1/57
For Final
Name | Mastery | Learn | Test | Matching | Spaced |
|---|
No study sessions yet.

syn




























mixed


flipped


flipped


same


same


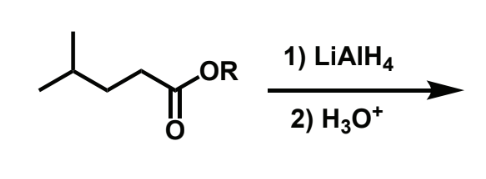
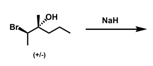
reduction


reduction


Reduction


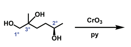
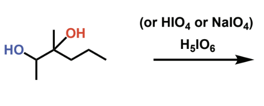
oxidation


oxidation


oxidation


Williamson ether synthesis (Sn2)

py

TsCl

Tf2O

mCPBA












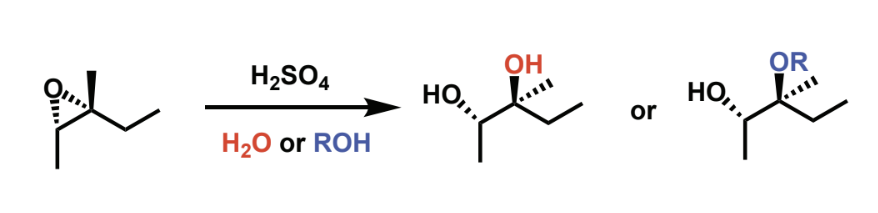
acidic conditions: OH or OR goes to more substituted C


basic conditions: Nu goes to less substituted C










































