1/19
Looks like no tags are added yet.
Name | Mastery | Learn | Test | Matching | Spaced | Call with Kai |
|---|
No study sessions yet.
Glycine

Alanine

Valine

Proline

Leucine

Isoleucine

Phenylalanine

Tryptophan

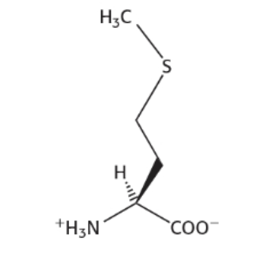
Methionine

Serine

Threonine

Tyrosine

Cysteine

Aspartate

Glutamate

Asparagine

Glutamine

Lysine

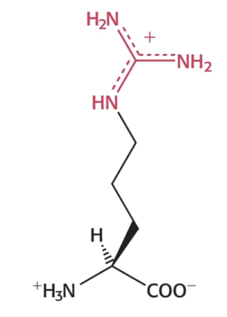
Arginine

Histidine
