven by chemical processes look 3?


Cleavage of backbone linkages between polymer repeat units

<p><br><span>Cleavage of backbone linkages between polymer repeat units</span></p>
5
New cards

What are some physical modes of Bioerosion?

  • Bulk erosion

    • The rate of water penetration into the solid device > the rate at which the polymer
      is transformed into water soluble materials

  • Surface erosion

    • The rate of water penetration into the solid device < the rate at which the polymer is transformed into water soluble materials.

    • This happens when polymers are hydrophobic and the degradation reaction is at a high rate. Polyanhydrides and poly(orthoesters) undergo surface erosion.


<ul><li><p><span style="color: rgb(252, 252, 252);">Bulk erosion</span></p><ul><li><p><span style="color: rgb(252, 252, 252);">The rate of water penetration into the solid device &gt; the rate at which the polymer</span><span style="color: rgb(252, 252, 252);"><br></span><span style="color: rgb(252, 252, 252);">is transformed into water soluble materials</span></p></li></ul></li><li><p><span style="color: rgb(252, 252, 252);">Surface erosion</span></p><ul><li><p><span style="color: rgb(252, 252, 252);">The rate of water penetration into the solid device &lt; the rate at which the polymer is transformed into water soluble materials.</span></p></li><li><p><span style="color: rgb(252, 252, 252);">This happens when polymers are hydrophobic and the degradation reaction is at a high rate. Polyanhydrides and poly(orthoesters) undergo surface erosion.</span></p></li></ul></li></ul><p><span style="color: rgb(252, 252, 252);"><br></span></p>
6
New cards

Polymer Degradation-Oxidative

  • Polymer chain attacked by reactive species (free radicals or oxidative ions produced by the inflammatory process or metal implant corrosion).

  • Initiation steps:

    • Homolysis
      • R-R ➔2R.

    • Heterolysis
      • R-R➔R++R-

  • Not a common choice for designing a degradable polymer

    • Exception: ROS (reactive oxygen species) responsive materials

<ul><li><p><span style="color: rgb(255, 255, 255);">Polymer chain attacked by reactive species (free radicals or oxidative ions produced by the inflammatory process or metal implant corrosion).</span></p></li><li><p><span style="color: rgb(255, 255, 255);">Initiation steps:</span></p><ul><li><p><span style="color: rgb(255, 255, 255);">Homolysis</span><span style="color: rgb(255, 255, 255);"><br></span><span style="color: rgb(255, 255, 255);">• R-R ➔2R<strong><sup>.</sup></strong></span></p></li><li><p><span style="color: rgb(255, 255, 255);">Heterolysis</span><span style="color: rgb(255, 255, 255);"><br></span><span style="color: rgb(255, 255, 255);">• R-R➔R++R-</span></p></li></ul></li><li><p><span style="color: rgb(255, 255, 255);">Not a common choice for designing a degradable polymer</span></p><ul><li><p><span style="color: rgb(255, 255, 255);">Exception: ROS (reactive oxygen species) responsive materials</span></p></li></ul></li></ul><p></p>
7
New cards

Polymer Degradation - Enzymatic

  • Major degradation mechanism for natural polymers

  • Selective: protease, esterase, lipases, glycosidase, nucleosidase

  • Not predictable as the levels of enzymes varies from time to time, location to location and subject to subject

  • Polymer may be designed to degrade by a specific cell type or specific biological condition

  • Surface erosion can be realized by enzyme-mediated degradation

<ul><li><p><span style="color: rgb(255, 255, 255);">Major degradation mechanism for natural polymers</span></p></li><li><p><span style="color: rgb(255, 255, 255);">Selective: protease, esterase, lipases, glycosidase, nucleosidase</span></p></li><li><p><span style="color: rgb(255, 255, 255);">Not predictable as the levels of enzymes varies from time to time, location to location and subject to subject</span></p></li><li><p><span style="color: rgb(255, 255, 255);">Polymer may be designed to degrade by a specific cell type or specific biological condition</span></p></li><li><p><span style="color: rgb(255, 255, 255);">Surface erosion can be realized by enzyme-mediated degradation</span></p></li></ul><p></p>
8
New cards

Polymer Degradation-Hydrolytic

  • Hydrolyzable groups: carbonyl bonded to heterochain elements (O, N, S), full list see Figure 5.8 next slide

  • Host induced
    – Neutral water
    – Ion-catalyzed
    – pH-catalyzed, low pH occurs at the acute inflammation or infection site
    – Enzyme-catalyzed


<ul><li><p><span style="color: rgb(255, 255, 255);">Hydrolyzable groups: carbonyl bonded to heterochain elements (O, N, S), full list see Figure 5.8 next slide</span></p></li><li><p><span style="color: rgb(255, 255, 255);">Host induced</span><span style="color: rgb(255, 255, 255);"><br></span><span style="color: rgb(255, 255, 255);">– Neutral water</span><span style="color: rgb(255, 255, 255);"><br></span><span style="color: rgb(255, 255, 255);">– Ion-catalyzed</span><span style="color: rgb(255, 255, 255);"><br></span><span style="color: rgb(255, 255, 255);">– pH-catalyzed, low pH occurs at the acute inflammation or infection site</span><span style="color: rgb(255, 255, 255);"><br></span><span style="color: rgb(255, 255, 255);">– Enzyme-catalyzed</span></p></li></ul><p><span style="color: rgb(255, 255, 255);"><br></span></p>
9
New cards

Factors Influencing the Hydrolytic Erosion

• Chemical stability of the linkage


Rate of degradation:
polyanhydrides > polyesters > polyamide

<p><span style="color: rgb(253, 248, 248);">• Chemical stability of the linkage</span></p><p></p><p><span style="color: rgb(253, 248, 248);"><br></span><span style="color: rgb(253, 248, 248);">Rate of degradation:</span><span style="color: rgb(253, 248, 248);"><br></span><span style="color: rgb(253, 248, 248);">polyanhydrides &gt; polyesters &gt; polyamide</span></p>
10
New cards

Factors Influencing the Hydrolytic Erosion II

  • The erosion rate is strongly dependent on the ability of
    water to penetrate into the polymeric matrix.

  • Hydrophobicity of the monomer
    – More polar groups, -OH, -COOH, -C=O, less hydrophobic
    – More nonpolar groups, phenyl, -CH3, more hydrophobic


Polyanhydride made of hydrophilic sebacic acid erodes 3
orders of magnitude faster than that made of hydrophobic
bis(carboxy phenoxy)propane


<ul><li><p><span style="color: rgb(255, 255, 255);">The erosion rate is strongly dependent on the ability of</span><span style="color: rgb(255, 255, 255);"><br></span><span style="color: rgb(255, 255, 255);">water to penetrate into the polymeric matrix.</span></p></li><li><p><span style="color: rgb(255, 255, 255);">Hydrophobicity of the monomer</span><span style="color: rgb(255, 255, 255);"><br></span><span style="color: rgb(255, 255, 255);">– More polar groups, -OH, -COOH, -C=O, less hydrophobic</span><span style="color: rgb(255, 255, 255);"><br></span><span style="color: rgb(255, 255, 255);">– More nonpolar groups, phenyl, -CH3, more hydrophobic</span></p></li></ul><p></p><p></p><p><span style="color: rgb(255, 255, 255);"><br></span><span style="color: rgb(255, 255, 255);">Polyanhydride made of hydrophilic sebacic acid erodes 3</span><span style="color: rgb(255, 255, 255);"><br></span><span style="color: rgb(255, 255, 255);">orders of magnitude faster than that made of hydrophobic</span><span style="color: rgb(255, 255, 255);"><br></span><span style="color: rgb(255, 255, 255);">bis(carboxy phenoxy)propane</span></p><p><span style="color: rgb(255, 255, 255);"><br></span></p>
11
New cards

More factors influecing the hydrolytic erosion:

  • Microstructure, ___ vs. ___ (glassy vs. rubbery)

    • ____ structure is resistant to the ___ penetration. Semicrystalline PLLA vs. amorphous D,L-PLA

    • _____ materials degrade faster when they are above Tg (____ state) than below Tg (____ state)

  • ____ molecular weight (molecular weight ____)

    • ____ the initial molecular weight, quicker to break down

  • Geometry and morphology, more ____ area, faster erosion

  • Additives, catalysts, plasticizers, may ___ or ___ H2O penetration

  • Mechanical stress: points of ____ ___ ____ degrade more rapidly;

  • Processing and fabrication, ~morphology, microstructure and residual stress

  • Microstructure, crystalline vs. amorphous (glassy vs. rubbery)

    • Crystalline structure is resistant to the water penetration. Semicrystalline PLLA vs. amorphous D,L-PLA

    • Amorphous materials degrade faster when they are above Tg (rubbery state) than below Tg (glassy state)

  • Initial molecular weight (molecular weight distribution)

    • Lower the initial molecular weight, quicker to break down

  • Geometry and morphology, more surface area, faster erosion

  • Additives, catalysts, plasticizers, may inhibit or aid H2O penetration

  • Mechanical stress: points of residue stress concentration degrade more rapidly;

  • Processing and fabrication, ~morphology, microstructure and residual stress


12
New cards

Degradable Biomaterials

  • Advantages:

    • Permanent implants may cause chronic inflammation, stress shielding, etc.

    • Degradable materials are gradually absorbed by the body and don’t permanently
      leave traces of residuals in the implantation sites.

    • The degradation rate can be adjustable according to the application needs

  • Biocompatibility considerations:

    • Neither the polymer nor its degradation products nor the subsequent metabolites
      should provoke excessive inflammation or toxicity

  • Storage, packaging, and sterilization stability:

    • Avoid moisture

    • Packed in air-tight aluminum-backed plastic foil, and stored at low temperature

    • Sterilization

      • Autoclaving and irradiation, bad

      • Ethylene oxide, OK

13
New cards

Applications of degradable biomaterials

  • Drug Delivery

    • Degradable polymer serves as a matrix or encapsulation.

    • The degradation properties are tailored to achieve optimal release kinetics of the drug or active agent

  • Temporary Support: sutures, bone fixation devices

    • Provide temporary mechanical support until the nature tissue heals and regains its strength

    • Adjust the degradation rate to the healing process

  • Tissue Engineering Scaffold

    • The surface should permit cell adhesion and growth;

    • The scaffold degradation rate should match the rate of tissue regeneration by the cell type of interest

  • Multifunctional

    • Example 1: Degradable bone nails or bone screws loaded with drug

    • Example 2: Biodegradable and drug-eluting stents


<ul><li><p><span style="color: rgb(255, 255, 255);">Drug Delivery</span></p><ul><li><p><span style="color: rgb(255, 255, 255);">Degradable polymer serves as a matrix or encapsulation.</span></p></li><li><p><span style="color: rgb(255, 255, 255);">The degradation properties are tailored to achieve optimal release kinetics of the drug or active agent</span></p></li></ul></li><li><p><span style="color: rgb(255, 255, 255);">Temporary Support: sutures, bone fixation devices</span></p><ul><li><p><span style="color: rgb(255, 255, 255);">Provide temporary mechanical support until the nature tissue heals and regains its strength</span></p></li><li><p><span style="color: rgb(255, 255, 255);">Adjust the degradation rate to the healing process</span></p></li></ul></li><li><p><span style="color: rgb(255, 255, 255);">Tissue Engineering Scaffold</span></p><ul><li><p><span style="color: rgb(255, 255, 255);">The surface should permit cell adhesion and growth;</span></p></li><li><p><span style="color: rgb(255, 255, 255);">The scaffold degradation rate should match the rate of tissue regeneration by the cell type of interest</span></p></li></ul></li><li><p><span style="color: rgb(255, 255, 255);">Multifunctional</span></p><ul><li><p><span style="color: rgb(255, 255, 255);">Example 1: Degradable bone nails or bone screws loaded with drug</span></p></li><li><p><span style="color: rgb(255, 255, 255);">Example 2: Biodegradable and drug-eluting stents</span></p></li></ul></li></ul><p><span style="color: rgb(255, 255, 255);"><br></span></p>
14
New cards

What are Polyester

Type of degradable polymer

Poly (glycolic acid), PGA
• simplest linear aliphatic polyester
• highly crystalline
• high Tm and low solubility
• rapid mechanical deterioration upon
degradation
• first synthetic absorbable sutures,
trade name Dexon
• Eg. Bone pins, bone screws

<p><span style="color: rgb(255, 255, 255);">Type of degradable polymer</span></p><p></p><p><span style="color: rgb(255, 255, 255);">Poly (glycolic acid), PGA</span><span style="color: rgb(255, 255, 255);"><br></span><span style="color: rgb(255, 255, 255);">• simplest linear aliphatic polyester</span><span style="color: rgb(255, 255, 255);"><br></span><span style="color: rgb(255, 255, 255);">• highly crystalline</span><span style="color: rgb(255, 255, 255);"><br></span><span style="color: rgb(255, 255, 255);">• high Tm and low solubility</span><span style="color: rgb(255, 255, 255);"><br></span><span style="color: rgb(255, 255, 255);">• rapid mechanical deterioration upon</span><span style="color: rgb(255, 255, 255);"><br></span><span style="color: rgb(255, 255, 255);">degradation</span><span style="color: rgb(255, 255, 255);"><br></span><span style="color: rgb(255, 255, 255);">• first synthetic absorbable sutures,</span><span style="color: rgb(255, 255, 255);"><br></span><span style="color: rgb(255, 255, 255);">trade name Dexon</span><span style="color: rgb(255, 255, 255);"><br></span><span style="color: rgb(255, 255, 255);">• Eg. Bone pins, bone screws</span></p>
15
New cards

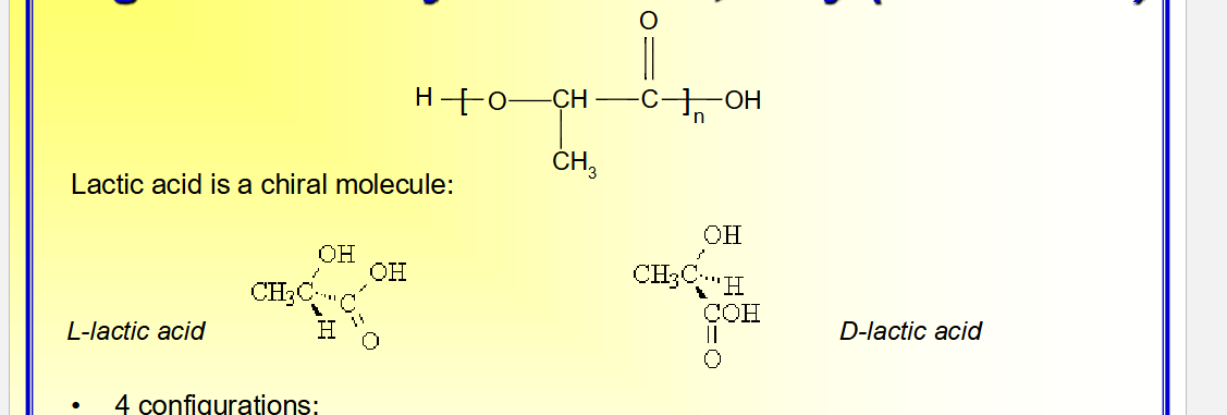
Degradable Polyester: PLA, Poly (lactic acid)

  • 4 configurations:

    • stereoregular D-PLA (PDLA) and L-PLA (PLLA). Usually PLLA is used because the hydrolysis product L-lactic acid is the naturally occurring lactic acid

    • racemic D,L-PLA

    • meso-PLA obtained from D,L lactide

  • Semi-crystalline PDLA and PLLA; amorphous D,L-PLA

    • amorphous D,L-PLA is used in drug delivery where monophasic matrix is important;

    • semi-crystalline PLLA is good for applications requiring high mechanical strength and
      toughness, such as sutures and orthopedic devices

<ul><li><p><span style="color: rgb(252, 250, 250);">4 configurations:</span></p><ul><li><p><span style="color: rgb(252, 250, 250);">stereoregular D-PLA (PDLA) and L-PLA (PLLA). Usually PLLA is used because the hydrolysis product L-lactic acid is the naturally occurring lactic acid</span></p></li><li><p><span style="color: rgb(252, 250, 250);">racemic D,L-PLA</span></p></li><li><p><span style="color: rgb(252, 250, 250);">meso-PLA obtained from D,L lactide</span></p></li></ul></li><li><p><span style="color: rgb(252, 250, 250);">Semi-crystalline PDLA and PLLA; amorphous D,L-PLA</span></p><ul><li><p><span style="color: rgb(252, 250, 250);">amorphous D,L-PLA is used in drug delivery where monophasic matrix is important;</span></p></li><li><p><span style="color: rgb(252, 250, 250);">semi-crystalline PLLA is good for applications requiring high mechanical strength and</span><span style="color: rgb(252, 250, 250);"><br></span><span style="color: rgb(252, 250, 250);">toughness, such as sutures and orthopedic devices</span></p></li></ul></li></ul><p></p>
16
New cards

Copolymer of LA and GA (PLGA)

  • PLLA is more hydrophobic than PGA, limits the
    water uptake and reduce the backbone hydrolysis

  • Addition of PLA component to PGA helps to reduce the hydrolysis rate

    • GA:LA 90:10 is used as suture materials (Vicryl and Polyglactin 910)

  • There is no simple linear relationship between the ratio of GA:LA and the mechanical and degradation properties of the corresponding copolymers (see homework 2)


<ul><li><p><span style="color: rgb(255, 255, 255);">PLLA is more hydrophobic than PGA, limits the</span><span style="color: rgb(255, 255, 255);"><br></span><span style="color: rgb(255, 255, 255);">water uptake and reduce the backbone hydrolysis</span></p></li><li><p><span style="color: rgb(255, 255, 255);">Addition of PLA component to PGA helps to reduce the hydrolysis rate</span></p><ul><li><p><span style="color: rgb(255, 255, 255);">GA:LA 90:10 is used as suture materials (Vicryl and Polyglactin 910)</span></p></li></ul></li><li><p><span style="color: rgb(255, 255, 255);">There is no simple linear relationship between the ratio of GA:LA and the mechanical and degradation properties of the corresponding copolymers (see homework 2)</span></p></li></ul><p><span style="color: rgb(255, 255, 255);"><br></span></p>
17
New cards
<p><span style="color: rgb(255, 255, 255);">Poly (-caprolactone)</span></p>

Poly (-caprolactone)

Sutures and drug release
Slower degradation than PLA
Semi-crystalline
Copolymers have been made with PGA

<p><span style="color: rgb(255, 249, 249);">Sutures and drug release</span><span style="color: rgb(255, 249, 249);"><br></span><span style="color: rgb(255, 249, 249);">Slower degradation than PLA</span><span style="color: rgb(255, 249, 249);"><br></span><span style="color: rgb(255, 249, 249);">Semi-crystalline</span><span style="color: rgb(255, 249, 249);"><br></span><span style="color: rgb(255, 249, 249);">Copolymers have been made with PGA</span></p><p></p>
18
New cards

Polyanhydride

• Among the most reactive and hydrolytically unstable polymers used as biomaterials
• Fast degradation, excellent in vivo biocompatibility
• React with drugs having free amino groups or other nucleophilic
functionalities → limit the types of drugs that can be successfully
incorporated.
• Predominantly used in drug delivery prepared by compression molding or
microencapsulation.
• Gliadel Wafer: used for intracranial delivery of bis-chloroethylnitrosourea (BCNU) for brain cancer. The wafers are implanted directly into the brain to deliver BCNU that has deleterious side effects when administered
systemically.

<p><span style="color: rgb(255, 255, 255);">• Among the most reactive and hydrolytically unstable polymers used as biomaterials</span><span style="color: rgb(255, 255, 255);"><br></span><span style="color: rgb(255, 255, 255);">• Fast degradation, excellent in vivo biocompatibility</span><span style="color: rgb(255, 255, 255);"><br></span><span style="color: rgb(255, 255, 255);">• React with drugs having free amino groups or other nucleophilic</span><span style="color: rgb(255, 255, 255);"><br></span><span style="color: rgb(255, 255, 255);">functionalities → limit the types of drugs that can be successfully</span><span style="color: rgb(255, 255, 255);"><br></span><span style="color: rgb(255, 255, 255);">incorporated.</span><span style="color: rgb(255, 255, 255);"><br></span><span style="color: rgb(255, 255, 255);">• Predominantly used in drug delivery prepared by compression molding or</span><span style="color: rgb(255, 255, 255);"><br></span><span style="color: rgb(255, 255, 255);">microencapsulation.</span><span style="color: rgb(255, 255, 255);"><br></span><span style="color: rgb(255, 255, 255);">• Gliadel Wafer: used for intracranial delivery of bis-chloroethylnitrosourea (BCNU) for brain cancer. The wafers are implanted directly into the brain to deliver BCNU that has deleterious side effects when administered</span><span style="color: rgb(255, 255, 255);"><br></span><span style="color: rgb(255, 255, 255);">systemically.</span></p>